Exhibit 10.1 DB1/ 150016066.9 AMENDMENT NO. 2 TO SENIOR SECURED REVOLVING CREDIT AGREEMENT This AMENDMENT NO. 2 TO SENIOR SECURED REVOLVING CREDIT AGREEMENT, dated as of October 4, 2024 (this “Amendment”), is by and among NUVEEN CHURCHILL DIRECT LENDING CORP., a Maryland corporation (the “Borrower”), NCDL EQUITY HOLDINGS LLC (the “Subsidiary Guarantor” and, together with the Borrower, the “Credit Parties”), the Lenders party hereto, the Issuing Banks party hereto, SUMITOMO MITSUI BANKING CORPORATION (“SMBC”), as administrative agent for the Lenders (in such capacity, together with its successors and assigns in such capacity, the “Agent” or “Administrative Agent”). Unless otherwise defined herein, all capitalized terms used herein, including but not limited to those terms used in the recitals hereto, shall have the respective meanings assigned thereto in the Amended Credit Agreement (as defined below). WHEREAS, the Administrative Agent, the Existing Lenders (as defined below) and the Borrower have entered into financing arrangements pursuant to which the Existing Lenders (or the Administrative Agent on behalf of the Existing Lenders) have made and may make Loans and provide other financial accommodations to the Borrower as set forth in that certain Senior Secured Revolving Credit Agreement, dated as of June 23, 2023 (as in effect prior to the effectiveness of this Amendment, including as modified by that certain Amendment No. 1 to Senior Secured Revolving Credit Agreement dated as of April 9, 2024, the “Credit Agreement”, and as may be further amended, restated, supplemented or otherwise modified from time to time prior to the date hereof (including in accordance with the provisions of Section 1 hereof), once so further amended, the “Amended Credit Agreement”), by and among the Administrative Agent, the lenders from time to time party thereto (the Lenders party to the Credit Agreement prior to giving effect to this Amendment, each an “Existing Lender” and, collectively, the “Existing Lenders”), the issuing banks from time to time party thereto and the Borrower, and the other Loan Documents, including, without limitation, this Amendment; WHEREAS, each entity party hereto as a “New Lender” (each a “New Lender” and, collectively, the “New Lenders”) has agreed to become a Revolving Lender and a Lender under the Amended Credit Agreement and each provide a new Revolving Credit Commitment thereunder in the amount of $25,000,000.00 (the “New Revolving Credit Commitments”) for a total of $50,000,000.00 in new Revolving Credit Commitments; WHEREAS, SMBC has agreed to provide a term loan under the Amended Credit Agreement in the amount of $25,000,000.00 in Dollars (such loan, the “Initial Term Loan”, and SMBC in such capacity, the “Initial Term Loan Lender”); and WHEREAS, pursuant to the Amended Credit Agreement, the Borrower has requested that the Agent and the Existing Lenders amend the Credit Agreement to, among other things, make available to the Borrower the New Revolving Credit Commitments and the Initial Term Loan, and, subject to the satisfaction of the conditions set forth herein, the Agent and the Existing Lenders signatory hereto are willing to do so on the terms and conditions set forth herein, in each case to be effective on the Amendment No. 2 Effective Date. NOW THEREFORE, in consideration of the foregoing premises and the mutual agreements and covenants contained in the Credit Agreement and herein and for other good and valuable consideration, the receipt and sufficiency of which are hereby acknowledged, the parties hereto hereby agree as follows: Section 1. Amendments. Subject to the satisfaction of the conditions precedent set forth in Section 4 hereof, and in reliance upon the representations and warranties made by the Credit Parties in Section 2 hereof and subject to the terms and conditions herein, on the Amendment No. 2 Effective Date,


 
DB1/ 150016066.9 2 the Credit Agreement shall be amended as set forth below in this Section 1: 1.01. The Credit Agreement (other than the Schedules and Exhibits attached thereto) shall be amended as set forth in the pages of the Credit Agreement attached as Annex A hereto such that all of the deleted stricken text (indicated textually in the same manner as the following example: stricken text) shall be deemed to be deleted from the text of the Credit Agreement and all of the newly inserted bold, double-underlined text (indicated textually in the same manner as the following example: double- underlined text) and any formatting changes reflected therein shall be deemed to be inserted and reflected in the text of the Amended Credit Agreement. 1.02. Schedule 1.01(b) (Commitments), Schedule 3.11 (Material Agreements and Liens), Schedule 3.12(a) (Subsidiaries) and Schedule 3.12(b) (Investments) of the Existing Credit Agreement shall be replaced with the schedules attached as Annex B hereto. 1.03. Each of the exhibits of the Existing Credit Agreement shall be replaced with the exhibits attached as Annex C hereto. Section 2. Representations and Warranties. The Borrower and, as applicable, the Subsidiary Guarantor, jointly and severally, hereby represent and warrant to the Lenders and the Agent as follows, which representations and warranties are continuing and shall survive the execution and delivery hereof: 2.01. Corporate Power and Authority. Each of the Credit Parties has the corporate or other organizational power and authority to execute and deliver this Amendment and carry out the terms and provisions of this Amendment, and has taken all necessary corporate or other organizational action to authorize the execution, delivery and performance of this Amendment. Each of the Credit Parties has duly executed and delivered this Amendment, and the Amendment constitutes a valid and binding agreement of such Credit Party enforceable in accordance with its respective terms, subject to applicable bankruptcy, insolvency, fraudulent conveyance, moratorium, reorganization and other similar laws relating to or affecting creditors’ rights generally and general principles of equity (whether considered in a proceeding in equity or law). 2.02. No Default. No Default or Event of Default exists at and as of the date of this Amendment and both immediately prior to and immediately after giving effect to this Amendment. 2.03. Representations and Warranties True and Correct. At and as of the date of this Amendment and both prior to and after giving effect to this Amendment, each of the representations and warranties contained in the Amended Credit Agreement and other Loan Documents is true and correct in all material respects (except where such representations and warranties expressly relate to an earlier date, in which case such representations and warranties are true and correct in all material respects as of such earlier date), provided that any such representation or warranty which is subject to any materiality qualifier shall be true and correct in all respects. 2.04. Certain Conditions under the Credit Agreement. Each of the applicable conditions set forth in Section 2.08(e)(i) of the Amended Credit Agreement has been satisfied. Section 3. Joinder of the New Lenders. Subject to the occurrence of the Amendment No. 2 Effective Date, each of the New Lenders hereby agrees to (and does hereby) become a “Revolving Lender”


 
DB1/ 150016066.9 3 and a “Lender” under and for all purposes of the Amended Credit Agreement with a Revolving Credit Commitment in the amount as set forth on Annex B hereto and hereby agrees to be bound by and comply with all of the terms and provisions of the Amended Credit Agreement applicable to it as a “Revolving Lender” and a “Lender” thereunder and that it will perform all of the obligations which by the terms of the Amended Credit Agreement are required to be performed by it as a Revolving Lender or a Lender. Each New Lender represents and warrants that it has full power and authority, and has taken all action necessary, to execute this Amendment and to consummate the transactions contemplated hereby and to become a Revolving Lender and a Lender under the Amended Credit Agreement. For the avoidance of doubt, the Commitments of each Lender (including the New Lenders and the Initial Term Loan Lender) shall be as set forth in Schedule I of the Amended Credit Agreement. Section 4. Conditions of Effectiveness of this Amendment. This Amendment shall not become effective until the date on which each of the following conditions is satisfied (or waived by the Required Lenders) (the “Amendment No. 2 Effective Date”); in addition, the obligation of each New Lender and the Initial Term Loan Lender to make available to the Borrower the New Revolving Credit Commitments and the Initial Term Loan, as applicable, shall be subject solely to satisfaction (or waiver by the applicable Lenders) of the following conditions. 4.01. Amendment. The Administrative Agent shall have received counterparts of this Amendment duly executed by each party to this Amendment; 4.02. Secretary’s Certificates. The Administrative Agent shall have received a certificate for each Credit Party, dated as of the Amendment No. 2 Effective Date, duly executed and delivered by such Person’s Responsible Officer, secretary or assistant secretary, managing member or general partner, as applicable, certifying as to: (a) resolutions of each such Person’s board of managers/directors (or comparable governing body) then in full force and effect expressly and specifically authorizing all aspects of this Amendment, any other documents entered into in connection therewith (together with this Amendment, the “Amendment Documents”) and the transactions contemplated hereby applicable to such Person and the execution, delivery and performance of this Amendment, the other Amendment Documents and the transactions contemplated hereby; (b) the incumbency and signatures of its Responsible Officers and any other of its officers, managing member or general partner, as applicable, authorized to act with respect to each Loan Document to be executed by such Person; (c) each such Person’s organizational documents, as amended, modified or supplemented as of the Amendment No. 2 Effective Date, with the certificate or articles of incorporation or formation certified by the appropriate officer or official body of the jurisdiction of organization of such Person; provided, that if the Agent shall have received a certificate of such Person’s Responsible Officer certifying that any organizational document required to be delivered by this paragraph (c) has not been amended, restated or otherwise modified since the version thereof delivered in satisfaction of the conditions precedent to the Closing Date, then no copy of such document shall be required to be delivered pursuant to this paragraph (c); (d) certificates of good standing with respect to each Credit Party, each dated within a recent date prior to the Amendment No. 2 Effective Date, such certificates to be issued by the


 
DB1/ 150016066.9 4 appropriate officer or official body of the jurisdiction of organization of such Credit Party, which certificate shall indicate that such Credit Party is in good standing in such jurisdiction; and (e) the matters specified in Section 4.03 hereof and Section 4.02(c) of the Amended Credit Agreement; 4.03. Representations and Warranties. The representations and warranties contained in Section 2 hereof shall be true and correct in all material respects (or, in the case of any portion of any representations and warranties already subject to a materiality qualifier, true and correct in all respects) on and as of the date hereof; 4.04. Know Your Customer and Patriot Act Compliance. The Administrative Agent and the New Lenders shall have received, at least one (1) Business Day prior to the Amendment No. 2 Effective Date, all documentation and other information required by banking regulatory authorities under applicable “know your customer” and Anti-Money Laundering Laws, rules and regulations, and any required Patriot Act compliance, the results of which are satisfactory to the Administrative Agent and the New Lenders in their sole discretion; 4.05. Payment of Fees, Expenses and Other Amounts. Subject to the limitation in Section 5.01 below in respect of the payment of legal counsel fees, the Administrative Agent shall have received the fees, costs and expenses due and payable as of the Amendment No. 2 Effective Date pursuant to (i) Section 5.01 hereof, (ii) Section 9.03(a) of the Amended Credit Agreement (including the reasonable fees, disbursements and other charges of counsel) for which invoices have been presented and (iii) that certain Second Amendment Fee Letter dated as of the date hereof; 4.06. Legal Opinion. The Administrative Agent shall have received an executed legal opinion of Dechert LLP, counsel to the Credit Parties, which opinion shall be in form and substance reasonably satisfactory to the Administrative Agent; 4.07. Promissory Notes. A promissory note executed by the Borrower, substantially in the form of Exhibit E to the Amended Credit Agreement, in favor of each Lender requesting a promissory note; 4.08. Second Amendment Fee Letter. The Administrative Agent shall have received counterparts of the Second Amendment Fee Letter duly executed by each party thereto; 4.09. Borrowing Request. The Borrower shall have delivered a Borrowing Request to the Administrative Agent in respect of the Initial Term Loan; and 4.10. Lien Searches. The Administrative Agent shall have received results of a recent lien search in each relevant jurisdiction with respect to the Borrower and the Subsidiary Guarantor, confirming that each financing statement in respect of the Liens in favor of the Collateral Agent created pursuant to the Security Documents is otherwise prior to all other financing statements or other interests reflected therein (other than any financing statement or interest in respect of Liens permitted under Section 6.02 of the Credit Agreement).


 
DB1/ 150016066.9 5 Section 5. Miscellaneous. 5.01. Fees and Expenses. The Borrower agrees and acknowledges that all reasonable and documented out-of-pocket costs, fees and expenses incurred by the Administrative Agent in connection with the Loan Documents and this Amendment, including, without limitation, the fees, costs and expenses due and payable to it pursuant to Section 9.03(a) of the Credit Agreement (including the reasonable and documented fees, disbursements and other charges of counsel), shall be paid by the Credit Parties to the Administrative Agent (provided that the legal fees of outside counsel to the Administrative Agent that the Credit Parties shall be required to pay pursuant to this Section 5.01 for the preparation of this Amendment shall not exceed $75,000). 5.02. No Waiver or Modification. Nothing contained herein shall be deemed to constitute a waiver of compliance with any term or condition contained in the Credit Agreement or any other Loan Document or constitute a course of conduct or dealing among the parties. The Agent and the Existing Lenders reserve all rights, privileges and remedies under the Loan Documents. Except as expressly amended hereby, the Credit Agreement and other Loan Documents remain unmodified and in full force and effect in accordance with their respective terms and are hereby ratified and confirmed in all respects. 5.03. Loan Document. This Amendment shall constitute a Loan Document under and as defined in the Amended Credit Agreement. Any reference to the Credit Agreement contained in any notice, request, certificate, or other document executed concurrently with or after the execution and delivery of this Amendment and the occurrence of the Amendment No. 2 Effective Date shall be deemed to include this Amendment unless the context shall otherwise require. After the Amendment No. 2 Effective Date, all references in any Loan Document to the Credit Agreement shall be deemed to be references to the Credit Agreement as amended hereby and as further amended, modified, restated, supplemented or extended from time to time. 5.04. Governing Law. THIS AMENDMENT AND THE RIGHTS AND OBLIGATIONS OF THE PARTIES HEREUNDER AND ANY CLAIM, CONTROVERSY OR DISPUTE UNDER, ARISING OUT OF OR RELATING TO THIS AMENDMENT, WHETHER BASED IN CONTRACT (AT LAW OR IN EQUITY), TORT OR ANY OTHER THEORY, SHALL BE GOVERNED BY, AND CONSTRUED IN ACCORDANCE WITH, THE LAWS OF THE STATE OF NEW YORK, WITHOUT REFERENCE TO CONFLICTS OF LAW PROVISIONS. 5.05. Counterparts. This Amendment may be executed by one or more of the parties hereto in any number of separate counterparts, each of which when so executed and delivered shall be deemed an original, but all such counterparts together shall constitute but one and the same instrument. Delivery of an executed counterpart of a signature page of this Amendment by facsimile or in electronic format (i.e., “pdf” or “tif”) by electronic transmission shall be effective as delivery of a manually executed counterpart of this Amendment. The words “execution,” “signed,” “signature,” and words of like import in this Amendment shall be deemed to include electronic signatures or electronic records, each of which shall be of the same legal effect, validity or enforceability as a manually executed signature or the use of a paper-based recordkeeping system, as the case may be, to the extent and as provided for in any applicable law, including the Federal Electronic Signatures in Global and National Commerce Act, the New York State Electronic Signatures and Records Act, or any other similar state laws based on the Uniform Electronic Transactions Act.


 
DB1/ 150016066.9 6 5.06. Headings. Section headings in this Amendment are included herein for convenience of reference only and shall not affect the interpretation of this Amendment. 5.07. Binding Effect; Assignment. This Amendment shall be binding upon and inure to the benefit of the Borrower, the other Credit Parties, the Agent and the Lenders and their respective successors and assigns in accordance with the terms of the Credit Agreement. 5.08. Integration. This Amendment, the Amended Credit Agreement, and the other Loan Documents incorporate all negotiations of the parties hereto with respect to the subject matter hereof and thereof and are the final expression and agreement of the parties hereto and thereto with respect to the subject matter hereof and thereof. 5.09. Severability. In case any provision in this Amendment shall be invalid, illegal, or unenforceable, such provision shall be severable from the remainder of this Amendment and the validity, legality, and enforceability of the remaining provisions shall not in any way be affected or impaired thereby. 5.10. Reaffirmation. Each Credit Party hereby (i) restates, ratifies and reaffirms each and every term and condition set forth in each Loan Document to which it is a party (after giving effect hereto), including, without limitation, all of its payment and performance obligations, contingent or otherwise, under such Loan Document, and (ii) to the extent such Credit Party granted liens on or security interests in any of its property pursuant to any such Loan Document as security for or otherwise guaranteed the obligations under or with respect to the Loan Documents, ratifies and reaffirms such guarantee and grant of security interests and liens and confirms and agrees that such security interests and liens are valid and continuing and hereafter secure all of such obligations as amended hereby. [Remainder of the page intentionally left blank]


 
[Signature Page to Amendment No. 2 to Senior Secured Revolving Credit Agreement] IN WITNESS WHEREOF, the parties hereto have caused this Amendment to be executed by their respective officers thereunto duly authorized, as of the date first above written. NUVEEN CHURCHILL DIRECT LENDING CORP., as the Borrower By: /s/ Shai Vichness Name: Shai Vichness Title: Chief Financial Officer and Treasurer


 
[Signature Page to Amendment No. 2 to Senior Secured Revolving Credit Agreement] Agreed and acknowledged solely with respect to Sections 2, 5.07 and 5.10 NCDL EQUITY HOLDINGS LLC, as the Subsidiary Guarantor By: /s/ Shai Vichness Name: Shai Vichness Title: Chief Financial Officer and Treasurer


 
[Signature Page to Amendment No. 2 to Credit Agreement] SUMITOMO MITSUI BANKING CORPORATION, as Administrative Agent, as an Existing Lender, as the Initial Term Loan Lender and as an Issuing Bank By: /s/ Shane Klein Name: Shane Klein Title: Managing Director


 
[Signature Page to Amendment No. 2 to Credit Agreement] NATIXIS, NEW YORK BRANCH, as an Existing Lender By: /s/ Kelley Hebert Name: Kelley Hebert Title: Managing Director By: /s/ Soukeyna Diouf Name: Soukeyna Diouf Title: Vice President WELLS FARGO BANK, N.A., as an Existing Lender and as an Issuing Bank By:/s/ Ryan Noll_________________________ Name: Ryan Noll Title: Vice President APPLE BANK (formerly, APPLE BANK FOR SAVINGS), as an Existing Lender By:/s/ Joseph K. Kotusky__________________ Name: Joseph K. Kotusky Title: First Vice President


 
[Signature Page to Amendment No. 2 to Credit Agreement] BANK OF AMERICA, N.A., as an Existing Lender By:/s/ Sidhima Daruka_____________________ Name: Sidhima Daruka Title: Director MORGAN STANLEY BANK, N.A., as an Existing Lender By:/s/ Michael King_______________________ Name: Michael King Title: Authorized Signatory THE BANK OF NEW YORK MELLON, as a New Lender By:/s/ Gregg Scheuing_____________________ Name: Gregg Scheuing Title: Director U.S. BANK NATIONAL ASSOCIATION, as a New Lender By:/s/ Bradley Edwards____________________ Name: Bradley Edwards Title: Senior Vice President


 
DB1/ 150016066.9 Annex A Credit Agreement (see attached)


 
DB3/ 204874485.9 Execution Version Conformed through Amendment No. 12 SENIOR SECURED REVOLVING CREDIT AND TERM LOAN AGREEMENT dated as of June 23, 2023, among NUVEEN CHURCHILL DIRECT LENDING CORP., as Borrower, the LENDERS and ISSUING BANKS party hereto, and SUMITOMO MITSUI BANKING CORPORATION, as Administrative Agent, $185,000,000325,000,000 __________________ SUMITOMO MITSUI BANKING CORPORATION, and WELLS FARGO SECURITIES, LLC as Joint Lead Arrangers and SUMITOMO MITSUI BANKING CORPORATION, as Sole Bookrunner


 
DB3/ 204874485.9 TABLE OF CONTENTS Page -i- ARTICLE I DEFINITIONS 5 SECTION 1.01. Defined Terms 5 SECTION 1.02. Classification of Loans and Borrowings 5664 SECTION 1.03. Terms Generally 5664 SECTION 1.04. Accounting Terms; GAAP 5664 SECTION 1.05. Currencies; Currency Equivalents 5765 SECTION 1.06. Divisions 5866 SECTION 1.07. Issuers 5866 SECTION 1.08. Concurrent Transactions 5867 SECTION 1.09. Reclassifications 5967 SECTION 1.10. Calculations 5967 SECTION 1.11. Rates 5967 SECTION 1.12. Outstanding Indebtedness 6068 ARTICLE II THE CREDITS 6068 SECTION 2.01. The Commitments 6068 SECTION 2.02. Loans and Borrowings. 6069 SECTION 2.03. Requests for Borrowings. 6170 SECTION 2.04. Swingline Loans. 6372 SECTION 2.05. Letters of Credit. 6374 SECTION 2.06. Funding of Borrowings. 6981 SECTION 2.07. Interest Elections. 6981 SECTION 2.08. Termination, Reduction, or Increase of the Commitments. 7183 SECTION 2.09. Repayment of Loans; Evidence of Debt. 7489 SECTION 2.10. Prepayment of Loans. 7590 SECTION 2.11. Fees. 7994 SECTION 2.12. Interest. 8196 SECTION 2.13. Inability to Determine Interest Rates 8297 SECTION 2.14. Increased Costs. 8398 SECTION 2.15. Break Funding Payments 85100


 
TABLE OF CONTENTS (continued) Page -ii- SECTION 2.16. Taxes. 85101 SECTION 2.17. Payments Generally; Pro Rata Treatment: Sharing of Set-offs. 89104 SECTION 2.18. Mitigation Obligations; Replacement of Lenders. 92107 SECTION 2.19. Defaulting Lenders. 92108 SECTION 2.20. Effect of Benchmark Transition Event. 96112 SECTION 2.21. Illegality 99115 ARTICLE III REPRESENTATIONS AND WARRANTIES 100116 SECTION 3.01. Organization; Powers 100116 SECTION 3.02. Authorization; Enforceability 101116 SECTION 3.03. Governmental Approvals; No Conflicts 101117 SECTION 3.04. Financial Condition; No Material Adverse Effect. 101117 SECTION 3.05. Litigation 102117 SECTION 3.06. Compliance with Laws and Agreements 102117 SECTION 3.07. Taxes 102118 SECTION 3.08. ERISA 102118 SECTION 3.09. Disclosure 102118 SECTION 3.10. Investment Company Act; Margin Regulations. 103118 SECTION 3.11. Material Agreements and Liens. 103119 SECTION 3.12. Subsidiaries and Investments. 104119 SECTION 3.13. Properties. 104119 SECTION 3.14. Affiliate Agreements 104120 SECTION 3.15. Sanctions. 104120 SECTION 3.16. PATRIOT Act 105120 SECTION 3.17. Collateral Documents 105121 SECTION 3.18. EEA Financial Institutions 105121 ARTICLE IV CONDITIONS 105121 SECTION 4.01. Effective Date 105121 SECTION 4.02. Each Credit Event 107123 ARTICLE V AFFIRMATIVE COVENANTS 108124 SECTION 5.01. Financial Statements and Other Information 108124


 
TABLE OF CONTENTS (continued) Page -iii- SECTION 5.02. Notices of Material Events 110126 SECTION 5.03. Existence: Conduct of Business 111127 SECTION 5.04. Payment of Obligations 111127 SECTION 5.05. Maintenance of Properties; Insurance 111127 SECTION 5.06. Books and Records; Inspection and Audit Rights 111127 SECTION 5.07. Compliance with Laws 112128 SECTION 5.08. Certain Obligations Respecting Subsidiaries; Further Assurances.112128 SECTION 5.09. Use of Proceeds 114130 SECTION 5.10. Status of RIC and BDC 115130 SECTION 5.11. Investment Policies 115131 SECTION 5.12. Portfolio Valuation and Diversification Etc. 115131 SECTION 5.13. Calculation of Borrowing Base 120137 ARTICLE VI NEGATIVE COVENANTS 127146 SECTION 6.01. Indebtedness 127146 SECTION 6.02. Liens 130148 SECTION 6.03. Fundamental Changes 132150 SECTION 6.04. Investments 134152 SECTION 6.05. Restricted Payments 135154 SECTION 6.06. Certain Restrictions on Subsidiaries 136155 SECTION 6.07. Certain Financial Covenants. 137155 SECTION 6.08. Transactions with Affiliates 137156 SECTION 6.09. Lines of Business 138156 SECTION 6.10. No Further Negative Pledge 138156 SECTION 6.11. Modifications of Longer-Term Indebtedness Documents 139157 SECTION 6.12. Payments of Longer-Term Indebtedness 140158 SECTION 6.13. Accounting Changes 141159 ARTICLE VII EVENTS OF DEFAULT 141159 ARTICLE VIII THE ADMINISTRATIVE AGENT 145163 SECTION 8.01. Appointment of the Administrative Agent 145163 SECTION 8.02. Capacity as Lender 146164


 
TABLE OF CONTENTS (continued) Page -iv- SECTION 8.03. Limitation of Duties; Exculpation 146164 SECTION 8.04. Reliance 146164 SECTION 8.05. Sub-Agents 147165 SECTION 8.06. Resignation; Successor Administrative Agent 147165 SECTION 8.07. Reliance by Lenders 148166 SECTION 8.08. Modifications to Loan Documents 148166 SECTION 8.09. Erroneous Payments. 149167 ARTICLE IX MISCELLANEOUS 152169 SECTION 9.01. Notices; Electronic Communications. 152169 SECTION 9.02. Waivers; Amendments. 155172 SECTION 9.03. Expenses; Indemnity; Damage Waiver. 159177 SECTION 9.04. Successors and Assigns. 161180 SECTION 9.05. Survival 167186 SECTION 9.06. Counterparts; Integration; Effectiveness; Electronic Execution. 167186 SECTION 9.07. Severability 168186 SECTION 9.08. Right of Setoff 168186 SECTION 9.09. Governing Law; Jurisdiction; Etc. 169187 SECTION 9.10. WAIVER OF JURY TRIAL 169188 SECTION 9.11. Judgment Currency 170188 SECTION 9.12. Headings 170188 SECTION 9.13. Treatment of Certain Information; No Fiduciary Duty; Confidentiality. 170188 SECTION 9.14. PATRIOT Act 172190 SECTION 9.15. Interest Rate Limitation 172190 SECTION 9.16. Acknowledgement and Consent to Bail-In of EEA Financial Institutions 173191 SECTION 9.17. Certain ERISA Matters. 173191 SECTION 9.18. Acknowledgement Regarding Any Supported QFCs 175193 SECTION 9.19. Termination 176194


 
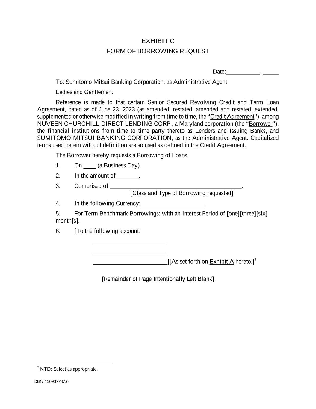
DB3/ 204874485.9 i SCHEDULE 1.01(a) - Approved Dealers and Approved Pricing Services SCHEDULE 1.01(b) - Commitments SCHEDULE 1.01(c) - Industry Classification Group List SCHEDULE 2.05 - Issuing Bank LC Exposure1 SCHEDULE 3.11 - Material Agreements and Liens SCHEDULE 3.12(a) - Subsidiaries SCHEDULE 3.12(b) - Investments SCHEDULE 6.08 - Transactions with Affiliates EXHIBIT A - Form of Assignment and Assumption EXHIBIT B - Form of Borrowing Base Certificate EXHIBIT C - Form of Borrowing Request EXHIBIT D - Form of Commitment Increase Supplement EXHIBIT E-1 - Form of Revolving Promissory Note EXHIBIT E-2 - Form of Term Loan Promissory Note EXHIBIT F - Form of Lender NDA 1 Schedule to provide $15mm of LC exposure


 
DB3/ 204874485.9 SENIOR SECURED REVOLVING CREDIT AND TERM LOAN AGREEMENT, dated as of June 23, 2023 (this “Agreement”), among NUVEEN CHURCHILL DIRECT LENDING CORP., a Maryland corporation (the “Borrower”), the LENDERS and ISSUING BANKS from time to time party hereto and SUMITOMO MITSUI BANKING CORPORATION, as Administrative Agent (as defined below). ARTICLE I DEFINITIONS SECTION 1.01. Defined Terms. As used in this Agreement, the following terms have the meanings specified below: “ABR”, when used in reference to any Loan or Borrowing, refers to whether such Loan is, or the Loans constituting such Borrowing are, denominated in Dollars and bearing interest at a rate determined by reference to the Alternate Base Rate. “Adjusted Covered Debt Amount” means, on any date, the aggregate Covered Debt Amount on such date minus the aggregate amount of Cash and Cash Equivalents included in Portfolio Investments held by the Obligors (provided that Cash Collateral for outstanding Letters of Credit shall not be treated as a portion of the Portfolio Investments). “Adjusted Gross Borrowing Base” means (i) the Gross Borrowing Base plus (ii) the amount of any cash held in any “collection” (or similar) account of any Excluded Asset that is a CLO Security or is otherwise subject to a third-party financing whereby a trustee or similar third party administers the “collection” (or similar) account and periodic “waterfall” payments therefrom, in each case, that is reflected on a “payment date schedule” or similar distribution statement (in each case, which may be a draft so long as the amount to be distributed has been finalized) to be irrevocably distributed (subject only to the lapse of time for a period not to exceed thirty (30) days from the date of such schedule or statement), directly or indirectly, to an Obligor on the next payment date or similar distribution date for such Excluded Asset. “Adjusted Term Benchmark Rate” means (a) for the Interest Period for any Term Benchmark Borrowing denominated in Euros, an interest rate per annum (rounded upwards, if necessary, to the next 1/100 of 1%) equal to (i) the Term Benchmark Rate for such Interest Period for such Currency multiplied by (ii) the Statutory Reserve Rate for such Interest Period and (b) for the Interest Period for any Term Benchmark Borrowing denominated in a Currency (other than Euros), an interest rate per annum (rounded upwards, if necessary, to the next 1/100 of 1%) equal to the Term Benchmark Rate for such Interest Period for such Currency; provided that if the Adjusted Term Benchmark Rate shall be less than zero, such rate shall be deemed to be zero for the purposes of this Agreement. “Administrative Agent” means SMBC, in its capacity as administrative agent for the Lenders hereunder.


 
“Administrative Agent’s Account” means, for each Currency, an account in respect of such Currency designated by the Administrative Agent in a notice to the Borrower and the Lenders. “Administrative Questionnaire” means an administrative questionnaire in a form supplied by the Administrative Agent. “Advance Rate” has the meaning assigned to such term in Section 5.13. “Affected Currency” has the meaning assigned to such term in Section 2.13. “Affected Financial Institution” means (a) any EEA Financial Institution or (b) any UK Financial Institution. “Affiliate” means, with respect to a specified Person at any time, another Person that directly, or indirectly through one or more intermediaries, Controls or is Controlled by or is under common Control with the Person specified at such time. Anything herein to the contrary notwithstanding, the term “Affiliate” shall not include any Person that constitutes an Investment held, directly or indirectly, by any Obligor, Immaterial Subsidiary, Excluded Asset, Financing Subsidiary or other Subsidiary in the ordinary course of business; provided that the term “Affiliate” shall include any Immaterial Subsidiary, Financing Subsidiary or other Subsidiary. “Affiliate Agreements” means, collectively, (a) the Nuveen Administration Agreement, (b) Nuveen Expense Support and Conditional Reimbursement Agreement, (c) the Nuveen Investment Advisory Agreement, and (d) the Nuveen Investment Sub-Advisory Agreement. “Agent-Selected Third-Party Appraiser” shall mean any Approved Third-Party Appraiser or any other Independent nationally recognized third-party appraisal firm identified by the Administrative Agent and consented to by the Borrower (such consent not to be unreasonably withheld or delayed). “Agreed Foreign Currency” means, at any time, (i) any of Canadian Dollars, Sterling, Euros, Australian Dollars and Japanese Yen and (ii) with the agreement of each Multicurrency Revolving Lender, any other Foreign Currency, so long as, in respect of any such specified Foreign Currency or other Foreign Currency, at such time (a) such Foreign Currency is dealt with in the relevant market for obtaining quotations, (b) such Foreign Currency is freely transferable and convertible into Dollars in the relevant local market (to the extent applicable) and (c) no central bank or other governmental authorization in the country of issue of such Foreign Currency (including, in the case of the Euro, any authorization by the European Central Bank) is required to permit use of such Foreign Currency by any Multicurrency Revolving Lender for making any Loan hereunder and/or to permit the Borrower to borrow and repay the principal thereof and to pay the interest thereon, unless such authorization has been obtained and is in full force and effect. “Agreement” has the meaning assigned to such term in the preamble to this Agreement. 6 Revolving Credit and Term Loan Agreement


 
“Alternate Base Rate” means, for any day, a rate per annum equal to the greater of (a) zero and (b) the highest of (i) the Prime Rate in effect on such day, (ii) the Federal Funds Effective Rate for such day plus ½ of 1% and (iii) the rate per annum equal to 1.00% plus the rate per annum equal to Term SOFR for an interest period of one (1) month. Any change in the Alternate Base Rate due to a change in the Prime Rate, the Federal Funds Effective Rate or Term SOFR (or successor therefor) as set forth above shall be effective from and including the effective date of such change in the Prime Rate, the Federal Funds Effective Rate or Term SOFR (or successor therefor), respectively. “Amendment No. 1 Effective Date” means April 9, 2024. “Amendment No. 2 Effective Date” means October 4, 2024. “Anti-Corruption Laws” has the meaning assigned to such term in Section 3.16. “Applicable Dollar Revolving Percentage” means, with respect to any Dollar Revolving Lender, the percentage of the total Dollar Revolving Credit Commitments represented bythe Dollar Revolving Credit Commitment of such Dollar Lender’s Dollar CommitmentRevolving Lender. If the Dollar Revolving Credit Commitments have terminated or expired, the Applicable Dollar Revolving Percentages shall be determined based upon the Dollar Revolving Credit Commitments most recently in effect, giving effect to any assignments. “Applicable Financial Statements” means, as at any date, the most-recent audited financial statements of the Borrower delivered to the Administrative Agent pursuant to Section 5.01(a); provided that if immediately prior to the delivery to the Administrative Agent of new audited financial statements of the Borrower a Material Adverse Effect (the “Pre-existing MAE”) shall exist (regardless of when it occurred), then the “Applicable Financial Statements” as at said date means the Applicable Financial Statements in effect immediately prior to such delivery until such time as the Pre-existing MAE shall no longer exist. “Applicable Margin” means (1) for Interest Periods when the most recently reported Gross Borrowing Base to Combined Debt Amount is greater than or equal to 1.85:1.00 (a) with respect to any ABR Loan, 1.1251.000% per annum; (b) with respect to any Term Benchmark Loan, 2.1252.000% per annum; and (c) with respect to any RFR Loan, 2.125% per annum and (2) for interest periods when the most recently reported Gross Borrowing Base to Combined Debt Amount is less than 1.85:1.00 (a) with respect to any ABR Loan, 1.250% per annum; (b) with respect to any Term Benchmark Loan, 2.250% per annum; and (c) with respect to any RFR Loan, 2.2502.000% per annum. The Applicable Margin shall be re-determined for each Interest Period based on the most recently delivered Borrowing Base Certificate in accordance with Section 5.01(d); provided that if such Borrowing Base Certificate is not provided in accordance with Section 5.01(d), then from and including the day immediately succeeding the date on which such Borrowing Base Certificate was required to be delivered, the Applicable Margin shall be set at the margin in clause (2) above to and including the date on which the required Borrowing Base Certificate is delivered. 7 Revolving Credit and Term Loan Agreement


 
“Applicable Multicurrency Revolving Percentage” means, with respect to any Multicurrency Revolving Lender, the percentage of the total Multicurrency Revolving Credit Commitments represented by the Multicurrency Revolving Credit Commitment of such Multicurrency Lender’s Multicurrency CommitmentRevolving Lender. If the Multicurrency Revolving Credit Commitments have terminated or expired, the Applicable Multicurrency Revolving Percentages shall be determined based upon the Multicurrency Revolving Credit Commitments most recently in effect, giving effect to any assignments. “Applicable Percentage” means, with respect to any Lender, the percentage of the total Commitments and the aggregate Outstanding Amount of Term Loans of all Lenders represented by such Lender’s Commitments and Term Loans at such time (if any Commitments have terminated or expired, the Applicable Percentages shall be determined based upon the Commitments most recently in effect, giving effect to any assignments). “Applicable Revolving Percentage” means, with respect to any Lender in respect of the Revolving Facility, the percentage of the total Revolving Credit Commitments of all Revolving Lenders represented by such Lender’s Revolving Credit Commitment at such time. If the Revolving Credit Commitments have terminated or expired, the Applicable Percentages shall be determined based upon the Revolving Credit Commitments most recently in effect, giving effect to any assignments. “Applicable Term Percentage” means, with respect to any Lender: (a) in respect of the Initial Term Loan Facility, (i) on or prior to the Amendment No. 2 Effective Date, the percentage of the total Initial Term Loan Commitments of all Initial Term Loan Lenders represented by such Lender’s Initial Term Loan Commitment at such time and (ii) thereafter, the percentage of the total Outstanding Amount of Term Loans under the Initial Term Loan Facility of all Initial Term Loan Lenders represented by the aggregate Outstanding Amount of Term Loans under the Initial Term Loan Facility of such Lender at such time; and (b) in respect of any Incremental Term Loan Facility, (i) on or prior to the applicable Incremental Term Loan Commitment Effective Date, the percentage of the total Incremental Term Loan Commitments under such Incremental Term Loan Facility of all Incremental Term Loan Lenders thereunder represented by such Lender’s applicable Incremental Term Loan Commitment at such time and (ii) thereafter, the percentage of the total Outstanding Amount of Term Loans under such Incremental Term Loan Facility of all Incremental Term Loan Lenders thereunder represented by the aggregate Outstanding Amount of Term Loans under such Incremental Term Loan Facility of such Lender at such time. “Applicable Time” means, with respect to any Loans and payments in any Foreign Currency, the local time in the Principal Financial Center for such Foreign Currency as may be reasonably determined by the Administrative Agent. “Approved Dealer” means (a) in the case of any Investment that is not a U.S. Government Security, a bank or a broker-dealer registered under the Exchange Act, as amended, 8 Revolving Credit and Term Loan Agreement


 
of nationally recognized standing or an Affiliate thereof, (b) in the case of a U.S. Government Security, any primary dealer in U.S. Government Securities, and (c) in the case of any foreign Investment, any foreign bank or broker-dealer of internationally recognized standing or an Affiliate thereof, in the case of each of clauses (a), (b) and (c) above, either as set forth on Schedule 1.01(a) or any other bank or broker-dealer or Affiliate thereof acceptable to the Administrative Agent in its reasonable determination. “Approved Pricing Service” means a pricing or quotation service either: (a) as set forth in Schedule 1.01(a) or (b) any other pricing or quotation service approved by the External Managers (so long as it has the necessary delegated authority) or the Board of Directors (or appropriate committee thereof with the necessary delegated authority) of the Borrower and designated in writing by the Borrower to the Administrative Agent (which designation, if approved by the Board of Directors, shall be accompanied by a copy of a resolution of the Board of Directors (or appropriate committee thereof with the necessary delegated authority) of the Borrower that such pricing or quotation service has been approved by the Borrower). “Approved Third-Party Appraiser” means any Independent nationally recognized third-party appraisal firm (a) designated by the Borrower in writing to the Administrative Agent (which designation, if approved by the board of directors of the Borrower, shall be accompanied by a copy of a resolution of the Board of Directors (or appropriate committee thereof with the necessary delegated authority) of the Borrower that such firm has been approved by the Borrower for purposes of assisting the Board of Directors (or appropriate committee thereof with the necessary delegated authority) of the Borrower in making valuations of portfolio assets to determine the Borrower’s compliance with the applicable provisions of the Investment Company Act) and (b) acceptable to the Administrative Agent, acting in a commercially reasonable manner. It is understood and agreed that Houlihan Lokey Howard & Zukin Capital, Inc., Duff & Phelps LLC, Murray, Devine & Company, Lincoln International LLC (formerly known as Lincoln Partners LLC), and Valuation Research Corporation are acceptable to the Administrative Agent. “Assignment and Assumption” means an Assignment and Assumption entered into by a Lender and an assignee (with the consent of any party whose consent is required by Section 9.04), and accepted by the Administrative Agent, substantially in the form of Exhibit A hereof (with adjustments thereto to reflect the Classes of Commitments and/or Loans being assigned or outstanding at the time of the respective assignment) or any other form approved by the Administrative Agent and, so long as no Event of Default under clause (a), (b), (i), (j) or (k) of Article VII has occurred and is continuing, the Borrower. “ASU” has the meaning assigned to such term in Section 1.04. “Assuming Revolving Lender” has the meaning assigned to such term in Section 2.08(e)(i). “Assuming Term Loan Lender” has the meaning assigned to such term in Section 2.08(f)(i). 9 Revolving Credit and Term Loan Agreement


 
“Australian Dollars” means the lawful currency of The Commonwealth of Australia. “Availability Period” means the period from and including the Effective Date to but excluding the earlier of the Commitment Termination Date and the date of termination of the Commitments. “Available Tenor” means, as of any date of determination and with respect to the then-current Benchmark for any Currency, as applicable, (x) if such Benchmark is a term rate, any tenor for such Benchmark (or component thereof) that is or may be used for determining the length of an interest period pursuant to this Agreement or (y) otherwise, any payment period for interest calculated with reference to such Benchmark (or component thereof) that is or may be used for determining any frequency of making payments of interest calculated with reference to such Benchmark pursuant to this Agreement, in each case, as of such date and not including, for the avoidance of doubt, any tenor for such Benchmark that is then-removed from the definition of “Interest Period” pursuant to Section 2.20(d). “Back-to-Back Transaction” means, a transaction where (i) an Obligor originates or acquires an Investment, (ii) such Obligor immediately transfers in full or sells a participation interest in all or any portion of such Investment to an Excluded Asset, (iii) the cash purchase price paid by such Excluded Asset to such Obligor in respect of such Investment (or participation interest therein) or any portion thereof is remitted by the Obligor to the underlying issuer thereof and represents the full purchase price payable by the Obligor to the underlying issuer for such Investment and (iv) the Borrowing Base immediately after giving effect to such transaction is not less than the Borrowing Base immediately prior to such transaction; provided that, for the avoidance of doubt and for purposes of this Agreement, only the portion of any Investment that is transferred by an Obligor to an Excluded Asset in accordance with clause (ii) above (subject to compliance with clauses (i), (ii) and (iv) of this definition), and not any other portion of such Investment, shall be deemed to have been subject to a Back-to-Back Transaction. “Bail-In Action” means the exercise of any Write-Down and Conversion Powers by the applicable Resolution Authority in respect of any liability of an Affected Financial Institution. “Bail-In Legislation” means (a) with respect to any EEA Member Country implementing Article 55 of Directive 2014/59/EU of the European Parliament and of the Council of the European Union, the implementing law, regulation rule or requirement for such EEA Member Country from time to time which is described in the EU Bail-In Legislation Schedule and (b) with respect to the United Kingdom, Part I of the United Kingdom Banking Act 2009 (as amended from time to time) and any other law, regulation or rule applicable in the United Kingdom relating to the resolution of unsound or failing banks, investment firms or other financial institutions or their affiliates (other than through liquidation, administration or other insolvency proceedings). “Base Rate Term SOFR Determination Day” has the meaning set forth in the definition of “Term SOFR”. 10 Revolving Credit and Term Loan Agreement


 
“Basel III” means the agreements on capital requirements, leverage ratio and liquidity standards contained in “Basel III: A global regulatory framework for more resilient banks and banking systems”, “Basel III: International framework for liquidity risk measurement, standards and monitoring” and “Guidance for national authorities operating the countercyclical capital buffer” published by the Basel Committee on Banking Supervision on December 16, 2010, each as amended, supplemented or restated. “Benchmark” means, initially, with respect to any Loans denominated in (a) Dollars, the Term SOFR Reference Rate, (b) Canadian Dollars, the Term CORRA Reference Rate, (c) Sterling, the Daily Simple RFR, and (d) each other Agreed Foreign Currency, the Adjusted Term Benchmark Rate for such Currency; provided that, if a Benchmark Transition Event and its related Benchmark Replacement Date have occurred with respect to the Term SOFR Reference Rate, the Term CORRA Reference Rate, the Daily Simple RFR or the Adjusted Term Benchmark Rate for such Currency, as applicable, or the then-current Benchmark, then “Benchmark” shall mean the applicable Benchmark Replacement for such Currency to the extent that such Benchmark Replacement has replaced such prior benchmark rate pursuant to clause (a) of Section 2.20. “Benchmark Replacement” means, with respect to any Benchmark Transition Event for any then-current Benchmark, the first alternative set forth in the order below that can be determined by the Administrative Agent for the applicable Benchmark Replacement Date; provided that, other than in the case of the replacement of the Term SOFR Reference Rate or Term CORRA Reference Rate, such alternative shall be the alternative set forth in clause (3) below: (1) where a Benchmark Transition Event has occurred with respect to the Term SOFR Reference Rate, the sum of: (a) Daily Simple SOFR and (b) 0.10%; (2) where a Benchmark Transition Event has occurred with respect to the Term CORRA Reference Rate, the sum of: (a) Daily Compounded CORRA and (b) 0.29547%; and (3) where a Benchmark Transition Event has occurred with respect to the Term SOFR Reference Rate or the Term CORRA Reference Rate and the rate cannot be determined by the Administrative Agent pursuant to clause (1) or (2) above, as applicable, or where a Benchmark Transition Event has occurred with respect to a Benchmark other than the Term SOFR Reference Rate or the Term CORRA Reference Rate, the sum of: (a) the alternate benchmark rate that has been selected by the Administrative Agent and the Borrower as the replacement for the then-current Benchmark for the applicable Currency giving due consideration to (i) any selection or recommendation of a replacement benchmark rate or the mechanism for determining such a rate by the Relevant Governmental Body or (ii) any evolving or then-prevailing market convention for determining a benchmark rate as a replacement for the then-current Benchmark for syndicated credit facilities denominated in the applicable Currency at such time and (b) the related Benchmark Replacement Adjustment. 11 Revolving Credit and Term Loan Agreement


 
If the Benchmark Replacement as determined pursuant to clause (1) or (2) above would be less than the Floor, the Benchmark Replacement will be deemed to be the Floor for the purposes of this Agreement and the other Loan Documents. “Benchmark Replacement Adjustment” means, with respect to any replacement of the then-current Benchmark for a Currency with an Unadjusted Benchmark Replacement for any applicable Interest Period and Available Tenor for any setting of such Unadjusted Benchmark Replacement (excluding for the avoidance of doubt, Daily Simple SOFR), the spread adjustment, or method for calculating or determining such spread adjustment (which may be a positive or negative value or zero) that has been selected by the Administrative Agent and the Borrower for the applicable Currency giving due consideration to (i) any selection or recommendation of a spread adjustment, or method for calculating or determining such spread adjustment, for the replacement of such Benchmark with the applicable Unadjusted Benchmark Replacement by the Relevant Governmental Body at such time or (ii) any evolving or then-prevailing market convention for determining a spread adjustment, or method for calculating or determining such spread adjustment, for the replacement of such Benchmark with the applicable Unadjusted Benchmark Replacement for syndicated credit facilities denominated in the applicable Currency in the U.S. syndicated loan market at such time. “Benchmark Replacement Date” means, (x) with respect to any Benchmark (other than the Term SOFR Reference Rate or the Term CORRA Reference Rate), the earliest to occur of the following events with respect to such then-current Benchmark and (y) with respect to the Term SOFR Reference Rate or the Term CORRA Reference Rate, a date and time determined by the Administrative Agent in its reasonable discretion, which date shall be no later than the earlier to occur of the following events with respect to such then-current Benchmark: (1) in the case of clause (1) or (2) of the definition of “Benchmark Transition Event,” the later of (a) the date of the public statement or publication of information referenced therein; and (b) the date on which the administrator of such Benchmark (or the published component used in the calculation thereof) permanently or indefinitely ceases to provide all Available Tenors of such Benchmark (or such component thereof); or (2) in the case of clause (3) of the definition of “Benchmark Transition Event”, the first date on which such Benchmark (or the published component used in the calculation thereof) has been determined and announced by the regulatory supervisor for the administrator of such Benchmark (or such component thereof) to be non-representative; provided that such non-representativeness will be determined by reference to the most recent statement or publication referenced in such clause (3) and even if any Available Tenor of such Benchmark (or such component thereof) continues to be provided on such date. For the avoidance of doubt, the “Benchmark Replacement Date” will be deemed to have occurred in the case of clause (1) or (2) above with respect to any Benchmark upon the occurrence of the applicable event or events set forth therein with respect to all then-current 12 Revolving Credit and Term Loan Agreement


 
Available Tenors of such Benchmark (or the published component used in the calculation thereof). “Benchmark Transition Event” means, with respect to any then-current Benchmark, the occurrence of one or more of the following events with respect to such Benchmark: (1) a public statement or publication of information by or on behalf of the administrator of such Benchmark (or the published component used in the calculation thereof) announcing that such administrator has ceased or will cease to provide all Available Tenors of such Benchmark (or such component thereof), permanently or indefinitely; provided that, at the time of such statement or publication, there is no successor administrator that will continue to provide any Available Tenor of such Benchmark (or such component thereof); (2) a public statement or publication of information by the regulatory supervisor for the administrator of such Benchmark (or the published component used in the calculation thereof), including the Board, the Federal Reserve Bank of New York or the Bank of Canada, as applicable, an insolvency official with jurisdiction over the administrator for such Benchmark (or such component thereof), a resolution authority with jurisdiction over the administrator for such Benchmark (or such component thereof) or a court or an entity with similar insolvency or resolution authority over the administrator for such Benchmark (or such component thereof), in each case which states that the administrator of such Benchmark (or such component thereof) has ceased or will cease to provide all Available Tenors of such Benchmark (or such component thereof) permanently or indefinitely; provided that, at the time of such statement or publication, there is no successor administrator that will continue to provide any Available Tenor of such Benchmark (or such component thereof); or (3) a public statement or publication of information by the regulatory supervisor for the administrator of such Benchmark (or the published component used in the calculation thereof) announcing that all Available Tenors of such Benchmark (or such component thereof) are not, or as of a specified future date will not be, representative. For the avoidance of doubt, a “Benchmark Transition Event” will be deemed to have occurred with respect to any Benchmark if a public statement or publication of information set forth above has occurred with respect to each then-current Available Tenor of such Benchmark (or the published component used in the calculation thereof). “Benchmark Unavailability Period” means, with respect to any then-current Benchmark, the period (if any) (x) beginning at the time that a Benchmark Replacement Date has occurred if, at such time, no Benchmark Replacement has replaced such then-current Benchmark for all purposes hereunder and under any other Loan Document in accordance with Section 2.20 and (y) ending at the time that a Benchmark Replacement has replaced such then-current Benchmark for all purposes hereunder and under any other Loan Document in accordance with Section 2.20. 13 Revolving Credit and Term Loan Agreement


 
“Beneficial Ownership Certification” means, for a “legal entity customer” (as such term is defined in the Beneficial Ownership Regulation), a certification regarding beneficial ownership or control to the extent required by the Beneficial Ownership Regulation. “Beneficial Ownership Regulation” means 31 C.F.R. § 1010.230. “Benefit Plan” means any of (a) an “employee benefit plan” (as defined in ERISA) that is subject to Title I of ERISA, (b) a “plan” as defined in and subject to Section 4975 of the Code or (c) any person whose assets include (for purposes of ERISA Section 3(42) or otherwise for purposes of Title I of ERISA or Section 4975 of the Code) the assets of any such “employee benefit plan” or “plan”. “Board” means the Board of Governors of the Federal Reserve System of the United States of America (or any successor thereof). “Borrower” has the meaning assigned to such term in the preamble to this Agreement. “Borrower Asset Coverage Ratio” means the ratio, determined for the Obligors, without duplication, of (a) (i) Total Assets minus (ii) Total Assets Concentration Limitation to (b) Total Secured Debt. “Borrowing” means (a) all ABR Loans of the same Class made, converted or continued on the same date, (b) all Term Benchmark Loans of the same Class denominated in the same Currency that have the same Interest Period, (c) all RFR Loans of the same Class or (d) all Swingline Loans. “Borrowing Base” has the meaning assigned to such term in Section 5.13. “Borrowing Base Certificate” means a certificate of a Financial Officer of the Borrower, substantially in the form of Exhibit B hereto (or such other form as shall be reasonably satisfactory to the Administrative Agent) and appropriately completed. “Borrowing Base Deficiency” means, at any date on which the same is determined, the amount, if any, that (a) the aggregate Covered Debt Amount as of such date exceeds (b) the Borrowing Base as of such date. “Borrowing Request” means a request by the Borrower for a Borrowing in accordance with Section 2.03, which, if in writing, shall be substantially in the form of Exhibit C hereto (or such other form as shall be reasonably satisfactory to the Administrative Agent) and signed by the Borrower. “Business Day” means any day that is not a Saturday, Sunday or other day on which commercial banks in New York City are authorized or required by law to remain closed; provided that (a) when used in relation to a Term Benchmark Loan or a Term Benchmark Borrowing denominated in a Currency or in the calculation or computation of the Term Benchmark Rate for such Currency, the term “Business Day” shall also exclude any day that is not a Term Benchmark Banking Day for such Currency and (b) when used in relation to RFR 14 Revolving Credit and Term Loan Agreement


 
Loans or any interest rate settings, fundings, disbursements, settlements or payments of any such RFR Loan, or any other dealings in Sterling, the term “Business Day” shall also exclude any day that is not an RFR Business Day. “CAD Screen Rate” has the meaning assigned to such term in the definition of “Term CORRA”. “Calculation Amount” means, as of the end of any Testing Period, the greater of: (a) an amount equal to (i) 125% of the Adjusted Covered Debt Amount (as of the end of such Testing Period) minus (ii) the sum of the Values of all Cash and Cash Equivalents and all Quoted Investments included in the Borrowing Base (as of the end of such Testing Period) and (b) an amount equal to 10% of the aggregate Value of all Unquoted Investments included in the Borrowing Base (as of the end of such Testing Period); provided, however, in no event shall more than 25% (or, if clause (b) applies, 10%, or as near thereto as reasonably practicable) of the aggregate Value of the Unquoted Investments included in the Borrowing Base be tested by an Agent-Selected Third-Party Appraiser in respect of any applicable Testing Period. If the Value of the Unquoted Investments included in the Borrowing Base is less than the “Calculation Amount” as calculated in the immediately preceding sentence, then the “Calculation Amount” shall equal the Value of such Unquoted Investments. “Canadian Dollars” means the lawful currency of Canada. “Canadian Prime Rate” means, on any day, the rate determined by the Administrative Agent to be the higher of (i) the rate equal to the PRIMCAN Index rate that appears on the Bloomberg screen at 10:15 a.m. Toronto time on such day (or, in the event that the PRIMCAN Index is not published by Bloomberg, any other information services that publishes such index from time to time, as selected by the Administrative Agent in its reasonable discretion) and (ii) the rate per annum equal to Term CORRA for an interest period of one (1) month plus 1.00%; provided, that if any of the above rates shall be less than 0%, such rate shall be deemed to be 0% for purposes of this Agreement. Any change in the Canadian Prime Rate due to a change in the PRIMCAN Index or Term CORRA shall be effective from and including the effective date of such change in the PRIMCAN Index or Term CORRA, respectively. “Capital Lease Obligations” of any Person means, subject to Section 1.04(b), the obligations of such Person to pay rent or other amounts under any lease of (or other arrangement conveying the right to use) real or personal property, or a combination thereof, which obligations are required to be classified and accounted for as capital leases or finance leases on a balance sheet of such Person under GAAP, and the amount of such obligations shall be the capitalized amount thereof determined in accordance with GAAP. “Capital Stock” of any Person means any and all shares of corporate stock (however designated) of, and any and all other Equity Interests and participations representing ownership interests (including membership interests and limited liability company interests) in, such Person. 15 Revolving Credit and Term Loan Agreement


 
“Cash” means any immediately available funds in Dollars or in any currency other than Dollars (measured in terms of the Dollar Equivalent thereof) which is a freely convertible currency. “Cash Collateralize” means, in respect of a Letter of Credit or any obligation hereunder, to provide and pledge cash collateral pursuant to Section 2.05(k), at a location and pursuant to documentation in form and substance reasonably satisfactory to the Administrative Agent and each Issuing Bank. “Cash Collateral” and “Cash Collateralization” shall have meanings correlative to the foregoing and shall include the proceeds of such cash collateral and other credit support. “Cash Equivalents” means investments (other than Cash) that are one or more of the following obligations: (a) (a) U.S. Government Securities, in each case maturing within one year from the date of acquisition thereof; (b) (b) investments in commercial paper or other short-term corporate obligations maturing within 270 days from the date of acquisition thereof and having, at such date of acquisition, a credit rating of at least A-1 from S&P and at least P-1 from Moody’s (or if only one of S&P or Moody’s provides such rating, such investment shall also have an equivalent credit rating from any other rating agency); (c) (c) investments in certificates of deposit, bankers’ acceptances and time deposits maturing within 180 days from the date of acquisition thereof (i) issued or guaranteed by or placed with, and money market deposit accounts issued or offered by, any domestic office of any commercial bank organized under the laws of the United States of America or any State thereof or under the laws of the jurisdiction or any constituent jurisdiction thereof in which the Principal Financial Center in respect of any Agreed Foreign Currency is located; provided that such certificates of deposit, banker’s acceptances and time deposits are held in a securities account (as defined in the Uniform Commercial Code) through which the Collateral Agent can perfect a security interest therein and (ii) having, at such date of acquisition, a credit rating of at least A-1 from S&P and at least P-1 from Moody’s (or if only one of S&P or Moody’s provides such rating, such investment shall also have an equivalent credit rating from any other rating agency); (d) (d) fully collateralized repurchase agreements with a term of not more than thirty (30) days from the date of acquisition thereof for U.S. Government Securities and entered into with (i) a financial institution satisfying the criteria described in clause (c) of this definition or (ii) an Approved Dealer having (or being a member of a consolidated group having) at such date of acquisition, a credit rating of at least A-1 from S&P and at least P-1 from Moody’s (or if only one of S&P or Moody’s provides such rating, such Approved Dealer shall also have an equivalent credit rating from any other rating agency); 16 Revolving Credit and Term Loan Agreement


 
(e) (e) investments in money market funds that invest primarily in investments of the type described in the immediately preceding clauses (a) through (d) above (including as to credit quality and maturity); (f) (f) a guaranteed reinvestment agreement issued by any bank (if treated as a deposit by such bank), insurance company or other corporation or entity, in each case, at the date of such acquisition having a credit rating of at least A-1 from S&P and at least P-1 from Moody’s; provided that such reinvestment agreement may be unwound at the option of the Borrower at any time without penalty; (g) (g) money market funds that have, at all times, credit ratings of “Aaa” and “MR1+” by Moody’s and “AAAm” or “Aam-G” by S&P, respectively; and (h) (h) any of the following offered by the Custodian (or any successor custodian or other entity acting in a similar capacity with respect to the Borrower): (i) money market deposit accounts, (ii) Eurodollar time deposits, (iii) commercial Eurodollar sweep services or (iv) open commercial paper services, in each case having, at such date of acquisition, a credit rating at least A-1 from S&P and at least P-1 from Moody’s and maturing not later than 270 days from the date of acquisition thereof; provided that (i) in no event shall Cash Equivalents include any obligation that provides for the payment of interest alone (for example, interest-only securities or “IOs”); (ii) if any of Moody’s or S&P changes its rating system, then any ratings included in this definition shall be deemed to be an equivalent rating in a successor rating category of Moody’s or S&P, as the case may be; (iii) Cash Equivalents (other than U.S. Government Securities, certificates of deposit or repurchase agreements) shall not include any such investment of more than 10% of Total Assets of the Borrower and the Subsidiary Guarantors in any single issuer; and (iv) in no event shall Cash Equivalents include any obligation that is not denominated in Dollars or an Agreed Foreign Currency. “Central Bank Rate” means the greater of (A) the sum of (i) for any Loan denominated in (x) Sterling, the Bank of England (or any successor thereto)’s “Bank Rate” as published by the Bank of England (or any successor thereto) from time to time, (y) Euro, one of the following three rates as may be selected by the Administrative Agent in its reasonable discretion: (1) the fixed rate for the main refinancing operations of the European Central Bank (or any successor thereto), or, if that rate is not published, the minimum bid rate for the main refinancing operations of the European Central Bank (or any successor thereto), each as published by the European Central Bank (or any successor thereto) from time to time, (2) the rate for the marginal lending facility of the European Central Bank (or any successor thereto), as published by the European Central Bank (or any successor thereto) from time to time or (3) the rate for the deposit facility of the central banking system of the Participating Member States, as published by the European Central Bank (or any successor thereto) from time to time or (z) any other Agreed Foreign Currency, a central bank rate as determined by the Administrative Agent in its reasonable discretion; plus (ii) the applicable Central Bank Rate Adjustment and (B) 0%. “Central Bank Rate Adjustment” means, for any date, for any Loan denominated in (A) Sterling, a rate equal to the difference (which may be a positive or negative value or zero) 17 Revolving Credit and Term Loan Agreement


 
of (i) the average of the Daily Simple RFR for Sterling for the five most recent RFR Business Days preceding such day for which SONIA was available (excluding, from such averaging, the highest and the lowest SONIA applicable during such period of five RFR Business Days) minus (ii) the Central Bank Rate in respect of Sterling in effect on the last RFR Business Day in such period, (B) Euro, a rate equal to the difference (which may be a positive or negative value or zero) of (i) the average of the Adjusted Term Benchmark Rate for Euros for the five most recent Term Benchmark Banking Days for Euro preceding such day for which the EURIBOR Screen Rate was available (excluding, from such averaging, the highest and the lowest EURIBOR Screen Rate applicable during such period of five Term Benchmark Banking Days for Euro) minus (ii) the Central Bank Rate in respect of Euro in effect on the last Term Benchmark Banking Day for Euro in such period and (C) any other Agreed Foreign Currency, a Central Bank Rate Adjustment as determined by the Administrative Agent in its reasonable discretion. For the purposes of this definition, (x) the term “Central Bank Rate” shall be determined disregarding clause (a)(ii) of the definition of such term and (y) each of the Adjusted Term Benchmark Rate for Euros on any day shall be based on the EURIBOR Screen Rate, on such day at approximately the time referred to in the definition of such term for deposits in the applicable Foreign Currency for a maturity of one month. “Change in Control” means (a) any combination of Teachers Insurance and Anuity Association of America or any of its Affiliates ceasing to own at least a majority of the equity interests of Churchill Asset Management LLC; or (b) Churchill Asset Management LLC (or an Affiliate or successor thereof) ceasing to be an External Manager of the Borrower. “Change in Law” means the occurrence, after the date of this Agreement (or with respect to a Person becoming a Lender by assignment or joinder after the date of this Agreement, the effective date thereof), of (a) the adoption of any law, treaty or governmental rule or regulation or any change in any law, treaty or governmental rule or regulation or in the interpretation, administration or application thereof (regardless of whether the underlying law, treaty or governmental rule or regulation was issued or enacted prior to the Effective Date (or with respect to a Person becoming a Lender by assignment or joinder after the date of this Agreement, the effective date thereof)), but excluding proposals thereof, or any determination of a court or Governmental Authority, (b) any guideline, request or directive by any Governmental Authority (whether or not having the force of law) or any implementation rules or interpretations of previously issued guidelines, requests or directives, in each case that is issued or made after the Effective Date (or with respect to a Person becoming a Lender by assignment or joinder after the date of this Agreement, the effective date thereof) or (c) compliance by any Lender (or its applicable lending office) or any company Controlling such Lender with any guideline, request or directive regarding capital adequacy or liquidity (whether or not having the force of law) of any such Governmental Authority, in each case adopted after the Effective Date (or with respect to a Person becoming a Lender by assignment or joinder after the date of this Agreement, the effective date thereof). All requests, rules, guidelines or directives concerning liquidity and capital adequacy issued (i) by any United States regulatory authority under or in connection with the implementation of the Dodd-Frank Wall Street Reform and Consumer Protection Act and (ii) by any Governmental Authority in connection with the implementation of the recommendations of the Bank for International Settlements or the Basel Committee on Banking Regulations and Supervisory Practices (or any successor or similar authority), in each case pursuant to Basel III, 18 Revolving Credit and Term Loan Agreement


 
shall in each case be deemed to be a “Change in Law”, regardless of the date adopted, issued, promulgated or implemented. “Class”, when used in reference to any Loan or Borrowing, refers to whether such Loan, or the Loans constituting such Borrowing, are Term Loans, Dollar Revolving Loans, Multicurrency Revolving Loans or Swingline Loans; when used in reference to any Lender, refers to whether such Lender is a Term Loan Lender, Dollar Revolving Lender or a Multicurrency Revolving Lender; and, when used in reference to any Commitment, refers to whether such Commitment is a Term Loan Commitment, Dollar Revolving Credit Commitment or a Multicurrency Revolving Credit Commitment. The “Class” of a Letter of Credit refers to whether such Letter of Credit is a Dollar Letter of Credit or a Multicurrency Letter of Credit. “CLO Securities” means debt securities, mezzanine securities, equity securities, residual interests or composite or combination securities (i.e. securities consisting of a combination of debt and equity securities that are issued in effect as a unit) including synthetic securities that provide synthetic credit exposure to debt securities, mezzanine securities, equity securities, residual interests or composite or combination securities (or other investments, including any interests held to comply with applicable risk retention requirements, that similarly represent an investment in underlying pools of leveraged portfolios), that, in each case, entitle the holders thereof to receive payments that (i) depend on the cash flow from a portfolio consisting primarily of ownership interests in debt securities, corporate loans or asset-backed securities or (ii) are subject to losses owing to credit events (howsoever defined) under credit derivative transactions with respect to debt securities, corporate loans or asset-backed securities. “Code” means the Internal Revenue Code of 1986, as amended from time to time. “Collateral” has the meaning assigned to such term in the Guarantee and Security Agreement. “Collateral Agent” means SMBC in its capacity as Collateral Agent for the Secured Parties under the Guarantee and Security Agreement and the other Loan Documents and includes any successor Collateral Agent thereunder. “Collateral Pool” means, at any time, each Portfolio Investment that has been Delivered (as defined in the Guarantee and Security Agreement) to the Collateral Agent and is subject to the Lien of the Guarantee and Security Agreement, and then only for so long as such Portfolio Investment continues to be Delivered as contemplated therein and in which the Collateral Agent has a first-priority perfected Lien as security for the Secured Obligations (as defined in the Guarantee and Security Agreement) (subject to any Liens permitted by Section 6.02); provided that, notwithstanding the foregoing, in the case of any Portfolio Investment in which the Collateral Agent has a first-priority perfected (other than customary rights of setoff, banker’s lien, security interest or other like right upon deposit accounts and securities accounts in which such Portfolio Investments are held) security interest pursuant to a valid Uniform Commercial Code filing (and for which no other method of perfection with a higher priority is possible), such Portfolio Investment may be included in the Collateral Pool so long as all remaining actions to complete “Delivery” are satisfied within the longest period of (i) seven 19 Revolving Credit and Term Loan Agreement


 
(7) days of such inclusion, (ii) as provided for herein or in the Guarantee and Security Agreement and (iii) such longer period as the Collateral Agent may agree in its reasonable discretion. “Combined Debt Amount” means, as of any date, (i) the aggregate principal amount of Revolving Credit Commitments as of such date (or, if greater, the Revolving Credit Exposures of all Lenders as of such date), plus (ii) the aggregate Outstanding Amount of Term Loans as of such date, plus (iii) the aggregate amount of outstanding Designated Indebtedness and, without duplication, the aggregate principal amount of unused commitments under any Designated Indebtedness. “Commitment Increase” has the meaning assigned to such term in Section 2.08(e)(i)means, collectively, any Revolving Credit Commitment Increase or Incremental Term Loan Commitment. “Commitment Increase Date” has the meaning assigned to such term in Section 2.08(e)(i). “Commitment TerminationIncrease Date” means June 23, 2027, collectively, any Revolving Credit Commitment Increase Date or Incremental Term Loan Commitment Effective Date. “Commitments” means, collectively, the Dollar Revolving Credit Commitments and, the Multicurrency Revolving Credit Commitments, the Initial Term Loan Commitment and the Incremental Term Loan Commitments, or any one of them as the context may require. “Competitor” means (a) any Person engaged in the business of private asset management as a business development company, mezzanine fund, private debt fund, hedge fund, distressed asset fund, vulture fund, private equity fund or any venture lender, which is in direct or indirect competition with the Borrower or any Affiliate thereof, (b) those Persons listed in the Disqualified Assignees and Participants Side Letter, (c) any Person Controlled by, or Controlling, or under common Control with, a Person referred to in clause (a) or (b) above, or (d) any Person for which a Person referred to in clause (a) or (b) above serves as an investment advisor with discretionary investment authority. “Concurrent Transactions” means, with respect to any proposed action or transaction hereunder, (a) any acquisition or sale of Portfolio Investments or other property or assets, (b) any payment of outstanding LoanLoans, Cash Collateralization of Letters of Credit, or payment of other Indebtedness that is included in the Covered Debt Amount, and (c) any Return of Capital or other distribution or receipt of cash from any Investment, (d) any incurrence of Indebtedness and the use of proceeds thereof, and (e) any pro forma adjustments related to any of the actions or transactions described in the foregoing clauses (a) through (d), in each case, (x) that occurs substantially simultaneously with (and in any event within twenty-four (24) hours of) such proposed action or transaction and (y) is evidenced by a current Borrowing Base Certificate delivered by the Borrower (which may include any activities permitted to be included under clause (x) above). 20 Revolving Credit and Term Loan Agreement


 
“Conforming Changes” means with respect to the use, administration, adoption or implementation of any Benchmark Replacement, any technical, administrative or operational changes (including changes to the definition of “Term Benchmark Rate”, the definition of “Alternate Base Rate”, the definition of “Canadian Prime Rate”, the definition of “Business Day”, the definition of “Term Benchmark Banking Day”, the definition of “U.S. Government Securities Business Day”, the definition of “Daily Simple RFR”, the definition of “Interest Period”, the definition of “RFR”, the definition of “RFR Business Day”, the definition of “RFR Interest Day”, the definition of “RFR Reference Day”, the definition of or any similar or analogous definition, timing and frequency of determining rates and making payments of interest, timing of borrowing requests or prepayment, conversion or continuation notices, the applicability and length of lookback periods, the applicability of Section 2.15 and other technical, administrative or operational matters) that the Administrative Agent (after consultation with the Borrower) decides in its reasonable discretion may be appropriate to reflect the adoption and implementation of any such rate or to permit the use and administration thereof by the Administrative Agent in a manner substantially consistent with market practice (or, if the Administrative Agent decides that adoption of any portion of such market practice is not administratively feasible or if the Administrative Agent determines that no market practice for the administration of any such rate exists, in such other manner of administration as the Administrative Agent (after consultation with the Borrower) decides is reasonably necessary in connection with the administration of this Agreement and the other Loan Documents). “Consolidated Asset Coverage Ratio” means the ratio, determined on a consolidated basis for Borrower and its Subsidiaries, without duplication, of (a) the value of Total Assets of the Borrower and its Subsidiaries, less all liabilities and indebtedness not represented by Senior Securities to (b) the aggregate amount of Senior Securities representing indebtedness of the Borrower and its Subsidiaries (including any Indebtedness outstanding under this Agreement), in each case as determined pursuant to the Investment Company Act and any orders of the SEC issued to or with respect to Borrower, including any exemptive relief granted by the SEC with respect to the indebtedness of any SBIC Subsidiary. The calculation of the Consolidated Asset Coverage Ratio shall be made in accordance with any exemptive order issued by the SEC under Section 6(c) of the Investment Company Act relating to the exclusion of any Indebtedness of any SBIC Subsidiary from the definition of Senior Securities only so long as (a) such order is in effect, and (b) no obligations have become due and owing pursuant to the terms of any Permitted SBIC Guarantee to which the Borrower or any other Obligor is a party. “Consolidated Group” has the meaning assigned to such term in Section 5.13(a). “Control” means the possession, directly or indirectly, of the power to direct or cause the direction of the management or policies of a Person, whether through the ability to exercise voting power, by contract or otherwise. “Controlling” and “Controlled” have meanings correlative thereto; provided, however, that “Control” shall not include “negative” control or “blocking” rights whereby action cannot be taken without the vote or consent of any Person. “Controlled Foreign Corporation” means any Subsidiary which is (i) a “controlled foreign corporation” (within the meaning of Section 957 of the Code), (ii) a Subsidiary substantially all the assets of which consist (directly or indirectly through one or more flow-through entities) of Equity Interests and/or indebtedness of one or more Subsidiaries 21 Revolving Credit and Term Loan Agreement


 
described in clause (i) of this definition, or (iii) an entity treated as disregarded for U.S. federal income tax purposes that owns more than 65% of the voting stock of a Subsidiary described in clause (i) or (ii) of this definition. “CORRA” means the Canadian Overnight Repo Rate Average administered and published by the Bank of Canada (or any successor administrator of the Canadian Overnight Repo Rate Average). “Covered Debt Amount” means, on any date, the sum (without duplication) of (x) all of the RevolvingTotal Credit Exposures of all Lenders on such date plus (y) the aggregate amount of Other Covered Indebtedness, Special Unsecured Indebtedness and Unsecured Longer-Term Indebtedness on such date minus (z) the LC Exposure fully Cash Collateralized on such date pursuant to Section 2.05(k) and the last paragraph of Section 2.09(a); provided that Indebtedness under the Existing Subscription Facility shall not be included in the Covered Debt Amount; provided further that (i) Special Unsecured Indebtedness, (ii) Unsecured Longer-Term Indebtedness, and (iii) 50% of all then outstanding Unsecured Shorter-Term Indebtedness shall be excluded from the calculation of the Covered Debt Amount, in each case, to the extent then outstanding, until the date that is nine (9) months prior to the scheduled maturity date of such Special Unsecured Indebtedness, Unsecured Longer-Term Indebtedness or Unsecured Shorter-Term Indebtedness (provided that, to the extent, but only to the extent, any portion of such Special Unsecured Indebtedness, Unsecured Longer-Term Indebtedness or Unsecured Shorter-Term Indebtedness is subject to a contractually scheduled amortization payment or other principal payment or mandatory redemption (other than in common stock of the Borrower or any conversion into Permitted Equity Interests, which shall not constitute “amortization” for purposes of this definition) (x) earlier than six (6) months after the Final Maturity Date (in the case of Special Unsecured Indebtedness and Unsecured Longer-Term Indebtedness) or (y) earlier than the original final maturity date of such Indebtedness (in the case of Unsecured Shorter-Term Indebtedness), but only to the extent of such portion, such portion of such Indebtedness shall be included in the calculation of the Covered Debt Amount beginning upon the date that is the later of (A) nine (9) months prior to such scheduled amortization payment or other principal payment or mandatory redemption and (B) the date the Borrower becomes aware that such Indebtedness is required to be paid or redeemed). For the avoidance of doubt, for purposes of calculating the Covered Debt Amount, any convertible securities that constitute Indebtedness that is required to be included in the “Covered Debt Amount” will be included at the then outstanding principal balance thereof. “Covered Entity” has the meaning assigned to such term in Section 9.18(b). “Covered Party” has the meaning assigned to such term in Section 9.18(a). “Currency” means Dollars or any Foreign Currency. “Currency Valuation Notice” has the meaning assigned to such term in Section 2.10(b). “Custodian” means U.S. Bank National Association, or any other financial institution mutually agreeable to the Collateral Agent and the Borrower, as custodian holding 22 Revolving Credit and Term Loan Agreement


 
documentation for Portfolio Investments, and accounts of the Borrower and/or other Obligors holding Portfolio Investments, on behalf of the Borrower and/or such other Obligor or any successor in such capacity pursuant to a custodian agreement. The term “Custodian” includes any agent or sub-custodian acting on behalf of the Custodian. “Custodian Agreement” means (a) that certain Custody Agreement, dated as of December 19, 2019, by and among the Borrower, the Custodian and U.S. Bank National Association, as Document Custodian, and (b) any other custodian agreement by and among the applicable Obligor, the Custodian and any other parties from time to time party thereto in form and substance substantially similar to the Custodian Agreement described in clause (a) or otherwise reasonably acceptable to the Collateral Agent. “Daily Compounded CORRA” means, for any day, CORRA with interest accruing on a compounded daily basis, with the methodology and conventions for this rate (which will include compounding in arrears with a lookback) being established by the Administrative Agent in accordance with the methodology and conventions for this rate selected or recommended by the Relevant Governmental Body for determining compounded CORRA for business loans; provided that if the Administrative Agent decides that any such convention is not administratively feasible for the Administrative Agent, then the Administrative Agent may (in consultation with the Borrower) establish another convention in its reasonable discretion; and provided that if the administrator has not provided or published CORRA and a Benchmark Replacement Date with respect to CORRA has not occurred, then, in respect of any day for which CORRA is required, references to CORRA will be deemed to be references to the last provided or published CORRA. Any change in Daily Compounded CORRA due to a change in CORRA shall be effective from and including the effective date of such change in CORRA without notice to the Borrower. “Daily Simple RFR” means, for any day (an “RFR Interest Day”), an interest rate per annum equal to the greater of (a) SONIA for the day (the “RFR Reference Day”) that is five RFR Business Days prior to (i) if such RFR Interest Day is a RFR Business Day, such RFR Interest Day or (ii) if such RFR Interest Day is not a RFR Business Day, the RFR Business Day immediately preceding such RFR Interest Day, in each case plus the applicable RFR Applicable Credit Adjustment Spread, and (b) 0.00%. If by 5:00 pm, London time, on the second RFR Business Day immediately following any RFR Reference Day, SONIA in respect of such RFR Reference Day has not been published on the SONIA Administrator’s Website and a Benchmark Replacement Date with respect to the Daily Simple RFR has not occurred, then SONIA for such RFR Reference Day will be SONIA as published in respect of the first preceding RFR Business Day for which SONIA was published on the SONIA Administrator’s Website; provided that SONIA as determined pursuant to this sentence shall be utilized for purposes of calculating the Daily Simple RFR for no more than three consecutive RFR Interest Days. Any change in Daily Simple RFR due to a change in SONIA shall be effective from and including the effective date of such change in SONIA without notice to the Borrower. “Daily Simple SOFR” means, for any day, SOFR, with the conventions for this rate (which will include a lookback) being established by the Administrative Agent in accordance with the conventions for this rate selected or recommended by the Relevant Governmental Body for determining “Daily Simple SOFR” for syndicated business loans; 23 Revolving Credit and Term Loan Agreement


 
provided that if the Administrative Agent decides that any such convention is not administratively feasible for the Administrative Agent, then the Administrative Agent may establish another convention in its reasonable discretion (in consultation with the Borrower). “Default” means any event or condition which constitutes an Event of Default or which upon notice, lapse of time or both would, unless cured or waived, become an Event of Default. “Defaulting Lender” means, subject to Section 2.19(b), any Lender that as determined by the Administrative Agent, (a) has failed to (i) fund all or any portion of its Loans or participations in Letters of Credit or Swingline Loans within two (2) Business Days of the date such Loans were required to be funded hereunder unless such Lender notifies the Administrative Agent and the Borrower in writing that such failure is the result of such Lender’s reasonable determination that one or more conditions precedent to funding (each of which conditions precedent, together with the applicable default, if any, shall be specifically identified in detail in such writing) has not been satisfied or has not otherwise been waived in accordance with the terms of this Agreement, or (ii) pay to the Administrative Agent, any Issuing Bank, any Swingline Lender, or any Lender any other amount required to be paid by it hereunder (including in respect of its participation in Letters of Credit or Swingline Loans) within two (2) Business Days of the date when due, (b) has notified the Borrower, the Administrative Agent or any Issuing Bank or Swingline Lender in writing that it does not intend to comply with its funding obligations hereunder, or has made a public statement to that effect (unless such writing or public statement relates to such Lender’s obligation to fund a Loan hereunder and states that such position is based on such Lender’s commercially reasonable determination that a condition precedent to funding (which condition precedent, together with the applicable default, if any, shall be specifically identified in detail in such writing or public statement) cannot be satisfied), (c) has failed, within three (3) Business Days after written request by the Administrative Agent or the Borrower, to confirm in writing to the Administrative Agent and the Borrower that it will comply with its prospective funding obligations hereunder (provided that such Lender shall cease to be a Defaulting Lender pursuant to this clause (c) upon receipt of such written confirmation by the Administrative Agent and the Borrower), or (d) the Administrative Agent has received notification that such Lender has become, or has a direct or indirect parent company that is, (i) insolvent, or is generally unable to pay its debts as they become due, or admits in writing its inability to pay its debts as they become due, or makes a general assignment for the benefit of its creditors, (ii) other than via an Undisclosed Administration, the subject of a bankruptcy, insolvency, reorganization, liquidation or similar proceeding, or a receiver, trustee, conservator, intervenor or sequestrator or the like has been appointed for such Lender or its direct or indirect parent company, or such Lender or its direct or indirect parent company has taken any action in furtherance of or indicating its consent to or acquiescence in any such proceeding or appointment or (iii) the subject of a Bail-In Action; provided that a Lender shall not be a Defaulting Lender solely by virtue of the ownership or acquisition of any Equity Interest in that Lender or any direct or indirect parent company thereof by a Governmental Authority or instrumentality so long as such ownership interest does not result in or provide such Lender with immunity from the jurisdiction of courts within the United States or from the enforcement of judgments or writs of attachment on its assets or permit such Lender (or such Governmental Authority or instrumentality) to reject, repudiate, disavow or disaffirm any contracts or agreements made with such Lender. Any determination by the Administrative Agent that a Lender is a Defaulting 24 Revolving Credit and Term Loan Agreement


 
Lender under any one or more of clauses (a) through (d) above shall be conclusive and binding absent manifest error, and such Lender shall be deemed to be a Defaulting Lender (subject to Section 2.19(b)) upon such determination (and the Administrative Agent shall deliver written notice of such determination to the Borrower, each Lender, each Swingline Lender and each Issuing Bank). “Designated Indebtedness” has the meaning assigned to such term in the Guarantee and Security Agreement. “Designated Obligations” means all obligations of the Borrower with respect to (a) principal of and interest on the Loans and (b) accrued and unpaid fees under the Loan Documents. “Designated Subsidiary” means each of Nuveen Churchill NCDLC CLO-IBDC SPV I, LLC, Nuveen Churchill BDC SPV II, LLC, Nuveen Churchill BDC SPV IV, LLC and Nuveen Churchill BDC SPV IIIV, LLC. “Designated Swap” means any total return swap, credit default swap or equity hedging agreement entered into as a means to invest in bonds, notes, loans, debentures or securities on a leveraged basis. “Disposition” or “Dispose” means the sale, transfer, license, lease or other disposition (including any sale and leaseback transaction) of any property by any Person (or the granting of any option or other right to do any of the foregoing), including any sale, assignment, transfer or other disposal, with or without recourse, of any notes or accounts receivable or any rights and claims associated therewith; provided that the term “Disposition” or “Dispose” shall not include the disposition of Investments originated by the Borrower and immediately transferred to a Financing Subsidiary pursuant to a transaction not prohibited hereunder or any disposition of a Portfolio Investment received from an Excluded Asset and promptly transferred to another Excluded Asset or any Back-to-Back Transaction pursuant to the terms of Section 6.03(h). “Disqualified Assignees and Participants Side Letter” means that certain Side Letter, dated as of the Effective Date, between the Borrower and the Administrative Agent (as amended, restated, modified or otherwise supplemented from time to time with the consent of the Administrative Agent). The Administrative Agent agrees to promptly provide each Lender with (a) the Disqualified Assignees and Participants Side Letter then in effect upon the request of such Lender and (b) any amendments, modifications or other updates to the Disqualified Assignees and Participants Side Letter. “Dollar Revolving Credit Commitment” means, with respect to each Dollar Revolving Lender, the commitment of such Dollar Lender to make Revolving Loans, and to acquire participations in Letters of Credit, denominated in Dollars hereunder, expressed as an amount representing the maximum aggregate amount of such Lender’s Revolving Dollar Credit Exposure hereunder, as such commitment may be (a) reduced or increased from time to time pursuant to Section 2.08 and (b) reduced or increased from time to time pursuant to assignments by or to such Lender pursuant to Section 9.04. The amount of each Lender’s Dollar Revolving 25 Revolving Credit and Term Loan Agreement


 
Credit Commitment is set forth on Schedule 1.01(b), or in the Assignment and Assumption pursuant to which such Lender shall have assumed its Dollar Revolving Credit Commitment, as applicable. The aggregate amount of the Lenders’ Dollar Revolving Credit Commitments as of the Amendment No. 2 Effective Date is $25,000,000.0040,000,000.00. “Dollar Equivalent” means, on any date of determination, with respect to an amount denominated in any Foreign Currency, the amount of Dollars that would be required to purchase such amount of such Foreign Currency on the date two (2) Business Days prior to such date, based upon the spot selling rate at which the Administrative Agent or the applicable Issuing Bank, as applicable, offers to sell such Foreign Currency for Dollars in the Principal Financial Center for such Foreign Currency at approximately 11:00 a.m., Applicable Time, for delivery two (2) Business Days later; provided that the Administrative Agent or such Issuing Bank, as applicable, may obtain such spot rate from another financial institution designated by the Administrative Agent or such Issuing Bank if the Person acting in such capacity does not have as of the date of determination a spot buying rate for any such currency; provided further that such Issuing Bank may use such spot rate quoted on the date as of which the foreign exchange computation is made in the case of any Letters of Credit denominated in any Agreed Foreign Currency. “Dollar LC Exposure” means, at any time, the sum of (a) the aggregate undrawn amount of all outstanding Dollar Letters of Credit at such time plus (b) the aggregate amount of all LC Disbursements in respect of such Letters of Credit that have not yet been reimbursed by or on behalf of the Borrower at such time. The Dollar LC Exposure of any Lender at any time shall be its Applicable Dollar Revolving Percentage of the total Dollar LC Exposure at such time. For all purposes of this Agreement, if on any date of determination a Dollar Letter of Credit has expired by its terms but any amount may still be drawn thereunder by reason of the operation of Rule 3.14 of the International Standby Practices, such Dollar Letter of Credit shall be deemed to be “outstanding” in the amount so remaining available to be drawn. “Dollar Revolving Lender” means the Persons listed on Schedule 1.01(b) as having Dollar Revolving Credit Commitments and any other Person that shall have become a party hereto pursuant to an Assignment and Assumption that provides for it to assume a Dollar Revolving Credit Commitment or to acquire Revolving Dollar Credit Exposure, other than any such Person that ceases to be a party hereto pursuant to an Assignment and Assumption. “Dollar Letters of Credit” means Letters of Credit that utilize the Dollar Revolving Credit Commitments. “Dollar Revolving Loan” means a Revolving Loan denominated in Dollars. “Dollars” or “$” refers to lawful money of the United States of America. “EBITDA” means the consolidated net income of the applicable Person (excluding extraordinary, unusual or non-recurring gains and extraordinary losses (to the extent excluded in the definition of “EBITDA” (or similar defined term used for the purposes contemplated herein) in the relevant agreement relating to the applicable Portfolio Investment)) for the relevant period plus, without duplication, the following to the extent deducted in 26 Revolving Credit and Term Loan Agreement


 
calculating such consolidated net income in the relevant agreement relating to the applicable Portfolio Investment for such period: (i) consolidated interest charges for such period, (ii) the provision for federal, state, local and foreign income taxes payable for such period, (iii) depreciation and amortization expense for such period, and (iv) such other adjustments included in the definition of “EBITDA” (or similar defined term used for the purposes contemplated herein) in the relevant agreement relating to the applicable Portfolio Investment, provided that such adjustments are usual and customary and substantially comparable to market terms for substantially similar debt of other similarly situated borrowers at the time such relevant agreements are entered into as reasonably determined in good faith by the Borrower. Notwithstanding the foregoing, EBITDA may be calculated by the Borrower in good faith using information from and calculations consistent with the relevant financial models, pro forma financial statements, compliance statements and financial reporting packages provided by the relevant issuer as per the requirements of the relevant agreement governing a Portfolio Investment. “EEA Financial Institution” means (a) any credit institution or investment firm established in any EEA Member Country which is subject to the supervision of an EEA Resolution Authority, (b) any entity established in an EEA Member Country which is a parent of an institution described in clause (a) of this definition, or (c) any financial institution established in an EEA Member Country which is a subsidiary of an institution described in clause (a) or (b) of this definition and is subject to consolidated supervision with its parent. “EEA Member Country” means any of the member states of the European Union, Iceland, Liechtenstein and Norway. “EEA Resolution Authority” means any public administrative authority or any Person entrusted with public administrative authority of any EEA Member Country (including any delegee) having responsibility for the resolution of any EEA Financial Institution. “Effective Date” means the date on which the conditions specified in Section 4.01 are satisfied (or waived in accordance with Section 9.02), which date is June 23, 2023. “Entitled Person” has the meaning assigned to such term in Section 9.11. “Equity Interests” means shares of capital stock, partnership interests, membership interests in a limited liability company, beneficial interests in a trust or other equity ownership interests or equivalents (however designated, including any instrument treated as equity for U.S. federal income tax purposes) in a Person, and any warrants, options or other rights entitling the holder thereof to purchase or acquire any such equity interest. “ERISA” means the U.S. Employee Retirement Income Security Act of 1974, and the rules and regulations promulgated thereunder, each as amended or modified from time to time. “ERISA Affiliate” means any trade or business (whether or not incorporated) that, together with the Borrower, is treated as a single employer under Section 414(b) or (c) of the 27 Revolving Credit and Term Loan Agreement


 
Code, or, solely for purposes of Section 302 of ERISA and Section 412 of the Code, is treated as a single employer under Section 414(m) or (o) of the Code. “ERISA Event” means (a) any “reportable event”, as defined in Section 4043 of ERISA or the regulations issued thereunder with respect to a Plan (other than an event for which the 30-day notice period is waived); (b) any failure by any Plan to satisfy the minimum funding standards (within the meaning of Section 412 of the Code or Section 302 of ERISA) applicable to such Plan; (c) the filing pursuant to Section 412(c) of the Code or Section 302(c) of ERISA of an application for a waiver of the minimum funding standard with respect to any Plan; (d) the incurrence by the Borrower or any of its ERISA Affiliates of any liability under Title IV of ERISA with respect to the termination of any Plan, other than for the payment of plan contributions or PBGC premiums due but not delinquent under Section 4007 of ERISA; (e) the receipt by the Borrower or any ERISA Affiliate from the PBGC or a plan administrator of any notice relating to an intention to terminate any Plan or Plans or to appoint a trustee to administer any Plan; or (f) the imposition of Withdrawal Liability on the Borrower or any ERISA Affiliate or the receipt of any notice by the Borrower or any ERISA Affiliate of the insolvency, within the meaning of Title IV of ERISA, of any Multiemployer Plan to which the Borrower or any ERISA Affiliate is obligated to contribute. “Erroneous Payment” has the meaning assigned to it in Section 8.09(a). “Erroneous Payment Deficiency Assignment” has the meaning assigned to it in Section 8.09(d). “Erroneous Payment Impacted Class” has the meaning assigned to it in Section 8.09(d). “Erroneous Payment Return Deficiency” has the meaning assigned to it in Section 8.09(d). “Erroneous Payment Subrogation Rights” has the meaning assigned to it in Section 8.09(d). “EU Bail-In Legislation Schedule” means the EU Bail-In Legislation Schedule published by the Loan Market Association (or any successor person), as in effect from time to time. “Euro” means a single currency of the Participating Member States. “Event of Default” has the meaning assigned to such term in Article VII. “Exchange Act” means the United States Securities Exchange Act of 1934, as amended. “Excluded Assets” means: (i) any Permitted CLO Issuer, CLO Securities and finance lease obligations, SPE Subsidiaries, and any similar assets or entities, in each case, in which any Obligor holds an 28 Revolving Credit and Term Loan Agreement


 
interest on or after the Effective Date, and, in each case, their respective Subsidiaries, unless, in the case of any such asset or entity, the Borrower designates in writing to the Collateral Agent that such asset or entity is not an Excluded Asset; (ii) any Equity Interests in Immaterial Subsidiaries, Foreign Subsidiaries and Financing Subsidiaries; (iii) any assets that are directly held or indirectly held by a Foreign Subsidiary or by a Financing Subsidiary; (iv) any assets with respect to which applicable law prohibits the creation or perfection of such security interests therein; (v) any Equity Interest in a Portfolio Investment that is issued as an “equity kicker” to holders of subordinated debt and such Equity Interest is pledged to secure senior debt of such Portfolio Investment to the extent required thereby; and (vi) any property that, were it “Collateral” hereunder, would be subject to release pursuant to the security documentation entered into in connection with this Agreement, and any similar assets or entities in which any Obligor holds an interest on or after the Amendment No. 2 Effective Date. “Excluded Asset Lien” has the meaning assigned to such term in Section 6.02(j). “Excluded Taxes” means, with respect to the Administrative Agent, any Lender, any Issuing Bank or any other recipient of any payment to be made by or on account of any obligation of the Borrower hereunder, (a) Taxes imposed on (or measured by) such recipient’s net income (however denominated), net profits, franchise Taxes and branch profits or any similar Taxes, in each case, (i) imposed by the United States of America (or any state or political subdivision thereof), or by the jurisdiction (or any political subdivision thereof) under the laws of which such recipient is organized or in which its principal office is located or, in the case of any Lender, in which its applicable lending office is located or (ii) Other Connection Taxes, (b) in the case of a Lender, any Taxes that are U.S. withholding taxes imposed on amounts payable to or for the account of such Lender (i) at the time such Lender (other than an assignee pursuant to a request by the Borrower under Section 2.18(b)) becomes a party to this Agreement (or otherwise acquires an interest in a Loan or Commitment) or designates a new lending office, except in each case to the extent that such Lender’s assignor or such Lender was entitled to receive additional amounts from the Borrower with respect to such withholding tax pursuant to Section 2.16, at the time of such assignment or designation, or (ii) that are attributable to such Lender’s failure or inability (other than as a result of a Change in Law occurring after the date such Lender becomes a party to this Agreement) to comply with Section 2.16(f), (c) any U.S. federal, state or local backup withholding Taxes imposed on payments made under any Loan Document, and (d) any withholding Taxes that are imposed under FATCA. “Existing Subscription Facility” means the Revolving Credit Agreement, dated as of September 10, 2020 (as amended, amended and restated, supplemented or otherwise modified 29 Revolving Credit and Term Loan Agreement


 
from time to time), by and among the Borrower, the lenders party thereto, and Sumitomo Mitsui Banking Corporation, as administrative agent. “External Managers” means Nuveen Churchill Advisors LLC and, Churchill Asset Management LLC and Nuveen Asset Management, LLC, or any of their Affiliates that are organized under the laws of a jurisdiction located in the United States of America and in the business of managing or advising clients. “Extraordinary Receipts” means any cash received by or paid to any Obligor on account of any foreign, United States, state or local tax refunds, pension plan reversions, judgments, proceeds of settlements or other consideration of any kind in connection with any cause of action, condemnation awards (and payments in lieu thereof), indemnity payments received not in the ordinary course of business and any purchase price adjustment received not in the ordinary course of business in connection with any purchase agreement and proceeds of insurance (excluding, however, for the avoidance of doubt, proceeds of any issuance of Equity Interests and issuances of Indebtedness by any Obligor); provided that Extraordinary Receipts shall not include any (v) amounts that the Borrower receives from the Administrative Agent or any Lender pursuant to Section 2.16(h), (w) cash receipts to the extent received from proceeds of insurance, condemnation awards (or payments in lieu thereof), indemnity payments or payments in respect of judgments or settlements of claims, litigation or proceedings to the extent that such proceeds, awards or payments are received by any Person in respect of any unaffiliated third-party claim against or loss by such Person and promptly applied to pay (or to reimburse such Person for its prior payment of) such claim or loss and the costs and expenses of such Person with respect thereto, (x) taxes paid or reasonably estimated to be payable by the Borrower or such other Obligor as a result of such cash receipts (after taking into account any available tax credits or deductions); provided that, if the amount of any estimated taxes pursuant to clause (x) exceeds the amount of taxes actually required to be paid in cash in respect of any such event, the aggregate amount of such excess shall constitute Extraordinary Receipts (as of the date the Borrower determines such excess exists), (y) any costs, fees, commissions, premiums and expenses incurred by the Borrower or such other Obligor directly incidental to such cash receipts, including reasonable legal fees and expenses or (z) proceeds of business interruption insurance to the extent such proceeds constitute compensation for lost earnings. “Facility” means the Revolving Facility, the Initial Term Loan Facility or an Incremental Term Loan Facility, as the context may require. “FATCA” means Sections 1471 through 1474 of the Code, as of the date of this Agreement (or any amended or successor version that is substantively comparable and not materially more onerous to comply with), any current or future regulations or official interpretations thereof, any agreements entered into pursuant to Section 1471(b)(1) of the Code and any fiscal or regulatory legislation, rules or practices adopted pursuant to any intergovernmental agreement, treaty or convention among Governmental Authorities and implementing such Sections of the Code. “FCA” means the Financial Conduct Authority of the United Kingdom. 30 Revolving Credit and Term Loan Agreement


 
“Federal Funds Effective Rate” means, for any day, the weighted average (rounded upwards, if necessary, to the next 1/100 of 1%) of the rates on overnight Federal funds transactions with members of the Federal Reserve System, as published on the next succeeding Business Day by the Federal Reserve Bank of New York, or, if such rate is not so published for any day that is a Business Day, the average (rounded upwards, if necessary, to the next 1/100 of 1%) of the quotations for such day for such transactions received by the Administrative Agent from three Federal funds brokers of recognized standing selected by it. “Fee Letter” means that certain Fee Letter, dated as of May 2, 2023, among the Borrower, the Administrative Agent and SMBC, as Lead Arranger. “Final Maturity Date” means June 23October 4, 20282029. “Financial Officer” means the chief executive officer, president, chief financial officer, principal accounting officer, chief accounting officer, treasurer, assistant treasurer, controller or assistant controller of the Borrower. “Financing Subsidiary” means an SPE Subsidiary or an SBIC Subsidiary. “Floor” means zero percent (0.00%). “Foreign Currency” means at any time any currency other than Dollars. “Foreign Currency Equivalent” means, with respect to any amount denominated in Dollars, the amount of any Foreign Currency that could be purchased with such amount of Dollars using the reciprocal of the foreign exchange rate(s) specified in the definition of “Dollar Equivalent”, as reasonably determined by the Administrative Agent. “Foreign Lender” means any Lender that is not a United States Person. “Foreign Subsidiary” means any Subsidiary of the Borrower that is a Controlled Foreign Corporation. “Fronting Exposure” means, at any time there is a Defaulting Lender, with respect to any Issuing Bank, such Defaulting Lender’s (a) Applicable Dollar Revolving Percentage of the outstanding Dollar LC Exposure and (b) Applicable Multicurrency Revolving Percentage of the outstanding Multicurrency LC Exposure, in each case with respect to Letters of Credit issued by such Issuing Bank other than Dollar LC Exposure or Multicurrency LC Exposure, as the case may be, as to which such Defaulting Lender’s participation obligation has been reallocated to other Lenders or Cash Collateralized in accordance with the terms hereof. “GAAP” means generally accepted accounting principles in the United States of America. “Governmental Authority” means the government of the United States of America, or of any other nation, or any political subdivision thereof, whether state or local, and any agency, authority, instrumentality, regulatory body, court, central bank or other entity exercising executive, legislative, judicial, taxing, regulatory or administrative powers or 31 Revolving Credit and Term Loan Agreement


 
functions of or pertaining to government, including any supra-national body exercising such powers or functions (such as the European Union or the European Central Bank). “Granting Lender” has the meaning assigned to such term in Section 9.04(e). “Gross Borrowing Base” has the meaning assigned to such term in Section 5.13(j). “Guarantee” of or by any Person (the “guarantor”) means any obligation, contingent or otherwise, of the guarantor guaranteeing or having the economic effect of guaranteeing any Indebtedness or other obligation of any other Person (the “primary obligor”) in any manner, whether directly or indirectly, and including any obligation of the guarantor, direct or indirect, (a) to purchase or pay (or advance or supply funds for the purchase or payment of) such Indebtedness or other obligation or to purchase (or to advance or supply funds for the purchase of) any security for the payment thereof, (b) to purchase or lease property securities or services for the purpose of assuring the owner of such Indebtedness or other obligation of the payment thereof, (c) to maintain working capital, equity capital or any other financial statement condition or liquidity of the primary obligor so as to enable the primary obligor to pay such Indebtedness or other obligation or (d) as an account party in respect of any letter of credit or letter of guaranty issued to support such Indebtedness or obligation; and “Guaranteed” has a meaning correlative thereto; provided that the term Guarantee shall not include (i) endorsements for collection or deposit in the ordinary course of business or (ii) customary indemnification agreements entered into in the ordinary course of business, provided that such indemnification obligations are unsecured, such Person has determined, when initially entering into such indemnification obligation, that any liability thereunder is remote and such indemnification obligations are not the functional equivalent of the guaranty of a payment obligation of the primary obligor. The amount of any Guarantee at any time shall be deemed to be an amount equal to the maximum stated or determinable amount of the primary obligation in respect of which such Guarantee is incurred, unless the terms of such Guarantee expressly provides that the maximum amount for which such Person may be liable thereunder is a lesser amount (in which case the amount of such Guarantee shall be deemed to be an amount equal to such lesser amount). “Guarantee and Security Agreement” means that certain Guarantee and Security Agreement dated as of the Effective Date among the Borrower, the Administrative Agent, certain Subsidiaries of the Borrower from time to time party thereto, each holder (or an authorized agent, representative or trustee therefor) from time to time of any Secured Longer-Term Indebtedness or Secured Shorter-Term Indebtedness, and the Collateral Agent. “Guarantee Assumption Agreement” means a Guarantee Assumption Agreement substantially in the form of Exhibit B to the Guarantee and Security Agreement (or such other form as shall be reasonably satisfactory to the Collateral Agent) between the Collateral Agent and an entity that pursuant to Section 5.08(a) is required to become a “Subsidiary Guarantor” under the Guarantee and Security Agreement (with such changes as the Administrative Agent shall request consistent with the requirements of Section 5.08). 32 Revolving Credit and Term Loan Agreement


 
“Hedging Agreement” means any agreement governing interest rate protection agreement, interest rate options, credit default swap, total return swap, foreign currency exchange protection agreement, commodity price protection agreement, equity or equity index swap, equity or equity index option, bond or bond price or bond index swaps or options or forward bond or forward bond price or forward bond index transactions, forward foreign exchange transactions, currency swap transactions, cross-currency rate swap transactions, currency options, cap transactions, floor transactions, collar transactions, spot contracts, or any other similar transactions or any combination of any of the foregoing (including any options to enter into any of the foregoing).or any other interest or currency exchange rate or commodity price hedging or management arrangement. “Immaterial Subsidiaries” means those Subsidiaries of the Borrower that are “designated” as Immaterial Subsidiaries by the Borrower from time to time (it being understood that the Borrower may at any time change any such designation); provided that such designated Immaterial Subsidiaries shall collectively meet all of the following criteria as of the date of the most recent statement of assets and liabilities required to be delivered pursuant to Section 5.01: (a) the aggregate assets of such Subsidiaries and their respective Subsidiaries (on a consolidated basis) as of such date do not exceed an amount equal to 3% of the consolidated assets of the Borrower and its Subsidiaries as of such date; and (b) the aggregate revenues of such Subsidiaries and their respective Subsidiaries (on a consolidated basis) for the fiscal quarter ending on such date do not exceed an amount equal to 3% of the consolidated revenues of the Borrower and its Subsidiaries for such period. “Increasing Revolving Lender” has the meaning assigned to such term in Section 2.08(e). “Increasing Term Loan Lender” has the meaning assigned to such term in Section 2.08(f). Incremental Revolving Loan Lender” means, collectively, the Increasing Revolving Lenders and the Assuming Revolving Lenders. “Incremental Term Loan Commitment” has the meaning assigned to such term in Section 2.08(f). “Incremental Term Loan Commitment Effective Date” has the meaning assigned to such term in Section 2.08(f). “Incremental Term Loan Facility” means any facility consisting of Incremental Term Loan Commitments and all Borrowings thereunder. “Incremental Term Loan Lender” means, collectively, the Increasing Term Loan Lenders and the Assuming Term Loan Lenders. 33 Revolving Credit and Term Loan Agreement


 
“Incremental Term Loans” means the Term Loans made under any Incremental Term Loan Facility “Incremental Term Loan Period Termination Date” means October 4, 2024. “Indebtedness” of any Person means, without duplication, (a)(i) all obligations of such Person for borrowed money or (ii) with respect to deposits or advances of any kind that are required to be to accounted for under GAAP as a liability on the financial statements of such Person (other than deposits received in connection with a portfolio investment (including Portfolio Investments) of such Person in the ordinary course of such Person’s business (including, but not limited to, any deposits or advances in connection with expense reimbursement, prepaid agency fees, other fees, indemnification, work fees, tax distributions or purchase price adjustments)), (b) all obligations of such Person evidenced by bonds, debentures, notes or similar instruments representing extensions of credit, (c) all obligations of such Person under conditional sale or other title retention agreements relating to property acquired by such Person (excluding accounts payable and accrued expenses and trade accounts incurred in the ordinary course of business that are not more than 90 days past due), (d) all obligations of such Person in respect of the deferred purchase price of property or services (excluding accounts payable and accrued expenses and trade accounts incurred in the ordinary course of business that are not more than 90 days past due), (e) all Indebtedness of others secured by any Lien (other than a Lien permitted by Section 6.02(c)) on property owned or acquired by such Person, whether or not the Indebtedness secured thereby has been assumed (with the amount of such Indebtedness being the lower of the outstanding amount of such Indebtedness and the fair market value of the property subject to such Lien), (f) all Guarantees by such Person of Indebtedness of others, (g) all Capital Lease Obligations of such Person, (h) all obligations, contingent or otherwise, of such Person as an account party in respect of letters of credit and letters of guaranty, (i) all obligations, contingent or otherwise, of such Person in respect of bankers’ acceptances and (j) all obligations of such Person under any Designated Swap Agreement (other than any Hedging Agreement described in clause (viii) of the last sentence of this definition) (it being understood that, for purposes of this definition, the amount of any such Indebtedness under a Designatedany such Swap Agreement shall be the excess of (x) the net amount such Person (after giving effect to the netting provisions under such Designated Swap Agreement) would be obligated for under such Designated Swap Agreement if such Designated Swap Agreement were terminated at the time of determination over (y) the value of the margin posted in respect of such Designated Swap Agreement by the Borrower or any of its Subsidiaries thereunder). The Indebtedness of any Person shall include the Indebtedness of any other entity (including any partnership in which such Person is a general partner) to the extent such Person is liable therefor as a result of such Person’s ownership interest in or other relationship with such entity, except to the extent the terms of such Indebtedness provide that such Person is not liable therefor. Notwithstanding the foregoing, “Indebtedness” shall not include (i) uncalled capital or any revolving commitments, delayed draw term loans or letters of credit for which any Obligor is acting as a lender or issuing lender, as applicable, as part of or in connection with a Investment, (ii) any non-recourse liabilities for participations sold by any Person in any Bank Loans, (iii) any indebtedness of such Person on account of the sale by such Person of the first out tranche of any First Lien Bank Loan that arises solely as an accounting matter under ASC 860, (iv) escrows or purchase price holdbacks arising in the ordinary course of business in respect of a portion of the purchase price of an asset or Investment to satisfy 34 Revolving Credit and Term Loan Agreement


 
unperformed obligations of the seller of such asset or Investment, (v) a commitment arising in the ordinary course of business to make a future Portfolio Investment or fund the delayed draw or unfunded portion of any existing Investment, (vi) uncalled capital or other commitments of an Obligor in Joint Venture Investments, as well as any letter or agreement requiring any Obligor to provide capital to a Joint Venture Investment or a lender to a Joint Venture Investment, (vii) any accrued incentive, management or other fees to an investment manager or its affiliates (regardless of any deferral in payment thereof), or (viii) Hedging Agreements entered into pursuant to Section 6.04(c) and not for borrowed money. “Indemnified Taxes” means Taxes, other than Excluded Taxes, imposed on or with respect to any payment made by or on account of any obligation of any Obligor under any Loan Document. “Indemnitee” has the meaning assigned to such term in Section 9.03(b). “Independent” when used with respect to any specified Person means that such Person (a) does not have any direct financial interest or any material indirect financial interest in the Borrower or any of its Subsidiaries or Affiliates (including its investment advisor or any Affiliate thereof) and (b) is not connected with the Borrower or of its Subsidiaries or Affiliates (including its investment advisor or any Affiliate thereof) as an officer, employee, promoter, underwriter, trustee, partner, director or Person performing similar functions. “Industry Classification Group” means (a) any of the classification groups set forth on Schedule 1.01(c) hereto, together with any such classification groups that may be subsequently established by Moody’s and provided by the Borrower to the Administrative Agent, and (b) up to three additional industry group classifications established by the Borrower pursuant to Section 5.12(a). “Initial Fee Letter” means that certain Fee Letter, dated as of May 2, 2023, among the Borrower, the Administrative Agent and SMBC, as Lead Arranger. “Initial Term Loan” means the Term Loan made under the Initial Term Loan Facility on the Amendment No. 2 Effective Date. “Initial Term Loan Commitment” means, with respect to an Initial Term Loan Lender, the commitment of such Lender to make a Term Loan on the Amendment No. 2 Effective Date in the amount of such Lender’s Initial Term Loan Commitment set forth on Schedule 1.01(b). “Initial Term Loan Facility” means the Initial Term Loan Commitments and all Borrowings thereunder. “Initial Term Loan Lenders” means the Person listed on Schedule 1.01(b) as having an Initial Term Loan Commitment and any other Person that shall have become a party hereto pursuant to an Assignment and Assumption that provides for it to assume all or part of the Initial Term Loan, other than any such Person that ceases to be a party hereto pursuant to an Assignment and Assumption. 35 Revolving Credit and Term Loan Agreement


 
“Interest Election Request” means a request by the Borrower to convert or continue a Borrowing in accordance with Section 2.07. “Interest Payment Date” means (a) with respect to any ABR Loan, each Quarterly Date, (b) with respect to any RFR Loan, each Monthly Date, (c) with respect to any Term Benchmark Loan, the last day of each Interest Period therefor and, in the case of any Interest Period of more than three months’ duration, each day prior to the last day of such Interest Period that occurs at three-month intervals after the first day of such Interest Period and (d) with respect to any Swingline Loan, the day that such Loan is required to be repaid. “Interest Period” means, for any Term Benchmark Loan or Borrowing of Term Loans or Revolving Loans, the period commencing on the date of such Loan or Borrowing and ending on the numerically corresponding day in the calendar month that is one month, three months or, except with respect to Term Benchmark Loans that are Revolving Loans denominated in Canadian Dollars, six months thereafter or, with respect to such portion of any Revolving Loan that is a Term Benchmark Loan or a Revolving Borrowing denominated in a Foreign Currency that is scheduled to be repaid on the Final Maturity Date, a period of less than one month’s duration commencing on the date of such Loan or Borrowing and ending on the Final Maturity Date, as specified in the applicable Borrowing Request or Interest Election Request; provided that (i) if any Interest Period would end on a day other than a Business Day, such Interest Period shall be extended to the next succeeding Business Day unless such next succeeding Business Day would fall in the next calendar month, in which case such Interest Period shall end on the next preceding Business Day, (ii) any Interest Period (other than an Interest Period pertaining to a Revolving Loan that is a Term Benchmark Borrowing denominated in a Foreign Currency that ends on the Final Maturity Date that is permitted to be of less than one month’s duration as provided in this definition) that commences on the last Business Day of a calendar month (or on a day for which there is no numerically corresponding day in the last calendar month of such Interest Period) shall end on the last Business Day of the last calendar month of such Interest Period and (iii) no tenor that has been removed from this definition pursuant to Section 2.20(d) shall be available for specification in such Borrowing Request or notice of conversion or continuation unless or until it is reinserted pursuant to Section 2.20(d). For purposes hereof, the date of a Loan initially shall be the date on which such Loan is made and thereafter shall be the effective date of the most recent conversion or continuation of such Loan, and the date of a Borrowing comprising Loans that have been converted or continued shall be the effective date of the most recent conversion or continuation of such Loans. “Investment” means, for any Person: (a) Equity Interests, bonds, notes, debentures or other securities of any other Person or any agreement to acquire any Equity Interests, bonds, notes, debentures or other securities of any other Person (and any rights or proceeds in respect of (x) any “short sale” of securities or (y) any sale of any securities at a time when such securities are not owned by such Person); (b) deposits, advances, loans or other extensions of credit made to any other Person (including purchases of property from another Person subject to an understanding or agreement, contingent or otherwise, to resell such property to such Person, but excluding any advances to directors and third-party consultants of such Borrower or any of its Affiliates for expenses in the ordinary course of business); orand (c) HedgingSwap Agreements and Designated Swapsof such Person. 36 Revolving Credit and Term Loan Agreement


 
“Investment Company Act” means the Investment Company Act of 1940, as amended from time to time. “Investment Policies” means the investment objectives, policies, restrictions and limitations for the Borrower delivered (to the extent not otherwise publicly filed with the SEC) to the Lenders prior to the Effective Date (as such investment policies have been amended, modified or supplemented pursuant to any Permitted Policy Amendment). “Issuing Bank” means SMBC and any other Issuing Bank designated pursuant to Section 2.05(l), in their capacity as the issuers of Letters of Credit hereunder, and their respective successors in such capacity as provided in Section 2.05(j). In the case of any Letter of Credit to be issued in an Agreed Foreign Currency, each Issuing Bank may designate any of its affiliates as the “Issuing Bank” for purposes of such Letter of Credit. “IVP Supplemental Cap” has the meaning assigned to such term in Section 5.12(b)(ii)(F). “Japanese Yen” means the lawful currency of Japan. “Joint Venture Investment” means, with respect to any Obligor, any Investment by such Obligor in a joint venture or other investment vehicle in the form of a capital investment, loan or other commitment in or to such joint venture or other investment vehicle pursuant to which such Obligor may be required to provide contributions, investments, or financing to such joint venture or other investment vehicle and which Investment the Borrower has designated as a “Joint Venture Investment”. “LC Disbursement” means a payment made by any Issuing Bank pursuant to a Letter of Credit. “LC Exposure” means, at any time, the sum of the Dollar LC Exposure and the Multicurrency LC Exposure. “Lead Arranger” means SMBC. “Lenders” means, collectively, the Term Loan Lenders, the Dollar Revolving Lenders, the Multicurrency Revolving Lenders and each Swingline Lender, or any of them, as the context may require. “Lender NDA” has the meaning assigned to such term in Section 9.04(b)(i). “Letter of Credit” means any letter of credit issued pursuant to this Agreement. “Letter of Credit Collateral Account” has the meaning assigned to such term in Section 2.05(k). “Letter of Credit Documents” means, with respect to any Letter of Credit, collectively, any application therefor and any other agreements, instruments, guarantees or other documents (whether general in application or applicable only to such Letter of Credit) governing 37 Revolving Credit and Term Loan Agreement


 
or providing for (a) the rights and obligations of the parties concerned or at risk with respect to such Letter of Credit or (b) any collateral security for any of such obligations, each as the same may be modified and supplemented and in effect from time to time. “Lien” means, with respect to any asset, (a) any mortgage, deed of trust, lien, pledge, hypothecation, encumbrance (other than any contractual limitation set forth in any agreement that does not constitute a security interest and is not prohibited from being entered into hereunder), charge or security interest in, on or of such asset, (b) the interest of a vendor or a lessor under any conditional sale agreement, capital lease or title retention agreement (or any financing lease having substantially the same economic effect as any of the foregoing) relating to such asset and (c) in the case of securities, any purchase option, call or similar right of a third party with respect to such securities (other than on market terms at fair value so long as in the case of any portfolio investment (including Portfolio Investments), the Value used in determining the Borrowing Base is not greater than the call price), except in favor of the issuer thereof (and, for the avoidance of doubt, in the case of Investments that are loans or other debt obligations, restrictions on assignments or transfers, buyout rights, voting rights, right of first offer or refusal thereof pursuant to the underlying documentation of such Investment shall not be deemed to be a “Lien” and, in the case of portfolio investments (including Portfolio Investments) that are equity securities, excluding customary drag along, tag along, buyout rights, voting rights, right of first offer or refusal, restrictions on assignments or transfers and other similar rights in favor of other equity holders of the same issuer). “Loan Documents” means, collectively, this Agreement, the Letter of Credit Documents and, the Security Documents., any fee letters (including, without limitation, the Initial Fee Letter and the Second Amendment Fee Letter), any other document which by its terms is identified therein as a “Loan Document” and any amendments, supplements or other modifications to any of the foregoing. “Loans” means the loans made by the Lenders to the Borrower pursuant to this Agreement. “Losses” has the meaning assigned to such term in Section 9.03(b). “Margin Stock” means “margin stock” within the meaning of Regulations T, U and X. “Material Adverse Effect” means a material adverse effect on (a) the business, Investments and other assets, liabilities and financial condition of the Borrower and its Subsidiaries (other than Financing Subsidiaries) taken as a whole (excluding in any case a decline in the net asset value of the Borrower or its Subsidiaries, or a change in general market conditions or values of Investments, including the Portfolio Investments), or (b) the validity or enforceability of any of the Loan Documents or the rights or remedies of the Collateral Agent, the Administrative Agent or the Lenders thereunder. “Material Indebtedness” means (a) Indebtedness (other than the Loans, Letters of Credit, the Existing Subscription Facility and Hedging and Swap Agreements and Designated Swaps), of any one or more of the Borrower and its Subsidiaries in an aggregate principal 38 Revolving Credit and Term Loan Agreement


 
amount exceeding $50,000,000 and (b) obligations in respect of one or more HedgingSwap Agreements or Designated Swaps under which the maximum aggregate amount (giving effect to any netting agreements) that the Borrower and its Subsidiaries would be required to pay if such Hedging Agreement(s) or such Designated Swap(s) were terminated at such timeSwap Termination Value would exceed $50,000,000. “Minimum Collateral Amount” means, at any time, with respect to Cash Collateral consisting of Cash or deposit account balances, an amount equal to 100% of the Fronting Exposure of each Issuing Bank with respect to Letters of Credit issued and outstanding at such time. “Modification Offer” means, to the extent required by the definition of Permitted Advisor Loan, Secured Longer-Term Indebtedness, Special Unsecured Indebtedness or Unsecured Longer-Term Indebtedness, an obligation of the applicable Obligor that will be satisfied if at least ten (10) Business Days (or, such shorter period if ten (10) Business Days is not practicable) prior to the incurrence of such Permitted Advisor Loan, Secured Longer-Term Indebtedness, Special Unsecured Indebtedness or Unsecured Longer-Term Indebtedness, the Borrower shall have provided notice to the Administrative Agent of the terms thereof that do not satisfy the requirements for such type of Indebtedness set forth in the respective definitions herein, which notice shall contain reasonable detail of the terms thereof and an unconditional offer by the Borrower to amend this Agreement to the extent necessary to satisfy the requirements in the definition of “Permitted Advisor Loan”, “Secured Longer-Term Indebtedness”, “Special Unsecured Indebtedness”, or “Unsecured Longer-Term Indebtedness”, as applicable. If any such Modification Offer is accepted by the Required Lenders within ten (10) Business Days of receipt of such offer, this Agreement shall be deemed automatically amended (and, upon the request of the Administrative Agent or the Required Lenders, the Borrower shall promptly enter into a written amendment evidencing such amendment), mutatis mutandis, solely to reflect all or some of such more restrictive financial covenants or events of default, as elected by the Required Lenders. Notwithstanding the foregoing any provision in a Modification Offer (including any associated cure or grace period) incorporated into this Agreement pursuant to the definition of “Permitted Advisor Loan”, “Secured Longer-Term Indebtedness”, “Special Unsecured Indebtedness”, or “Unsecured Longer-Term Indebtedness”, as applicable, shall be deleted from this Agreement pursuant to an amendment entered into by the Administrative Agent and the Borrower following such time as the terms of such other Indebtedness are permanently amended so that such provision no longer applies or the applicable Permitted Advisor Loan, Secured Longer-Term Indebtedness, Special Unsecured Indebtedness or Unsecured Longer-Term Indebtedness is terminated or otherwise no longer in effect if (x) the Borrower provides the Administrative Agent and each Lender with written notice of such permanent amendment or termination and (y) within ten (10) Business Days of the Administrative Agent and the Lenders receiving such written notice from the Borrower, the Required Lenders have not provided written notice to the Borrower and the Administrative Agent objecting to the removal of such provision from this Agreement. Any amendment entered into between the Administrative Agent and the Borrower pursuant to this definition shall be at the Borrower’s sole cost and expense. 39 Revolving Credit and Term Loan Agreement


 
“Monthly Dates” means the last Business Day of each calendar month in each year, commencing on June 30, 2023. “Moody’s” means Moody’s Investors Service, Inc. or any successor thereto. “Multicurrency Revolving Credit Commitment” means, with respect to each Multicurrency Revolving Lender, the commitment of such Multicurrency Revolving Lender to make Revolving Loans, and to acquire participations in Letters of Credit, denominated in Dollars and in Agreed Foreign Currencies hereunder, expressed as an amount representing the maximum aggregate amount of such Lender’s Revolving Multicurrency Credit Exposure hereunder, as such commitment may be (a) reduced or increased from time to time pursuant to Section 2.08 and (b) reduced or increased from time to time pursuant to assignments by or to such Lender pursuant to Section 9.04. The amount of each Lender’s Multicurrency Revolving Credit Commitment is set forth on Schedule 1.01(b), or in the Assignment and Assumption pursuant to which such Lender shall have assumed its Multicurrency Revolving Credit Commitment, as applicable. The aggregate amount of the Lenders’ Multicurrency Revolving Credit Commitments as of the Amendment No. 2 Effective Date is $160,000,000.00260,000,000.00. “Multicurrency LC Exposure” means, at any time, the sum of (a) the aggregate undrawn amount of all outstanding Multicurrency Letters of Credit at such time plus (b) the aggregate amount of all LC Disbursements in respect of such Letters of Credit that have not yet been reimbursed by or on behalf of the Borrower at such time. The Multicurrency LC Exposure of any Lender at any time shall be its Applicable Multicurrency Revolving Percentage of the total Multicurrency LC Exposure at such time. For purposes of computing the amount available to be drawn under any Multicurrency Letter of Credit, the amount of such Multicurrency Letter of Credit shall be determined in accordance with Section 1.05. For all purposes of this Agreement, if on any date of determination a Multicurrency Letter of Credit has expired by its terms but any amount may still be drawn thereunder by reason of the operation of Rule 3.14 of the International Standby Practices, such Multicurrency Letter of Credit shall be deemed to be “outstanding” in the amount so remaining available to be drawn. “Multicurrency Revolving Lender” means the Persons listed on Schedule 1.01(b) as having Multicurrency Revolving Credit Commitments and any other Person that shall have become a party hereto pursuant to an Assignment and Assumption that provides for it to assume a Multicurrency Revolving Credit Commitment or to acquire Revolving Multicurrency Credit Exposure, other than any such Person that ceases to be a party hereto pursuant to an Assignment and Assumption. “Multicurrency Letters of Credit” means Letters of Credit that utilize the Multicurrency Revolving Credit Commitments. “Multicurrency Revolving Loan” means a Loan denominated in Dollars or an Agreed Foreign Currency under the Multicurrency Revolving Credit Commitments. 40 Revolving Credit and Term Loan Agreement


 
“Multiemployer Plan” means a multiemployer plan as defined in Section 4001(a)(3) of ERISA which the Borrower or any ERISA Affiliate has or within the preceding six years had any obligation to make any contributions. “National Currency” means the currency, other than the Euro, of a Participating Member State. “Net Cash Proceeds” means: (a) with respect to any Disposition by the Borrower or any Subsidiary Guarantor, or any Extraordinary Receipt received or paid to the account of the Borrower or any Subsidiary Guarantor (in each case, which requires a payment of the Loans under Section 2.10(d)), an amount equal to (a) the sum of cash and Cash Equivalents received in connection with such transaction (including any cash or Cash Equivalents received by way of deferred payment pursuant to, or by monetization of, a note receivable or otherwise, but only as and when so received) minus (b) the sum of (i) the principal amount of any Indebtedness that is secured by the applicable asset and that is required to be repaid in connection with such transaction (other than Indebtedness under the Loan Documents), (ii) the reasonable out-of-pocket fees, costs and expenses incurred by the Borrower or such Subsidiary in connection with such transaction, (iii) the taxes paid or reasonably estimated to be actually payable within two years of the date of the relevant transaction in connection with such transaction; provided that, if the amount of any estimated taxes pursuant to this clause (iii) exceeds the amount of taxes actually required to be paid in cash in respect of such Disposition, the aggregate amount of such excess shall constitute Net Cash Proceeds (as of the date the Borrower determines such excess exists), (iv) any reasonable costs, fees, commissions, premiums and expenses incurred by the Borrower or any of its Subsidiaries in connection with such Disposition and (v) reserves for indemnification, purchase price adjustments or analogous arrangements either (x) required by underlying documentation for such Disposition or (y) reasonably estimated by the Borrower or the relevant Subsidiary in connection with such Disposition; provided that, if the amount of any estimated reserves pursuant to this clause (v) exceeds the amount actually required to be paid in cash in respect of indemnification, purchase price adjustments or analogous arrangements for such Disposition, the aggregate amount of such excess shall constitute Net Cash Proceeds (as of the date the Borrower determines such excess exists); and (b) with respect to the sale or issuance of any Equity Interest by the Borrower or any Subsidiary Guarantor (including cash received by the Borrower or any Subsidiary Guarantor for the sale by the Borrower or such Subsidiary Guarantor of any Equity Interest of a Financing Subsidiary but specifically excluding any sale of any Equity Interest by a Financing Subsidiary or cash received by a Financing Subsidiary in connection with the sale of any Equity Interest), or the incurrence or issuance of any Indebtedness by the Borrower or any Subsidiary Guarantor (in each case, which requires a payment of the Loans under Section 2.10(d)), an amount equal to (i) the sum of the cash and Cash Equivalents received in connection with such transaction minus (ii) the sum of (1) reasonable out-of-pocket fees, costs and expenses, incurred by the Borrower or such Subsidiary in connection therewith plus (2) any reasonable costs, fees, commissions, premiums, expenses, or underwriting discounts or commissions incurred by the Borrower or any of its Subsidiaries in connection with such sale or issuance. 41 Revolving Credit and Term Loan Agreement


 
“Non-Consenting Lender” has the meaning assigned to such term in Section 9.02(d). “Non-Defaulting Lender” means, at any time, a Lender that is not a Defaulting Lender at such time. “Non-Performing Joint Venture Investment” means a Joint Venture Investment that is not a Performing Joint Venture Investment. “Non-Public Information” means material non-public information (within the meaning of United States federal, state or other applicable securities laws) with respect to Borrower or its Affiliates or their Securities. “Nuveen Administration Agreement” means that certain Administration Agreement, dated December 31, 2019, by and between Nuveen Churchill Administration LLC and the Borrower. “Nuveen Expense Support and Conditional Reimbursement Agreement” means that certain Expense Support and Conditional Reimbursement Agreement, dated December 31, 2019, by and between Nuveen Churchill Advisors LLC and the Borrower. “Nuveen Investment Advisory Agreement” means that certain Investment Advisory Agreement, dated December 31, 2019, by and between Nuveen Churchill Advisors LLC and the Borrower. “Nuveen Investment Sub-Advisory Agreement” means that certain Third Amended and Restated Investment Sub-Advisory Agreement, dated March 8, 2022, by and between Nuveen Churchill Advisors LLC and Churchill Asset Management LLC. “ObligorObligors” means, collectively, the Borrower and the Subsidiary Guarantors. “Original Currency” has the meaning assigned to such term in Section 2.17(a). “Other Connection Taxes” means with respect to the Administrative Agent, any Lender or any Issuing Bank, Taxes imposed by any jurisdiction by reason of the recipient having any present or former connection with such jurisdiction (other than a connection arising solely from entering into, receiving any payment under or enforcing its rights under this Agreement or any other Loan Document or selling or assigning an interest in any Loan or Loan Document). “Other Covered Indebtedness” means, collectively, Secured Longer-Term Indebtedness, Secured Shorter-term Indebtedness (to the extent not otherwise included in the Covered Debt Amount) and Unsecured Shorter-Term Indebtedness; provided that “Other Covered Indebtedness” shall not include any Indebtedness secured by a Lien on Portfolio Investments securing other indebtedness in accordance with the Loan Documents. “Other Permitted Indebtedness” means (a) accrued expenses and current trade accounts payable incurred in the ordinary course of any Obligor’s business which are not 42 Revolving Credit and Term Loan Agreement


 
overdue for a period of more than ninety (90) days or which are being contested in good faith by appropriate proceedings, (b) Indebtedness (excluding Indebtedness for borrowed money) arising in connection with transactions in the ordinary course of any Obligor’s business in connection with its purchasing of securities, loans, derivatives transactions, reverse repurchase agreements or dollar rolls to the extent such transactions are permitted under the Investment Company Act and the Borrower’s Investment Policies (after giving effect to any Permitted Policy Amendments), provided that such Indebtedness does not arise in connection with the purchase of Investments other than Cash, Cash Equivalents and U.S. Government Securities; (c) Indebtedness in respect of judgments or awards so long as such judgments or awards do not constitute an Event of Default under clause (l) of Article VII, (d) Indebtedness which may be deemed to exist pursuant to any performance bonds, surety bonds, statutory bonds, appeal bonds or similar obligations incurred in the ordinary course of business which are not overdue for a period of more than ninety (90) days, (e) Indebtedness in respect of taxes, assessments or governmental charges to the extent that payment thereof shall not at the time be required to be made hereunder, or (f) Indebtedness of the Borrower or any other Obligor to any SPE Subsidiary entered into not in violation of the Agreement and to the extent a court determines a transfer of assets (including participations) from such Obligor to such SPE Subsidiary did not constitute a true sale, provided that the holders of such Indebtedness have recourse only to the assets purported to be transferred (or in the case of participations, the portfolio investments that such participation interest relates to) to such SPE Subsidiary or counterparty, as applicable, and to no other assets of the Obligors in connection with such Indebtedness. “Other Taxes” means any and all present or future stamp or documentary taxes or any other excise or property taxes, charges or similar levies in the nature of a tax arising from any payment made under any Loan Document or from the execution, delivery or enforcement of, or otherwise with respect to, any Loan Document, excluding any such Taxes that are Other Connection Taxes resulting from an assignment by any Lender in accordance with Section 9.04 hereof (unless such assignment is made pursuant to Section 2.18(b)). “Outstanding Amount” means, with respect to Term Loans on any date, the aggregate outstanding principal amount thereof after giving effect to any borrowings and prepayments or repayments of Term Loans occurring on such date. “Participant” has the meaning assigned to such term in Section 9.04(f). “Participant Register” has the meaning assigned to such term in Section 9.04(f). “Participating Member State” means any member state of the European Community that adopts or has adopted the Euro as its lawful currency in accordance with the legislation of the European Union relating to the European Monetary Union. “PATRIOT Act” shall mean United States Public Law 107-56, Uniting and Strengthening America by Providing Appropriate Tools Required to Intercept and Obstruct Terrorism (USA PATRIOT Act) Act of 2001, as amended from time to time, and the rules and regulations promulgated thereunder from time to time in effect. “Payment Recipient” has the meaning assigned to it in Section 8.09(a). 43 Revolving Credit and Term Loan Agreement


 
“PBGC” means the Pension Benefit Guaranty Corporation referred to and defined in ERISA and any successor entity performing similar functions. “Periodic Term CORRA Determination Day” has the meaning specified in the definition of “Term CORRA”. “Periodic Term SOFR Determination Day” has the meaning set forth in the definition of “Term SOFR”. “Permitted Advisor Loan” means any of the following: (x) any Indebtedness of any Obligor under the Expense Support Agreement dated December 31, 2019 between the Borrower and Nuveen Churchill Advisors LLC with respect to the expense support provided by Nuveen Churchill Advisors LLC and the conditional reimbursement payable by the Borrower to Nuveen Churchill Advisors LLC; and (y) any Indebtedness for borrowed money of any Obligor that (a) is owed (i) to any of the External Managers or (ii) any Affiliate thereof, that, in the cause of this clause (ii), has been approved by the Administrative Agent, (b) has no mandatory amortization prior to, and a final maturity date not earlier than, six months after the Final Maturity Date (it being understood that any customary voluntary prepayment provisions permitted by the terms thereof shall not constitute “amortization” for purposes of this definition), (c) is permitted by the Investment Company Act, (d) is not secured by any property or assets (whether of any Obligor or any other Person), (e) is on terms and conditions not materially less favorable to such Obligor than could be obtained on an arm’s-length basis from unrelated third parties and (f) is on terms and conditions that are not materially more restrictive upon such Obligor, while any Commitments or Loans are outstanding hereunder, than those set forth in this Agreement with respect to such Obligor; provided that, such Obligor may incur any Permitted Advisor Loan that otherwise would not meet the requirements set forth in this clause (f) if it has duly made a Modification Offer (whether or not it is accepted by the Required Lenders) and (g) the Borrower has elected to treat as a Permitted Advisor Loan by giving written notice of such election to the Administrative Agent. “Permitted CLO Issuer” means any issuer of CLO Securities (or such entity’s parent, general partner or other managing entity) that is an Affiliate of the Borrower and has acquired any Investments from an Obligor; provided that: (i) (i) no portion of the Indebtedness or any other obligations (contingent or otherwise) of such issuer (i) is Guaranteed by any Obligor (other than Guarantees in respect of Standard Securitization Undertakings), (ii) is recourse to or obligates any Obligor in any way other than pursuant to Standard Securitization Undertakings or (iii) subjects any property of any Obligor (other than property that has been contributed or sold, purported to be sold or otherwise transferred to such Subsidiary), directly or indirectly, contingently or otherwise, to the satisfaction thereof, other than pursuant to Standard Securitization Undertakings or any Guarantee thereof, (ii) (ii) no Obligor has any material contract, agreement, arrangement or understanding with such issuer (excluding collateral management or 44 Revolving Credit and Term Loan Agreement


 
collateral servicing agreements, customary sale and contribution agreements and master participation agreements) other than on terms, taken as a whole, not materially less favorable to such Obligor than those that might be obtained at the time from Persons that are not Affiliates of any Obligor, other than fees payable in the ordinary course of business in connection with servicing receivables or financial assets and pursuant to Standard Securitization Undertakings, and (iii) (iii) to which no Obligor has any obligation to maintain or preserve such issuer’s financial condition or cause such entity to achieve certain levels of operating results (subject to Standard Securitization Undertakings). “Permitted Convertible Indebtedness” means Indebtedness incurred by an Obligor that is convertible solely into Permitted Equity Interests of the Borrower. “Permitted Equity Interests” means common stock of the Borrower that after its issuance is not subject to any agreement between the holder of such common stock and the Borrower where the Borrower is required to purchase, redeem, retire, acquire, cancel or terminate any such common stock. “Permitted Liens” means (a) Liens imposed by any Governmental Authority for Taxes, assessments or charges not yet due or that are being contested in good faith and by appropriate proceedings if adequate reserves with respect thereto are maintained on the books of the Borrower or the applicable Obligor in accordance with GAAP or Liens securing Indebtedness under clause (e) of the definition of “Other Permitted Indebtedness; (b) Liens of clearing agencies, broker-dealers and similar Liens incurred in the ordinary course of business; provided that such Liens (i) attach only to the securities (or proceeds) being purported to be purchased or sold and (ii) secure only obligations incurred in connection with such purchase or sale, and not any obligation in connection with margin financing; (c) Liens imposed by law, such as materialmen’s, mechanics’, carriers’, workmens’, landlord, storage and repairmen’s Liens and other similar Liens arising in the ordinary course of business and securing obligations (other than Indebtedness for borrowed money) not yet due or that are being contested in good faith and by appropriate proceedings if adequate reserves with respect thereto are maintained on the books of the Borrower in accordance with GAAP; (d) Liens incurred or pledges or deposits made to secure obligations incurred in the ordinary course of business under workers’ compensation laws, unemployment insurance or other similar social security legislation (other than Liens imposed by the PBGC in respect of employee benefit plans subject to Title IV of ERISA) or to secure public or statutory obligations; (e) Liens securing the performance of, or payment in respect of, bids, insurance premiums, deductibles or co-insured amounts, tenders, government or utility contracts (other than for the repayment of borrowed money), surety, stay, customs and appeal bonds and other obligations of a similar nature incurred in the ordinary course of business; (f) Liens arising out of judgments or awards, so long as such judgments or awards do not constitute an Event of Default under clause (l) of Article VII; (g) customary rights of setoff, banker’s lien, security interest or other like right upon (i) deposits of cash in favor of banks or other depository institutions in which such cash is maintained in the ordinary course of business, (ii) cash, securities entitlements and financial assets held in securities accounts in favor of banks and other financial institutions with which such accounts are maintained in the ordinary course of business and (iii) assets held by a custodian in favor of such custodian in the ordinary course 45 Revolving Credit and Term Loan Agreement


 
of business securing payment of fees, indemnities, charges for returning items and other similar obligations; (h) Liens arising solely from precautionary filings of financing statements under the Uniform Commercial Code of the applicable jurisdictions in respect of operating leases entered into by the Borrower or any of its Subsidiaries in the ordinary course of business or in respect of assets purported to be sold or otherwise contributed or disposed of to any Person in a transaction not prohibited by this Agreement; (i) deposits of money securing leases to which the Borrower is a party as lessee made in the ordinary course of business; (j) easements, rights of way, zoning restrictions and similar encumbrances on real property and minor irregularities in the title thereto that do not interfere with or affect in any material respect the ordinary course conduct of the business of the Borrower or any of its Subsidiaries; (k) Liens in favor of any escrow agent solely on and in respect of any cash earnest money deposits made by any Obligor in connection with any letter of intent or purchase agreement (to the extent that the acquisition or disposition with respect thereto is otherwise not prohibited hereunder); (l) any restrictions on the sale or disposition of assets arising from a loan sale agreement between or among one or more Obligors with one or more Financing Subsidiaries or Permitted CLO Issuers (including a loan sale agreement between or among one or more Obligors with one or more Excluded Assets or with respect to any asset subject to a Back-to-Back Transaction; provided such restrictions with respect to this clause (l) do not adversely affect the enforceability of the Collateral Agent’s first-priority security interest on any Collateral); (m) Liens on equity interests of an SPE Subsidiary pledged to the holder (or an agent of the holders) of the Indebtedness of such SPE Subsidiary; and (n) Liens encumbering reasonable and customary initial deposits and margin deposits and similar Liens attaching to brokerage accounts incurred and not as a means to speculate; and (o) Liens securing the Borrower’s obligation under the Existing Subscription Facility. “Permitted Policy Amendment” means any change, alteration, expansion, amendment, modification, termination, restatement or replacement of the Investment Policies that is one of the following: (a) approved in writing by the Administrative Agent (with the consent of the Required Lenders), (b) required by applicable law, rule, regulation or Governmental Authority, or (c) not materially adverse to the rights, remedies or interests of the Lenders in the reasonable discretion of the Administrative Agent (for the avoidance of doubt, no change, alteration, expansion, amendment, modification, termination or restatement of the Investment Policies shall be deemed “materially adverse” if investment size proportionately increases as the size of the Borrower’s capital base changes). “Permitted SBIC Guarantee” means a guarantee by one or more Obligors of Indebtedness of an SBIC Subsidiary on the SBA’s then applicable form (or the applicable form at the time such guarantee was entered into). “Person” means any natural person, corporation, limited liability company, trust, joint venture, association, company, partnership, Governmental Authority or other entity. “Plan” means any employee pension benefit plan (other than a Multiemployer Plan) subject to the provisions of Title IV of ERISA or Section 412 of the Code or Section 302 of ERISA, and in respect of which the Borrower or any ERISA Affiliate is (or, if such plan were 46 Revolving Credit and Term Loan Agreement


 
terminated, would under Section 4069 of ERISA be deemed to be) an “employer” as defined in Section 3(5) of ERISA. “Platform” has the meaning set forth in Section 5.01(i). “Portfolio Investment” means any Investment (including a participation interest) held by the Obligors in their asset portfolio (and solely for purposes of determining the Borrowing Base, Cash and Cash Equivalents). Without limiting the generality of the foregoing, the following Investments shall not be considered Portfolio Investments under this Agreement or any other Loan Document for purposes of determining the Borrowing Base: (a) any Investment that has not been originated in compliance in all material respects with the Investment Policy as in effect as of the date of its purchase; (b) any Investment by an Obligor in any Subsidiary, Affiliate or joint venture of such Obligor (including, for the avoidance of doubt, any Joint Venture Investment or any Investment by an Obligor in an entity constituting a portfolio investment of such Obligor or an Affiliate of such Obligor); (c) any Investment that provides in favor of the underlying obligor in respect of such Portfolio Investment an express right of rescission, set-off, counterclaim or any other defenses; (d) any Investment, which if debt, is an obligation (other than the unused portion of a revolving loan or delayed draw term loan) pursuant to which any future advances or payments to the underlying obligor of such debt may be required to be made by the applicable Obligor; (e) any Investment which is made to a bankrupt entity (other than a debtor-in-possession financing and current pay obligations); (f) any Investment, Cash, Cash Equivalent or account in which a Financing Subsidiary has an interest; (g) any Investment that is not owned by an Obligor free and clear of any Liens (except for Permitted Liens); or (h) any Investment that is an Excluded Asset or any Investment in an Excluded Asset. “Prime Rate” means the rate which is quoted as the “prime rate” in the print edition of The Wall Street Journal, Money Rates Section. “Principal Financial Center” means, in the case of any Foreign Currency, the principal financial center where such Currency is cleared and settled, as determined by the Administrative Agent. “PTE” means a prohibited transaction class exemption issued by the U.S. Department of Labor, as any such exemption may be amended from time to time. “Public Lender” means Lenders that do not wish to receive Non-Public Information with respect to the Borrower or any of its Subsidiaries or their Securities. “QFC” has the meaning assigned to such term in Section 9.18(b). “QFC Credit Support” has the meaning assigned to such term in Section 9.18. “Quarterly Dates” means the last Business Day of March, June, September and December in each year, commencing on March 31, 2023. “Quoted Investments” has the meaning set forth in Section 5.12(b)(ii)(A). 47 Revolving Credit and Term Loan Agreement


 
“Register” has the meaning set forth in Section 9.04(c). “Regulations D, T, U and X” means, respectively, Regulation D, Regulation T, Regulation U and Regulation X of the Board, as the same may be modified and supplemented and in effect from time to time. “Related Parties” means, with respect to any specified Person, such Person’s Affiliates and the respective partners, directors, officers, managers, employees, agents, advisers and other representatives of such Person and such Person’s Affiliates. “Relevant Asset Coverage Ratio” means, as of any date, the Consolidated Asset Coverage Ratio as of the most recent Quarterly Date. “Relevant Governmental Body” means (a) with respect to a Benchmark Replacement in respect of obligations, interest, fees, commissions or other amounts owing hereunder denominated in, or calculated with respect to, Dollars, the Board and/or the Federal Reserve Bank of New York, or a committee officially endorsed or convened by the Board and/or the Federal Reserve Bank of New York or any successor thereto, (b) with respect to a Benchmark Replacement in respect of obligations, interest, fees, commissions or other amounts denominated in, or calculated with respect to, Canadian Dollars, the Bank of Canada, or a committee officially endorsed or convened by the Bank of Canada or, in each case, any successor thereto, (c) with respect to a Benchmark Replacement in respect of obligations, interest, fees, commissions or other amounts denominated in, or calculated with respect to, Sterling, the Bank of England, or a committee officially endorsed or convened by the Bank of England or, in each case, any successor thereto, (d) with respect to a Benchmark Replacement in respect of obligations, interest, fees, commissions or other amounts owing hereunder denominated in, or calculated with respect to, Euros, the European Central Bank, or a committee officially endorsed or convened by the European Central Bank or, in each case, any successor thereto and (d) with respect to a Benchmark Replacement in respect of obligations, interest, fees, commissions or other amounts denominated in, or calculated with respect to, any Currency other than Dollars, Canadian Dollars, Sterling or Euros, (1) the central bank for the Currency in which such obligations, interest, fees, commissions or other amounts are denominated, or calculated with respect to, or any central bank or other supervisor which is responsible for supervising either (A) such Benchmark Replacement or (B) the administrator of such Benchmark Replacement or (2) any working group or committee officially endorsed or convened by (A) the central bank for the Currency in which such obligations, interest, fees, commissions or other amounts are denominated, or calculated with respect to, (B) any central bank or other supervisor that is responsible for supervising either (i) such Benchmark Replacement or (ii) the administrator of such Benchmark Replacement, (C) a group of those central banks or other supervisors or (D) the Financial Stability Board or any part thereof. “Requested Swingline Lender” has the meaning assigned to such term in Section 2.04(b). “Required Lenders” means, at any time, Lenders having RevolvingTotal Credit Exposures and unused Commitments representing more than 50% of the sum of the total RevolvingTotal Credit Exposures and unused Commitmentsof all Lenders at such time. The 48 Revolving Credit and Term Loan Agreement


 
Required Lenders of a Class of Revolving Loans (which shall include the terms “Required Dollar Revolving Lenders” and “Required Multicurrency Revolving Lenders”) means, at such time, Revolving Lenders having RevolvingTotal Credit Exposures and unused Commitments of such Class of Revolving Loans representing more than 50% of the sum of the total RevolvingTotal Credit Exposures and unused Commitments of such Class of Revolving Loans at such time. Notwithstanding the foregoing, the RevolvingTotal Credit ExposureExposures and unused Commitments of any Defaulting Lender shall be disregarded in the determination of Required Lenders or Required Lenders of a Class of Revolving Loans. “Required Revolving Lenders” means, at any time, Revolving Lenders having Revolving Credit Exposures and unused Revolving Credit Commitments representing more than 50% of the Revolving Credit Exposures and unused Revolving Credit Commitments of all Revolving Lenders at such time. Notwithstanding the foregoing, the Revolving Credit Exposures and unused Revolving Credit Commitments of any Defaulting Lender shall be disregarded in the determination of Required Revolving Lenders. “Required Term Loan Lenders” means, at any time, Term Loan Lenders under any Term Loan Facility having Term Loans representing more than 50% of the aggregated unused Term Loan Commitments and aggregated Outstanding Amount of Term Loans of all Term Loan Lenders under such Term Loan Facility at such time. Notwithstanding the foregoing, the Term Loan Commitment and the Outstanding Amount of Term Loans of any Defaulting Lender shall be disregarded in the determination of Required Term Loan Lenders. “Resolution Authority” means an EEA Resolution Authority or, with respect to any UK Financial Institution, a UK Resolution Authority. “Responsible Officer” means the chief executive officer, president, chief financial officer, treasurer, assistant treasurer or controller of an Obligor. “Restricted Payment” means any dividend or other distribution (whether in cash, securities or other property) with respect to any shares of any class of capital stock of the Borrower or any of its Subsidiaries, or any payment (whether in cash, securities or other property), including any sinking fund or similar deposit, on account of the purchase, redemption, retirement, acquisition, cancellation or termination of any such shares of capital stock of the Borrower or any option, warrant or other right to acquire any such shares of capital stock of the Borrower, provided, for the avoidance of doubt, neither the conversion or settlement of convertible debt into capital stock nor the purchase, redemption, retirement, acquisition, cancellation or termination of convertible debt made solely with capital stock (other than interest or expenses or fractional shares, which may be payable in cash) shall be a Restricted Payment hereunder. “Return of Capital” means (a) any net cash amount received by any Obligor in respect of the outstanding principal of any Portfolio Investment (whether at stated maturity, by acceleration or otherwise), but not including any prepayment of a revolver that does not permanently reduce the related commitments, (b) without duplication of amounts received under 49 Revolving Credit and Term Loan Agreement


 
clause (a), any net cash proceeds received by any Obligor from the sale of any property or assets pledged as collateral in respect of any Portfolio Investment to the extent such net cash proceeds are less than or equal to the outstanding principal balance of such Portfolio Investment, (c) any net cash amount received by any Obligor in respect of any Portfolio Investment that is an Equity Interest (x) upon the liquidation or dissolution of the issuer of such Portfolio Investment, (y) as a distribution of capital made on or in respect of such Portfolio Investment, or (z) pursuant to the recapitalization or reclassification of the capital of the issuer of such Portfolio Investment or pursuant to the reorganization of such issuer or (d) any similar return of capital received by any Obligor in cash in respect of any Portfolio Investment; provided that, in the case of clauses (a), (b), (c) and (d) of this definition, net of any fees, costs, commissions, premiums, expenses and taxes payable or reasonably estimated to be payable with respect thereto (including reasonable legal fees and expenses). “Revolving Availability Period” means the period from and including the Effective Date to but excluding the earlier of the Revolving Commitment Termination Date and the date of termination of the Revolving Credit Commitments. “Revolving Borrowing” means a borrowing consisting of simultaneous Revolving Loans of the same Type, Class and Currency and, in the case of Term Benchmark Loans, having the same Interest Period made by the Revolving Lenders. “Revolving Commitment Termination Date” means October 4, 2028. “Revolving Credit Commitment” means, collectively, the Dollar Revolving Credit Commitments and the Multicurrency Revolving Credit Commitments. “Revolving Credit Commitment Increase” has the meaning assigned to such term in Section 2.08(e). “Revolving Credit Commitment Increase Date” has the meaning assigned to such term in Section 2.08(e)(i). “Revolving Credit Exposure” means, with respect to any Lender at any time, the sum of the outstanding principal amount of such Lender’s Revolving Dollar Credit Exposure and Revolving Multicurrency Credit Exposure at such time. “Revolving Dollar Credit Exposure” means, with respect to any Lender at any time, the sum of such Lender’s Dollar LC Exposure, such Lender’s Swingline Exposure in Dollars and the outstanding principal amount of such Lender’s Revolving Loans, its LC Exposure and its Swingline Exposure at such time made or incurred under the Dollar Revolving Credit Commitments. “Revolving Facility” means the Revolving Credit Commitments and all Borrowings and issuances, renewals, extension of the expiry date of or the reinstatement or increase of the amount of any Letters of Credit thereunder. 50 Revolving Credit and Term Loan Agreement


 
“Revolving Lenders” means, collectively, the Dollar Revolving Lenders and the Multicurrency Revolving Lenders. “Revolving Loan” means a loan made by a Revolving Lender to the Borrower pursuant to Section 2.01(a) or (b). “Revolving Multicurrency Credit Exposure” means, with respect to any Lender at any time, the sum of such Lender’s Multicurrency LC Exposure, such Lender’s Swingline Exposure in Agreed Foreign Currencies and the outstanding principal amount of such Lender’s Revolving Loans, its LC Exposure and Swingline Exposure at such time made or incurred under the Multicurrency Revolving Credit Commitments. “Revolving Percentage” means, as of any date of determination, the result, expressed as a percentage, of the Revolving Credit Exposure on such date divided by the aggregate outstanding Covered Debt Amount on such date. “RFR”, when used in reference to any Loan or Borrowing, refers to whether such Loan is, or the Loans constituting such Borrowing are, bearing interest at a rate determined by reference to Daily Simple RFR. “RFR Applicable Credit Adjustment Spread” means (a) for Interest Periods of one month: 0.0326%, and (b) for Interest Periods of three months: 0.1193%. “RFR Business Day” means, for any Loans, Borrowings, interest, fees, commissions or other amounts denominated in, or calculated with respect to, Sterling, any day except for (i) a Saturday, (ii) a Sunday or (iii) a day on which banks are closed for general business in London. “RFR Interest Day” has the meaning set forth in the definition of “Daily Simple RFR”. “RFR Reference Day” has the meaning set forth in the definition of “Daily Simple RFR”. “RIC” means a person qualifying for treatment as a “regulated investment company” under the Code. “S&P” means S&P Global Ratings or any successor thereto. “Sanctioned Country” means, at any time, a country, territory or region that is the subject or the target of country-wide or territory-wide comprehensive Sanctions broadly prohibiting dealings with such country, territory or region (as of the Effective Date, Cuba, Iran, North Korea, Syria, the Crimea Region of Ukraine, the so-called Donetsk People’s Republic, the so-called Luhansk People’s Republic and non-government-controlled areas of the Zaporizhzhia and Kherson Regions of Ukraine). “Sanctioned Person” means, at any time, (a) any Person listed in any Sanctions-related list of designated Persons maintained by the Office of Foreign Assets Control 51 Revolving Credit and Term Loan Agreement


 
of the U.S. Department of the Treasury or the U.S. Department of State or by the United Nations Security Council, the European Union or any European Union member state or subject to or the subject or target of Sanctions, (b) any Person located, organized or resident in a Sanctioned Country or (c) any Person owned or controlled by any such Person or Persons described in the foregoing clause (a) or (b). For purposes of this definition, “Person” shall include a vessel. “Sanctions” means all economic or financial sanctions or trade embargoes imposed, administered or enforced from time to time by the United States of America (including the Office of Foreign Assets Control of the U.S. Department of the Treasury and the U.S. Department of State), the United Nations Security Council, the European Union, His Majesty’s Treasury of the United Kingdom or any other relevant sanctions authority having jurisdiction over the Borrower or its Subsidiaries or any Lender. “SBA” means the United States Small Business Administration or any Governmental Authority succeeding to any or all of the functions thereof. “SBIC Equity Commitment” means a commitment by the Borrower to make one or more capital contributions to an SBIC Subsidiary. “SBIC Subsidiary” means any direct or indirect Subsidiary (including such Subsidiary’s general partner or managing entity to the extent that the only material asset of such general partner or managing entity is its equity interest in the SBIC Subsidiary) of any Obligor licensed as a small business investment company under the Small Business Investment Act of 1958, as amended (or that has applied for such a license and is actively pursuing the granting thereof by appropriate proceedings promptly instituted and diligently conducted), and which is designated by the Borrower (as provided below) as an SBIC Subsidiary, so long as (a) no portion of the Indebtedness or any other obligations (contingent or otherwise) of such Subsidiary: (i) is Guaranteed by any Obligor (other than a Permitted SBIC Guarantee or analogous commitment), (ii) is recourse to or obligates any Obligor in any way (other than in respect of any SBIC Equity Commitment, Permitted SBIC Guarantee or analogous commitment), or (iii) subjects any property of any Obligor, directly or indirectly, contingently or otherwise, to the satisfaction thereof, other than Equity Interests in any SBIC Subsidiary pledged to secure such Indebtedness, and (b) subject to Standard Securitization Undertakings, no Obligor has any obligation to maintain or preserve such Subsidiary’s financial condition or cause such entity to achieve certain levels of operating results (other than in respect of any SBIC Equity Commitment, Permitted SBIC Guarantee or analogous commitment). Any such designation by the Borrower shall be effected pursuant to a certificate of a Financial Officer delivered to the Administrative Agent, which certificate shall include a statement to the effect that, to the best of such officer’s knowledge, such designation complied with the foregoing conditions. “SEC” means the United States Securities and Exchange Commission or any successor thereto. “Second Amendment Fee Letter” means that certain Second Amendment Fee Letter, dated as of October 4, 2024, among the Borrower, the Administrative Agent and SMBC, as Lead Arranger. 52 Revolving Credit and Term Loan Agreement


 
“Second Currency” has the meaning assigned to such term in Section 9.11. “Secured Longer-Term Indebtedness” means, as at any date, Indebtedness (other than Indebtedness hereunder) of any Obligor (which may be Guaranteed by any other Obligor) that is secured by any assets of any Obligor that: (a) has no scheduled amortization (other than for amortization in an amount not greater than 1% of the aggregate initial principal amount of such indebtedness per year; provided that amortization in excess of 1% per year shall be permitted so long as the amount of such amortization in excess of 1% is permitted to be incurred pursuant to Section 6.01(b)) prior to, and a final maturity date not earlier than, six (6) months after the Final Maturity Date (it being understood that (A) none of: (w) the conversion features under convertible notes into Permitted Equity Interests; (x) the triggering and/or settlement thereof solely with Permitted Equity Interests; or (y) any cash payment made in respect thereof, shall constitute “amortization” for purposes of this clause), (b) is incurred pursuant to documentation containing and (B) any mandatory amortization that is contingent upon the happening of an event that is not certain to occur (including, without limitation, a change of control or bankruptcy) shall not in and of itself be deemed to disqualify such indebtedness for purposes of this clause); (b) is incurred pursuant to terms that are substantially comparable to market terms for substantially similar debt of other similarly situated borrowers as reasonably determined in good faith by the Borrower or, if such transaction is not one in which there are market terms for substantially similar debt of other similarly situated borrowers, on terms that are negotiated in good faith on an arm’s length basis, or else pursuant to documentation containing: (i) (i) financial covenants, covenants governing the borrowing base, if any, portfolio valuations and events of default (other than events of default customary in indentures or similar instruments that have no analogous provisions in this Agreement or credit agreements generally) that are no more materially restrictive on the Borrower and its subsidiaries, while any Loans are outstanding, than those set forth in this Agreement; or (ii) (ii) other terms (other than pricing terms) that are no more restrictive in any material respect upon the Borrower and its Subsidiaries, while any Loans or the Commitments are outstanding, than those set forth in this Agreement (it being understood that put rights or repurchase or redemption obligations (x) in the case of convertible securities, in connection with the suspension or delisting of the Capital Stock of the Borrower or the failure of the Borrower to satisfy a continued listing rule with respect to its Capital Stock or (y) arising out of circumstances that would constitute a “fundamental change” (as such term is customarily defined in convertible note offerings) or an Event of Default shall not be deemed to be more restrictive for purposes of this definition)); provided that, in the case of sub-clause (i) and sub-clause (ii), any Obligor may incur any Secured Longer-Term Indebtedness that otherwise would not meet the requirements set forth in this clause (b) if it has duly made a Modification Offer; and 53 Revolving Credit and Term Loan Agreement


 
(c) is not secured by any assets of any Obligor other than pursuant to this Agreement or the Security Documents and the holders of which (or an authorized agent, representative or trustee of such holders) have either executed (i) a joinder agreement to the Guarantee and Security Agreement or (ii) such other document or agreement, in a form reasonably satisfactory to the Administrative Agent and the Collateral Agent, pursuant to which the holders (or an authorized agent, representative or trustee of such holders) of such Secured Longer-Term Indebtedness shall have become a party to the Guarantee and Security Agreement and assumed the obligations of a Financing Agent or Designated Indebtedness Holder (in each case, as defined in the Guarantee and Security Agreement); provided that Indebtedness arising under any HedgingSwap Agreement or any Designated Swap shall not constitute Secured Longer-Term Indebtedness hereunder. Notwithstanding the foregoing, the Existing Subscription Facility shall not be deemed Secured Longer-Term Indebtedness in any respect. “Secured Obligations” has the meaning assigned to such term in the Guarantee and Security Agreement. “Secured Parties” has the meaning assigned to such term in the Guarantee and Security Agreement. “Secured Shorter-Term Indebtedness” means, collectively, (a) any Indebtedness of an Obligor (which may be Guaranteed by any other Obligor) that is secured by any assets of any Obligor and that does not constitute Secured Longer-Term Indebtedness, (b) any Indebtedness of an Obligor that is not secured by any assets of any Obligor other than pursuant to this Agreement or the Security Documents and the holders of which (or an authorized agent, representative or trustee of such holders) have either executed (i) a joinder agreement to the Guarantee and Security Agreement or (ii) such other document or agreement, in a form reasonably satisfactory to the Administrative Agent and the Collateral Agent, pursuant to which the holders (or an authorized agent, representative or trustee of such holders) of such Secured Shorter-Term Indebtedness shall have become a party to the Guarantee and Security Agreement and assumed the obligations of a Financing Agent or Designated Indebtedness Holder (in each case, as defined in the Guarantee and Security Agreement) and (c) any Indebtedness that is designated as “Secured Shorter-Term Indebtedness” by the Borrower pursuant to Section 6.11(a); provided that Indebtedness arising under any Designated Swap shall not constitute Secured Shorter-Term Indebtedness hereunder. Notwithstanding the foregoing, the Existing Subscription Facility shall not be deemed to be Secured Shorter-Term Indebtedness. “Security Documents” means, collectively, the Guarantee and Security Agreement and all other assignments, pledge agreements, security agreements, control agreements and other instruments executed and delivered on or after the Effective Date by any of the Obligors pursuant to the Guarantee and Security Agreement or otherwise providing or relating to any collateral security for any of the Secured Obligations under and as defined in the Guarantee and Security Agreement. “Separate Valuation” has the meaning assigned to such term in Section 5.12(b)(ii)(F)(z). 54 Revolving Credit and Term Loan Agreement


 
“Shareholders’ Equity” means, at any date, the amount determined on a consolidated basis, without duplication, in accordance with GAAP, of shareholders’ equity for the Borrower and its Subsidiaries at such date. “SMBC” means Sumitomo Mitsui Banking Corporation. “SOFR” means a rate per annum equal to the secured overnight financing rate as administered by the SOFR Administrator. “SOFR Administrator” means the Federal Reserve Bank of New York (or a successor administrator of the secured overnight financing rate). “SONIA” means a rate equal to the Sterling Overnight Index Average as administered by the SONIA Administrator. “SONIA Administrator” means the Bank of England (or any successor administrator of the Sterling Overnight Index Average). “SONIA Administrator’s Website” means the Bank of England’s website, currently at http://www.bankofengland.co.uk, or any successor source for the Sterling Overnight Index Average identified as such by the SONIA Administrator from time to time. “SPC” has the meaning assigned to such term in Section 9.04(e). “SPE Subsidiary” means (i) a Designated Subsidiary or (ii) (a) (a) a direct or indirect Subsidiary of the Borrower to which any Obligor sells, conveys or otherwise transfers (whether directly or indirectly) Investments, Cash or Cash Equivalents, which engages in no material activities other than in connection with the purchase, holding, disposition or financing of such assets and which is designated by the Borrower (as provided below) as an SPE Subsidiary, so long as: (i) (i) no portion of the Indebtedness or any other obligations (contingent or otherwise) of which (i) is Guaranteed by any Obligor (other than Guarantees in respect of Standard Securitization Undertakings), (ii) is recourse to or obligates any Obligor in any way other than pursuant to Standard Securitization Undertakings or (iii) subjects any property of any Obligor (other than property that has been contributed or sold, purported to be sold or otherwise transferred to such Subsidiary or any equity of such Subsidiary), directly or indirectly, contingently or otherwise, to the satisfaction thereof, other than pursuant to Standard Securitization Undertakings or any Guarantee thereof, (ii) (ii) no Obligor has any material contract, agreement, arrangement or understanding with such Subsidiary (excluding customary sale and contribution agreements, collateral servicing or collateral management agreements, and master participation agreements) other than on terms, taken as a whole, not materially less favorable to such Obligor than those that might be obtained at the time from Persons that are not Affiliates of any Obligor, 55 Revolving Credit and Term Loan Agreement


 
other than fees payable in the ordinary course of business in connection with servicing receivables or financial assets and pursuant to any Standard Securitization Undertakings, and (iii) (iii) to which no Obligor has any obligation to maintain or preserve such entity’s financial condition or cause such entity to achieve certain levels of operating results (subject to Standard Securitization Undertakings); and (b) (b) any passive holding company that is designated by the Borrower (as provided below) as a SPE Subsidiary, so long as: (i) (i) such passive holding company is the direct parent of a SPE Subsidiary referred to in clause (a); (ii) (ii) such passive holding company engages in no activities and has no assets or liabilities (other than in connection with the transfer of assets to and from a SPE Subsidiary referred to in clause (a), and its ownership of all of the Equity Interests of a SPE Subsidiary referred to in clause (a), and activities incidental to the foregoing described in this clause (ii)); (iii) (iii) except with respect to any activities permitted under clause (b)(ii) above, no Obligor has any contract, agreement, arrangement or understanding with such passive holding company; and (iv) (iv) no Obligor has any obligation to maintain or preserve such passive holding company’s financial condition or cause such entity to achieve certain levels of operating results (subject to Standard Securitization Undertakings). Following the Effective Date, any such designation of a SPE Subsidiary by the Borrower shall be effected pursuant to a certificate of a Financial Officer delivered to the Administrative Agent, which certificate shall include a statement to the effect that, to the best of such officer’s knowledge, such designation complies with the conditions set forth in clause (a) or (b) of this definition, as applicable. Each Subsidiary of an SPE Subsidiary shall be deemed to be an SPE Subsidiary and shall comply with the foregoing requirements of clause (a) or (b) of this definition, as applicable. As of the Amendment No. 2 Effective Date, each of Churchill NCDLC CLO-1CLO-I, LLC, Churchill NCDLC CLO-II, LLC, Churchill NCDLC CLO-III, LLC, Nuveen Churchill BDC SPV II, LLC, and Nuveen Churchill BDC SPV III, LLC, Nuveen Churchill BDC SPV IV, LLC, Nuveen Churchill BDC SPV V, LLC and NCDL Equity Holdings is an SPE Subsidiary. “Special Equity Interest” means any Equity Interest that is subject to a Lien in favor of creditors of the issuer or such issuer’s affiliates of such Equity Interest; provided that such Lien was created to secure Indebtedness owing by such issuer or such issuer’s affiliates to such creditors. “Special Unsecured Indebtedness” means Indebtedness of an Obligor issued after the Amendment No. 2 Effective Date (which may be Guaranteed by any other Obligor) that 56 Revolving Credit and Term Loan Agreement


 
(a) has a final maturity date not earlier than, the Final Maturity Date (it being understood that (A) none of: (w) the conversion features under convertible notes into Permitted Equity Interests; (x) the triggering and/or settlement thereof; or (y) any cash payment made in respect thereof, shall constitute a “final maturity” for purposes of this clause (a); and (B) any mandatory amortization that is contingent upon the happening of an event that is not certain to occur (including a change of control or bankruptcy) shall not in and of itself be deemed to disqualify such Indebtedness for purposes of this clause (a)), (b) is incurred pursuant to terms that are substantially comparable to market terms for substantially similar debt of other similarly situated borrowers as reasonably determined in good faith by the Borrower or, if such transaction is not one in which there are market terms for substantially similar debt of other similarly situated borrowers, on terms that are negotiated in good faith on an arm’s length basis (except, in each case, other than financial covenants and events of default (other than events of default customary in indentures or similar instruments that have no analogous provisions in this Agreement or credit agreements generally)), which shall not be materially more restrictive upon the Borrower and its Subsidiaries, while any Loans or the Commitments are outstanding, than those set forth in this Agreement (it being understood that put rights or repurchase or redemption obligations (x) in the case of convertible securities, in connection with the suspension or delisting of the capital stock of the Borrower or the failure of the Borrower to satisfy a continued listing rule with respect to its capital stock or (y) arising out of circumstances that would constitute a “fundamental change” (as such term is customarily defined in convertible note offerings) or be an Event of Default shall not be deemed to be more restrictive for purposes of this definition); provided that, any Obligor may incur any Special Unsecured Indebtedness that otherwise would not meet the requirements set forth in this clause (b) if it has duly made a Modification Offer and (c) that is not secured by any assets of any Obligor. For the avoidance of doubt the conversion of all or any portion of any Permitted Convertible Indebtedness constituting Special Unsecured Indebtedness into Permitted Equity Interests in accordance with Section 6.12(a), shall not cause such Indebtedness to be designated as Special Unsecured Indebtedness hereunder. “Specified Currency” has the meaning assigned to such term in Section 9.11. “Specified Place” has the meaning assigned to such term in Section 9.11. “Specified Purchase” has the meaning assigned to such term in Section 2.08(e)(i)(E). “Specified Purchase Agreement Representations” means such of the representations made by or with respect to a Specified Target, its Subsidiaries and their respective businesses in the definitive documentation governing the applicable Specified Purchase (the “Specified Purchase Agreement”) as are material to the interests of the Lenders, but only to the extent that the Borrower or its Affiliates shall have the right to terminate its obligations under the applicable Specified Purchase Agreement as a result of a breach of such representations in the applicable Specified Purchase Agreement (as determined without regard to any notice requirement and without giving effect to any waiver, amendment or other modification thereto that is materially adverse to the interests of the Lenders (as reasonably determined by the Administrative Agent), unless the Administrative Agent shall have consented thereto (such consent not to be unreasonably withheld, delayed or conditioned)). 57 Revolving Credit and Term Loan Agreement


 
“Specified Representations” means the representations and warranties of the Borrower set forth in Section 3.01 (relating to corporate existence and corporate power and authority of the Obligors); Section 3.02 (relating to enforceability of the Loan Documents); Section 3.03(b) (relating to no conflicts with organizational documents (limited to the execution, delivery and performance of the Loan Documents, incurrence of Indebtedness thereunder and the granting of guarantees and security interests in respect thereof)); Section 3.10; Section 3.15; and Section 3.17. “Specified Target” has the meaning assigned to such term in Section 2.08(e)(i)(E). “Standard Securitization Undertakings” means, collectively, (a) customary arm’s-length servicing obligations (together with any related performance guarantees), (b) obligations (together with any related performance guarantees) to refund the purchase price or grant purchase price credits for dilutive events or misrepresentations (in each case unrelated to the collectability of the assets sold or the creditworthiness of the associated account debtors), (c) representations, warranties, covenants and indemnities (together with any related performance guarantees) of a type that are reasonably customary in middle market, broadly syndicated or commercial loan accounts receivable securitizations, securitizations of financial assets, collateralized loan obligations, or loans to special purpose vehicles, including those owed to customary third-party service providers in connection with such transactions, such as rating agencies and accountants, (d) obligations (together with any related performance guarantees) under any customary bad boy guarantee, guarantee of any make-whole premium or other guarantee; provided, however, that any such guarantee described in this clause (d) shall not exceed 10% of the aggregate unfunded commitments plus outstandings under the applicable loan (any such guarantee described in this clause (d), a “SPE Subsidiary Recourse Obligation”). “Statutory Reserve Rate” means, for any applicable Interest Period for any Term Benchmark Borrowing in Euros, a fraction (expressed as a decimal), the numerator of which is the number one and the denominator of which is the number one minus the arithmetic mean, taken over each day in such Interest Period, of the aggregate of the applicable maximum reserve percentages (including any marginal, special, emergency or supplemental reserves) expressed as a decimal established by the Board to which the Administrative Agent is subject for eurocurrency funding (currently referred to as “Eurocurrency liabilities” in Regulation D). Such reserve percentages shall include those imposed pursuant to Regulation D. Term Benchmark Loans denominated in Euros shall be deemed to constitute eurocurrency funding and to be subject to such reserve requirements without benefit of or credit for proration, exemptions or offsets that may be available from time to time to any Lender under Regulation D or any comparable regulation. The Statutory Reserve Rate shall be adjusted automatically on and as of the effective date of any change in any reserve percentage. “Sterling” means the lawful currency of the United Kingdom. “Subsidiary” means, with respect to any Person (the “parent”) at any date, any corporation, limited liability company, partnership, association or other entity the accounts of which would be consolidated with those of the parent in the parent’s consolidated financial statements if such financial statements were prepared in accordance with GAAP as of such date, 58 Revolving Credit and Term Loan Agreement


 
as well as any other corporation, limited liability company, partnership, association or other entity (a) of which securities or other ownership interests representing more than 50% of the equity or more than 50% of the ordinary voting power or, in the case of a partnership, more than 50% of the general partnership interests are, as of such date, owned, controlled or held, or (b) that is, as of such date, otherwise Controlled by the parent or one or more subsidiaries of the parent or by the parent and one or more subsidiaries of the parent. Anything herein to the contrary notwithstanding, the term “Subsidiary” shall not include any (x) Joint Venture Investment or (y) Person that constitutes an Investment held by any Obligor in the ordinary course of business and that is not, under GAAP, consolidated on the financial statements of the Borrower and its Subsidiaries. Unless otherwise specified, “Subsidiary” means a Subsidiary of the Borrower. “Subsidiary Guarantor” means any Subsidiary that is a Guarantor under the Guarantee and Security Agreement. It is understood and agreed that no Excluded Asset, Financing Subsidiary, Immaterial Subsidiary, Foreign Subsidiary or a Subsidiary of a Foreign Subsidiary shall be a Subsidiary Guarantor. “Supported QFC” has the meaning assigned to such term in Section 9.18. “Swingline Exposure” means, at any time, the aggregate principal amount of all Swingline Loans outstanding at such time. The Swingline Exposure of any Multicurrency Lender at any time shall be the sum of (a) its Applicable Multicurrency Percentage of the total Swingline Exposure at such time (excluding, in the case of any Multicurrency Lender that is a Swingline Lender, Swingline Loans made by it that are outstanding at such time to the extent that the other Multicurrency Lenders shall not have funded their participations in such Swingline Loans), adjusted to give effect to any reallocation under Section 2.18 of the Swingline Exposure of Defaulting Lenders in effect at such time, plus (b) in the case of any Multicurrency Lender that is a Swingline Lender, the aggregate principal amount of all Swingline Loans made by such Multicurrency Lender outstanding at such time, less the amount of participations funded by the other Multicurrency Lenders in such Swingline Loans. “Swap Agreement” means any (a) Hedging Agreement, (b) Designated Swap or (c) other swap, collar, cap, floor, forward rate agreement, or other agreement involving, or settled by reference to, one or more rates, currencies, commodities, equity or debt instruments or securities, or economic, financial or pricing indices or measures of economic, financial or pricing risk or value or any similar transaction or any combination of these transactions. Swap Termination Value” means, in respect of any one or more Swap Agreements, after taking into account the effect of any legally enforceable netting agreement relating to such Swap Agreements (including, for the avoidance of doubt, with respect to any posted collateral under any credit support documents), (a) for any date on or after the date such Swap Agreements have been closed out and termination value(s) have been determined in accordance therewith, such termination value(s), and (b) for any date prior to the date referenced in clause (a), the amount(s) determined as the mark-to-market 59 Revolving Credit and Term Loan Agreement


 
value(s) for such Swap Agreements, as determined pursuant to the terms of the relevant Swap Agreements. “Swingline Exposure” means, at any time, the aggregate principal amount of all Swingline Loans outstanding at such time. The Swingline Exposure of any Lender at any time shall be its Applicable Multicurrency Revolving Percentage of the total Swingline Exposure at such time incurred under the Multicurrency Revolving Credit Commitments. “Swingline Lender” means Sumitomo Mitsui Banking Corporation, and each additional Swingline Lender designated pursuant to Section 2.04(e), each in its capacity as lender of Swingline Loans hereunder. “Swingline Loan” means a Loan made pursuant to Section 2.04. “T2” means the real time gross settlement system operated by the Eurosystem, or any successor system. “TARGET Day” means any day on which T2 is open for the settlement of payments in Euros. “Taxes” means any and all present or future taxes, levies, imposts, duties, deductions, withholdings (including backup withholding), assessments, fees, or other charges imposed by any Governmental Authority, including any interest, additions to tax or penalties applicable thereto. “Term Benchmark”, when used in reference to any Loan or Borrowing, refers to whether such Loan is, or the Loans constituting such Borrowing are, bearing interest at a rate determined by reference to the Adjusted Term Benchmark Rate. “Term Benchmark Banking Day” means for Term Benchmark Loans, Term Benchmark Borrowings, interest, fees, commissions or other amounts denominated in, or calculated with respect to: (a) (a) Dollars, a U.S. Government Securities Business Day; (b) (b) Euros, a TARGET Day; (c) (c) Canadian Dollars, any day (other than a Saturday or Sunday) on which banks are open for business in Toronto, Canada; (d) (d) Australian Dollars, any day (other than a Saturday or Sunday) on which banks are open for business in Melbourne, Australia; or (e) (e) Japanese Yen, any day (other than a Saturday or Sunday) on which banks are open for business in Tokyo, Japan. “Term Benchmark Rate” means, for any Interest Period: 60 Revolving Credit and Term Loan Agreement


 
(a) (a) in the case of Term Benchmark Borrowings denominated in Dollars, Term SOFR for such Interest Period; (b) (b) in the case of Term Benchmark Borrowings denominated in Euros, the rate per annum equal to the Euro Interbank Offered Rate as administered by the European Money Markets Institute (or any other Person that takes over the administration of such rate) for a period equal in length to such Interest Period, as displayed on the applicable Bloomberg page (or on any successor or substitute page or service providing such quotations as reasonably determined by the Administrative Agent from time to time) at approximately 11:00 a.m. (Brussels time) two (2) Term Benchmark Banking Days for Euros prior to the first day of such Interest Period (the “EURIBOR Screen Rate”); (c) (c) in the case of Term Benchmark Borrowings denominated in Canadian Dollars, Term CORRA for such Interest Period; (d) (d) in the case of Term Benchmark Borrowings denominated in Australian Dollars, the rate per annum equal to the Bank Bill Swap Reference Bid rate or a successor thereto approved by the Administrative Agent (“BBSY”) as published by Reuters (or such other page or commercially available source providing BBSY (Bid) quotations as may be designated by the Administrative Agent from time to time) at or about 10:30 a.m. (Melbourne, Australia time) on the day that is two Term Benchmark Banking Days for Australian Dollars prior to the first day of the Interest Period (or if such day is not an Term Benchmark Banking Day for Australian Dollars, then on the immediately preceding Term Benchmark Banking Day for Australian Dollars) with a term equivalent to such Interest Period; and (e) (e) in the case of Term Benchmark Borrowings denominated in Japanese Yen, the rate per annum equal to the Tokyo Interbank Offered Rate as administered by the Ippan Shadan Hojin JBA TIBOR Administration (or any other Person that takes over the administration of such rate) for a period equal in length to such Interest Period, as displayed on the applicable Bloomberg page (or on any successor or substitute page or service providing such quotations as determined by the Administrative Agent from time to time) at approximately 11:00 a.m. (Tokyo time) two Term Benchmark Banking Days for Japanese Yen prior to the first day of such Interest Period. “Term CORRA” means, (a) (a) for any calculation with respect to a Term Benchmark Loan denominated in Canadian Dollars for any Interest Period, the sum of (i) the applicable Term CORRA Credit Adjustment Spread for such Interest Period and (ii) the Term CORRA Reference Rate for a tenor comparable to the applicable Interest Period on the day (such day, the “Periodic Term CORRA Determination Day”) that is two (2) Term Benchmark Banking Days prior to the first day of such Interest Period, as such rate is published by the Term CORRA Administrator and is displayed on a screen or other information service, as identified or selected by the Administrative Agent (the “CAD Screen Rate”); provided, however, that if as of 1:00 p.m. (Toronto time) on any Periodic Term CORRA Determination Day the Term CORRA Reference Rate for the applicable tenor has not been published by the Term CORRA Administrator and a Benchmark Replacement Date with respect to the Term CORRA Reference Rate has not 61 Revolving Credit and Term Loan Agreement


 
occurred, then Term CORRA will be the Term CORRA Reference Rate for such tenor as published by the Term CORRA Administrator on the first preceding Term Benchmark Banking Day for which such Term CORRA Reference Rate for such tenor was published by the Term CORRA Administrator so long as such first preceding Term Benchmark Banking Day is not more than three (3) Business Days prior to such Periodic Term CORRA Determination Day; and (b) (b) for any calculation with respect to the Canadian Prime Rate for any day, the sum of (i) the Term CORRA Credit Adjustment Spread for Term Benchmark Loans for an Interest Period of one month and (ii) the Term CORRA Reference Rate for a tenor of one month on the day (such day, the “Canadian Prime Rate Term CORRA Determination Day”) that is two (2) Term Benchmark Banking Days prior to such day, as such rate is published by the Term CORRA Administrator and is displayed on a screen or other information service, as identified or selected by the Administrative Agent (the “CAD Screen Rate”); provided, however, that if as of 1:00 p.m. (Toronto time) on any Canadian Prime Rate Term CORRA Determination Day the Term CORRA Reference Rate for the applicable tenor has not been published by the Term CORRA Administrator and a Benchmark Replacement Date with respect to the Term CORRA Reference Rate has not occurred, then Term CORRA will be the Term CORRA Reference Rate for such tenor as published by the Term CORRA Administrator on the first preceding Term Benchmark Banking Day for which such Term CORRA Reference Rate for such tenor was published by the Term CORRA Administrator so long as such first preceding Term Benchmark Banking Day is not more than three (3) Business Days prior to such Canadian Prime Rate Term CORRA Determination Day; provided, that if Term CORRA determined as provided above (including pursuant to the proviso under clause (a) or (b) above) shall ever be less than zero, then Term CORRA shall be deemed to be zero. “Term CORRA Administrator” means Candeal Benchmark Administration Services, Inc., TSX Inc., or any successor administrator of the Term CORRA Reference Rate selected by the Administrative Agent in its reasonable discretion. “Term CORRA Credit Adjustment Spread” means, with respect to Term Benchmark Loans denominated in Canadian Dollars, (a) with an Interest Period of one month, 0.29547% and (b) with an Interest Period of three months, 0.32138%. “Term CORRA Reference Rate” means the forward-looking term rate based on CORRA. “Term Loan” means a loan made by a Term Loan Lender to the Borrower under the Initial Term Loan Facility or any Incremental Term Loan Facility. “Term Loan Borrowing” means a borrowing consisting of simultaneous Term Loans of the same Type, Class and Currency and, in the case of Term Benchmark Loans, having the same Interest Period made by the applicable Term Loan Lenders. “Term Loan Commitment” means the Initial Term Loan Commitment or an Incremental Term Loan Commitment, as the context may require. 62 Revolving Credit and Term Loan Agreement


 
“Term Loan Facility” means the Initial Term Loan Facility or an Incremental Term Loan Facility, as the context may require. “Term Loan Lender” means each Initial Term Loan Lender and Incremental Term Loan Lender and any other Person that shall have become a party hereto pursuant to an Assignment and Assumption that provides for it to assume any Term Loans, other than any such Person that ceases to be a party hereto pursuant to an Assignment and Assumption. “Term SOFR” means, (a) (a) for any calculation with respect to any Term Benchmark Loan denominated in Dollars for any Interest Period, the sum of (i) the Term SOFR Applicable Credit Adjustment Spread and (ii) the Term SOFR Reference Rate for a tenor comparable to the applicable Interest Period on the day (such day, the “Periodic Term SOFR Determination Day”) that is two (2) U.S. Government Securities Business Days prior to the first day of such Interest Period, as such rate is published by the Term SOFR Administrator; provided, that if as of 5:00 p.m. (New York City time) on any Periodic Term SOFR Determination Day the Term SOFR Reference Rate for the applicable tenor has not been published by the Term SOFR Administrator and a Benchmark Replacement Date with respect to the Term SOFR Reference Rate has not occurred, then Term SOFR will be the Term SOFR Reference Rate for such tenor as published by the Term SOFR Administrator on the first preceding U.S. Government Securities Business Day for which such Term SOFR Reference Rate for such tenor was published by the Term SOFR Administrator so long as such first preceding U.S. Government Securities Business Day is not more than three (3) U.S. Government Securities Business Days prior to such Periodic Term SOFR Determination Day, and (b) (b) for any calculation with respect to any ABR Loan on any day, the sum of (i) the Term SOFR Applicable Credit Adjustment Spread and (ii) the Term SOFR Reference Rate for a tenor of one month on the day (such day, the “Base Rate Term SOFR Determination Day”) that is two (2) U.S. Government Securities Business Days prior to such day, as such rate is published by the Term SOFR Administrator; provided that if as of 5:00 p.m. on any Base Rate Term SOFR Determination Day the Term SOFR Reference Rate for the applicable tenor has not been published by the Term SOFR Administrator and a Benchmark Replacement Date with respect to the Term SOFR Reference Rate has not occurred, then Term SOFR will be the Term SOFR Reference Rate for such tenor as published by the Term SOFR Administrator on the first preceding U.S. Government Securities Business Day for which such Term SOFR Reference Rate for such tenor was published by the Term SOFR Administrator so long as such first preceding U.S. Government Securities Business Day is not more than three (3) U.S. Government Securities Business Days prior to such Base Rate Term SOFR Determination Day. “Term SOFR Administrator” means the CME Group Benchmark Administration Limited (CBA) (or a successor administrator of the Term SOFR Reference Rate selected by the Administrative Agent in its reasonable discretion). 63 Revolving Credit and Term Loan Agreement


 
“Term SOFR Applicable Credit Adjustment Spread” means, with respect to Term Benchmark Loans denominated in Dollars, (a) for Interest Periods of one month: 0.10%, (b) for Interest Periods of three months: 0.15% and (c) for Interest Periods of six months: 0.25%0.10%. “Term SOFR Reference Rate” means the forward-looking term rate based on SOFR. “Termination Date” means the earliest to occur of (i) the Final Maturity Date, (ii) the date of the termination of the Commitments in full pursuant to Section 2.08(c) and (iii) the date on which the Commitments are terminated pursuant to Article VII. “Testing Period” has the meaning assigned to such term in Section 5.12(b)(ii)(F)(x). “Testing Quarter” has the meaning assigned to such term in Section 5.12(b)(ii)(B). “Total Assets” means, as of any date of determination, the value of the total assets of the Obligors, less all liabilities and indebtedness of the Obligors not represented by senior securities, in each case, as of such date of determination. “Total Assets Concentration Limitation” means, as of any date of determination, the amount by which the aggregate value of Equity Interests in Financing Subsidiaries held by the Obligors included in the calculation of Total Assets as of such date of determination exceeds 10% of the Total Assets as of such date of determination. “Total Credit Exposure” means, as to any Lender at any time, the Revolving Credit Exposure and the Outstanding Amount of Term Loans, in each case of such Lender at such time (or the Dollar-Equivalent thereof). “Total Revolving Credit Exposure” means, as to any Revolving Lender at any time, the unused Revolving Credit Commitments and Revolving Credit Exposure. “Total Secured Debt” means, as of any date of determination, the aggregate amount of senior securities representing secured indebtedness of the Obligors (including any Indebtedness outstanding under this Agreement) as of such date of determination, in each case as determined pursuant to the Investment Company Act and any orders of the SEC issued to or with respect to Borrower. “Transactions” means the execution, delivery and performance by the Borrower of this Agreement and the other Loan Documents, the borrowing of Loans, the use of the proceeds thereof and the issuance of Letters of Credit hereunder. “Transferred Assets” has the meaning assigned to such term in Section 6.03(h). 64 Revolving Credit and Term Loan Agreement


 
“Type”, when used in reference to any Loan or Borrowing, refers to whether the rate of interest on such Loan, or on the Loans constituting such Borrowing, is determined by reference to the Adjusted Term Benchmark Rate, Daily Simple RFR or the Alternate Base Rate. “UK Financial Institution” means any BRRD Undertaking (as such term is defined under the PRA Rulebook (as amended from time to time) promulgated by the United Kingdom Prudential Regulation Authority) or any person subject to IFPRU 11.6 of the FCA Handbook (as amended from time to time) promulgated by the FCA, which includes certain credit institutions and investment firms, and certain affiliates of such credit institutions or investment firms. “UK Resolution Authority” means the Bank of England or any other public administrative authority having responsibility for the resolution of any UK Financial Institution. “Unadjusted Benchmark Replacement” means the applicable Benchmark Replacement excluding the related Benchmark Replacement Adjustment. “Undisclosed Administration” means, in relation to a Lender, the appointment of an administrator, provisional liquidator, conservator, receiver, trustee, custodian or other similar official by a supervisory authority or regulator under or based on the law in the country where such Lender is subject to home jurisdiction supervision if applicable law requires that such appointment is not to be publicly disclosed. “Uniform Commercial Code” means the Uniform Commercial Code as in effect from time to time in the State of New York. “United States Person” means any Person that is a “United States Person” as defined in Section 7701(a)(30) of the Code. “Unquoted Investments” has the meaning set forth in Section 5.12(b)(ii)(B). “Unsecured Longer-Term Indebtedness” means (1) any Permitted Advisor Loan (which may be Guaranteed by one or more other Obligors) and (2) unsecured Indebtedness of any Obligor (which may be Guaranteed by any other Obligor) that (a) has a final maturity date not earlier than six (6) months after the Final Maturity Date (it being understood that (A) none of: (w) the conversion features under convertible notes into Permitted Equity Interests; (x) the triggering and/or settlement thereof; or (y) any cash payment made in respect thereof, shall constitute a “final maturity date” for purposes of this clause and (B) any mandatory amortization that is contingent upon the happening of an event that is not certain to occur (including a change of control or bankruptcy) shall not in and of itself be deemed to disqualify such Indebtedness for purposes of this clause), (b) is incurred pursuant to terms that are substantially comparable to (or more favorable to the Borrowers than) market terms for substantially similar debt of other similarly situated borrowers as reasonably determined in good faith by the Borrower or, if such transaction is not one in which there are market terms for substantially similar debt of other similarly situated borrowers, on terms that are negotiated in good faith on an arm’s length basis (except, in each case, other than financial covenants and events of default (other than events of default customary in indentures or similar instruments that have no analogous provisions in this Agreement or credit agreements generally)), which shall not be materially more restrictive upon 65 Revolving Credit and Term Loan Agreement


 
the Borrower and its Subsidiaries, while any Loans or the Commitments are outstanding, than those set forth in this Agreement; provided that, upon the Borrower’s written request in connection with the incurrence of any Unsecured Longer-Term Indebtedness that otherwise would not meet the requirements set forth in this parenthetical of this clause (b), the Borrower and the Administrative Agent (on behalf of the Lenders) shall promptly enter into a written amendment to this Agreement making changes necessary such that the financial covenants and events of default, as applicable, in this Agreement shall be as restrictive as such provisions in the Unsecured Longer-Term Indebtedness (it being understood that put rights or repurchase or redemption obligations (x) in the case of convertible securities, in connection with the suspension or delisting of the capital stock of the Borrower or the failure of the Borrower to satisfy a continued listing rule with respect to its capital stock or (y) arising out of circumstances that would constitute a “fundamental change” (as such term is customarily defined in convertible note offerings) or be an Event of Default shall not be deemed to be more restrictive for purposes of this definition); provided that, any Obligor may incur any Unsecured Longer-Term Indebtedness that otherwise would not meet the requirements set forth in this clause (b) if it has duly made a Modification Offer and (c) that is not secured by any assets of any Obligor. For the avoidance of doubt the conversion of all or any portion of any Permitted Convertible Indebtedness constituting Unsecured Longer-Term Indebtedness into Permitted Equity Interests in accordance with Section 6.12(a), shall not cause such Indebtedness to be designated as Unsecured Shorter-Term Indebtedness hereunder. “Unsecured Shorter-Term Indebtedness” means, collectively, (a) any Indebtedness of an Obligor that is not secured by any assets of any Obligor and that does not constitute Unsecured Longer-Term Indebtedness or Special Unsecured Indebtedness and (b) any Indebtedness that is designated as “Unsecured Shorter-Term Indebtedness” pursuant to Section 6.11(a). “U.S. Government Securities” means securities that are direct obligations of, and obligations the timely payment of principal and interest on which is fully guaranteed by, the United States or any agency or instrumentality of the United States the obligations of which are backed by the full faith and credit of the United States and in the form of conventional bills, bonds, and notes. “U.S. Government Securities Business Day” means any day except for (a) a Saturday, (b) a Sunday or (c) a day on which the Securities Industry and Financial Markets Association recommends that the fixed income departments of its members be closed for the entire day for purposes of trading in United States government securities. “Valuation Policy” means the Borrower’s valuation policy, as the same may be amended, supplemented, waived, or otherwise modified from time to time consistent with industry practice for business development companies and in a manner not prohibited by this Agreement. “Value” has the meaning assigned to such term in Section 5.13. 66 Revolving Credit and Term Loan Agreement


 
“Withdrawal Liability” means liability to a Multiemployer Plan as a result of a complete or partial withdrawal from such Multiemployer Plan, as such terms are defined in Part I of Subtitle E of Title IV of ERISA. “Write-Down and Conversion Powers” means, (a) with respect to any EEA Resolution Authority, the write-down and conversion powers of such EEA Resolution Authority from time to time under the Bail-In Legislation for the applicable EEA Member Country, which write-down and conversion powers are described in the EU Bail-In Legislation Schedule, and (b) with respect to the United Kingdom, any powers of the applicable Resolution Authority under the Bail-In Legislation to cancel, reduce, modify or change the form of a liability of any UK Financial Institution or any contract or instrument under which that liability arises, to convert all or part of that liability into shares, securities or obligations of that person or any other person, to provide that any such contract or instrument is to have effect as if a right had been exercised under it or to suspend any obligation in respect of that liability or any of the powers under that Bail-In Legislation that are related to or ancillary to any of those powers. SECTION 1.02. Classification of Loans and Borrowings. For purposes of this Agreement, Loans may be classified and referred to by Class (e.g., a “Dollar Revolving Loan”, “Multicurrency Revolving Loan” or “MulticurrencyTerm Loan”), by Type (e.g., an “ABR Loan”) or by Class and Type (e.g., a “Multicurrency Term Benchmark Loan”). Borrowings also may be classified and referred to by Class (e.g., a “Dollar Revolving Borrowing”, “Multicurrency Revolving Borrowing” or “MulticurrencyTerm Loan Borrowing”), by Type (e.g., an “ABR Borrowing”) or by Class and Type (e.g., a “ABR Borrowing” or “Multicurrency Term Benchmark Borrowing”). Loans and Borrowings may also be identified by Currency. SECTION 1.03. Terms Generally. The definitions of terms herein shall apply equally to the singular and plural forms of the terms defined. Whenever the context may require, any pronoun shall include the corresponding masculine, feminine and neuter forms. The words “include”, “includes” and “including” shall be deemed to be followed by the phrase “without limitation”. The word “will” shall be construed to have the same meaning and effect as the word “shall”. Unless the context requires otherwise (a) any definition of or reference to any agreement, instrument or other document herein shall be construed as referring to such agreement, instrument or other document as from time to time amended, restated, amended and restated, supplemented or otherwise modified (subject to any restrictions on such amendments, supplements or modifications set forth herein or therein), (b) any reference herein to any Person shall be construed to include such Person’s successors and assigns (subject to restrictions contained herein), (c) the words “herein”, “hereof” and “hereunder”, and words of similar import, shall be construed to refer to this Agreement in its entirety and not to any particular provision hereof, (d) all references herein to Articles, Sections, Exhibits and Schedules shall be construed to refer to Articles and Sections of, and Exhibits and Schedules to, this Agreement and (e) the words “asset” and “property” shall be construed to have the same meaning and effect and to refer to any and all tangible and intangible assets and properties, including cash, securities, accounts and contract rights. Solely for purposes of this Agreement, any references to “principal amount” or “obligations” owed by any Person under any (x) HedgingSwap Agreement (other than a total return swap) shall refer to the amount that would be required to be paid by such Person if such HedgingSwap Agreement were terminated at such time (after giving effect to any 67 Revolving Credit and Term Loan Agreement


 
netting agreement) less any collateral posted in support thereof and (y) total return swap shall refer to the notional amount thereof less any collateral posted in support thereof. SECTION 1.04. Accounting Terms; GAAP. Except as otherwise expressly provided herein, all terms of an accounting or financial nature shall be construed in accordance with GAAP, as in effect from time to time; provided that (a) if the Borrower notifies the Administrative Agent that the Borrower requests an amendment to any provision hereof to eliminate the effect of any change occurring after the Amendment No. 2 Effective Date in GAAP or in the application thereof on the operation of such provision (or if the Administrative Agent notifies the Borrower that the Required Lenders request an amendment to any provision hereof for such purpose), regardless of whether any such notice is given before or after such change in GAAP or in the application thereof then, (x) the Borrower, the Administrative Agent and the Lenders agree to enter into negotiations in good faith in order to amend such provisions of this Agreement with respect to the Borrower so as to equitably reflect such change to comply with GAAP with the desired result that the criteria for evaluating the Borrower’s financial condition shall be the same after such change to comply with GAAP as if such change had not been made and (y) such provision shall be interpreted on the basis of GAAP as in effect and applied immediately before such change shall have become effective until such notice shall have been withdrawn or such provision amended in accordance herewith and (b) all leases that are or would have been treated as operating leases for purposes of GAAP prior to the issuance on February 25, 2016 of the Accounting Standards Update No. 2016-02, Leases (Topic 842) (the “ASU”) shall continue to be accounted for as operating leases for purposes of all financial definitions and calculations for the purposes of the Loan Documents hereunder (whether or not such operating lease obligations were in effect on such date) notwithstanding the fact that such obligations are required in accordance with the ASU (on a prospective or retroactive basis or otherwise) to be treated as capitalized lease obligations in the financial statements to be delivered pursuant to the Loan Documents. Whether or not the Borrower may at any time adopt Financial Accounting Standards Board Accounting Standards Codification Subtopic 825-10 (or successor standard solely as it relates to fair valuing liabilities) or accounts for liabilities acquired in an acquisition on a fair value basis pursuant to FASB Statement of Financial Accounting Standard No. 141(R) (or successor standard solely as it relates to fair valuing liabilities), all determinations of compliance with the terms and conditions of this Agreement shall be made on the basis that the Borrower has not adopted FASB Accounting Standards Codification Subtopic 825-10 (or such successor standard solely as it relates to fair valuing liabilities) or, in the case of liabilities acquired in an acquisition, FASB Statement of Financial Accounting Standard No. 141(R) (or such successor standard solely as it relates to fair valuing liabilities). SECTION 1.05. Currencies; Currency Equivalents.. (a) Currencies Generally. At any time, any reference in the definition of “Agreed Foreign Currency” or in any other provision of this Agreement to the Currency of any particular nation means the lawful currency of such nation at such time whether or not the name of such Currency is the same as it was on the Effective Date. Except as provided in Section 2.10(b) and the last sentence of Section 2.17(a), for purposes of determining (i) whether the amount of any Revolving Borrowing or Letter of Credit under the Multicurrency Revolving Credit Commitments, together with all other Revolving Borrowings and Letters of Credit under the Multicurrency Revolving Credit Commitments then outstanding or to be borrowed at the 68 Revolving Credit and Term Loan Agreement


 
same time as such Borrowing, would exceed the aggregate amount of the Multicurrency Revolving Credit Commitments, (ii) the aggregate unutilized amount of the Multicurrency Revolving Credit Commitments, (iii) the Revolving Credit Multicurrency Credit Exposure, (iv) the Multicurrency LC Exposure, (v) the Covered Debt Amount and (vi) the Borrowing Base or the Value or the fair market value of any Investment, the outstanding principal amount of any Revolving Borrowing or Letter of Credit that is denominated in any Foreign Currency or the Value or the fair market value of any Investment that is denominated in any Foreign Currency shall be deemed to be the Dollar Equivalent of the amount of the Foreign Currency of such Revolving Borrowing, Letter of Credit or Investment, as the case may be, determined as of the date of such Revolving Borrowing or Letter of Credit (determined in accordance with the last sentence of the definition of “Interest Period”) or the date of the valuation of such Investment, as the case may be. Wherever in this Agreement in connection with a Revolving Borrowing or Revolving Loan an amount, such as a required minimum or multiple amount, is expressed in Dollars, but such Revolving Borrowing or Revolving Loan is denominated in a Foreign Currency, such amount shall be the relevant Foreign Currency Equivalent of such Dollar amount (rounded to the nearest 1,000 units of such Foreign Currency). Without limiting the generality of the foregoing, for purposes of determining compliance with any basket in Section 6.03(g) or 6.04(f), in no event shall the Borrower or any of its Subsidiaries be deemed not to be in compliance with any such basket solely as a result of a change in exchange rates. (b) Special Provisions Relating to Euro. Each obligation hereunder of any party hereto that is denominated in the National Currency of a state that is not a Participating Member State on the Effective Date shall, effective from the date on which such state becomes a Participating Member State, be redenominated in Euro in accordance with the legislation of the European Union applicable to the European Monetary Union; provided that, if and to the extent that any such legislation provides that any such obligation of any such party payable within such Participating Member State by crediting an account of the creditor can be paid by the debtor either in Euros or such National Currency, such party shall be entitled to pay or repay such amount either in Euros or in such National Currency. If the basis of accrual of interest or fees expressed in this Agreement with respect to an Agreed Foreign Currency of any country that becomes a Participating Member State after the date on which such currency becomes an Agreed Foreign Currency shall be inconsistent with any convention or practice in the interbank market for the basis of accrual of interest or fees in respect of the Euro, such convention or practice shall replace such expressed basis effective as of and from the date on which such state becomes a Participating Member State; provided that, with respect to any Borrowing denominated in such currency that is outstanding immediately prior to such date, such replacement shall take effect at the end of the Interest Period therefor. Without prejudice to the respective liabilities of the Borrower to the Lenders and the Lenders to the Borrower under or pursuant to this Agreement, each provision of this Agreement shall be subject to such reasonable changes of construction as the Administrative Agent may from time to time, in consultation with the Borrower, reasonably specify to be necessary or appropriate to reflect the introduction or changeover to the Euro in any country that becomes a Participating Member State after the Effective Date; provided that the Administrative Agent shall provide the Borrower and the Lenders with prior notice of the proposed change with an 69 Revolving Credit and Term Loan Agreement


 
explanation of such change in sufficient time to permit the Borrower and the Lenders an opportunity to respond to such proposed change. SECTION 1.06. Divisions. For all purposes under the Loan Documents, if, as a result of any division or plan of division under Delaware law (or any comparable event under a different jurisdiction’s laws): (a) any asset, right, obligation or liability of any Person becomes the asset, right, obligation or liability of a different Person, then it shall be deemed to have been transferred from the original Person to the subsequent Person, and (b) any new Person comes into existence, such new Person shall be deemed to have been organized or acquired on the first date of its existence by the holders of its Equity Interests at such time. SECTION 1.07. Issuers Issuers. For all purposes of this Agreement, all issuers of Portfolio Investments that are Affiliates of one another shall be treated as a single issuer, unless such issuers are Affiliates of one another solely because they are under the common Control of the same private equity sponsor or similar sponsor. SECTION 1.08. Concurrent Transactions Concurrent Transactions.. For purposes of determining the permissibility of any action, change, transaction or event or compliance with any term, such determination shall be made on a pro forma basis, immediately after giving effect to any Concurrent Transactions. SECTION 1.09. ReclassificationsReclassifications. For purposes of determining compliance with the provisions in Article VI, in the event that a proposed transaction or other action meets the criteria of more than one of the categories described therein, the Borrower, in its sole discretion, will be permitted to classify such transaction or other action on the date it is consummated or otherwise taken or later reclassify such transaction or other action, in any manner that complies with each applicable provision of Article VI, so long as such transaction or other action is permitted to be consummated or otherwise taken pursuant to each applicable provision of Article VI at the time of reclassification. SECTION 1.10. Calculations Calculations. Notwithstanding anything to the contrary contained herein, for purposes of categorization of each Portfolio Investment in accordance with Section 5.13, the amount of “first lien debt”, “aggregate first lien debt” and “EBITDA” with respect to any Portfolio Investment may be calculated by the Borrower in good faith using information from and calculations consistent with the relevant financial models, pro forma financial statements, compliance certificates and financial reporting packages provided by the relevant obligor or issuer as per the requirements of and all in the manner set forth in the relevant agreement governing such Portfolio Investment. SECTION 1.11. Rates. The Administrative Agent does not warrant or accept responsibility for, and shall not have any liability with respect to (a) the continuation of, administration of, submission of, calculation of or any other matter related to the Alternate Base Rate, the Daily Simple RFR or the Adjusted Term Benchmark Rate or any component definition thereof or rates referenced in the definition thereof, or any alternative, successor or replacement rate thereto (including any Benchmark Replacement), including whether the composition or characteristics of any such alternative, successor or replacement rate (including any Benchmark Replacement) will be similar to, or produce the same value or economic equivalence of, or have 70 Revolving Credit and Term Loan Agreement


 
the same volume or liquidity as, the Alternate Base Rate, the Daily Simple RFR, the Adjusted Term Benchmark Rate or any other Benchmark prior to its discontinuance or unavailability, or (b) the effect, implementation or composition of any Conforming Changes. The Administrative Agent and its affiliates or other related entities may engage in transactions that affect the calculation of the Alternate Base Rate, the Daily Simple RFR, the Adjusted Term Benchmark Rate, any alternative, successor or replacement rate (including any Benchmark Replacement) or any relevant adjustments thereto, in each case, in a manner adverse to the Borrower. The Administrative Agent may select information sources or services in its reasonable discretion to ascertain the Alternate Base Rate, the Daily Simple RFR, the Adjusted Term Benchmark Rate or any other Benchmark, in each case pursuant to the terms of this Agreement, and shall have no liability to the Borrower, any Lender or any other person or entity for damages of any kind, including direct or indirect, special, punitive, incidental or consequential damages, costs, losses or expenses (whether in tort, contract or otherwise and whether at law or in equity), for any error or calculation of any such rate (or component thereof) provided by any such information source or service other than for direct or actual damages resulting from willful misconduct or gross negligence of the Administrative Agent as determined by a final, non-appealable judgment of a court of competent jurisdiction. SECTION 1.12. Outstanding Indebtedness. For the avoidance of doubt, to the extent that any Indebtedness is repaid, redeemed, repurchased, defeased or otherwise acquired, retired or discharged (or irrevocable notice for redemption thereof has been given and in connection with such notice, and the Borrower has either (x) designated on its balance sheet as “restricted” or (y) deposited with the trustee in respect of such Indebtedness, in each case, an amount of Cash or Cash Equivalents sufficient to consummate such redemption; provided that, from and after the date of such irrevocable notice, such Cash or Cash Equivalents shall not be included in the Borrowing Base or held in an account of the Borrower or any of its Subsidiaries that is pledged to any Person (other than the Collateral Agent or the holders of such Indebtedness)), such Indebtedness shall be deemed to be paid off and not to be outstanding for any purpose hereunder to the extent of the amount of such repayment, redemption, repurchase, defeasance, retirement, discharge or irrevocable notice. ARTICLE II THE CREDITS SECTION 2.01. The Commitments. Subject to the terms and conditions set forth herein: (a) each Dollar Revolving Lender severally agrees to make Revolving Loans in Dollars to the Borrower from time to time during the Revolving Availability Period in an aggregate principal amount that will not result in (i) such Lender’s Revolving Dollar Credit Exposure exceeding such Lender’s Dollar Revolving Credit Commitment, (ii) the aggregate Revolving Dollar Credit Exposure of all of the Dollar Revolving Lenders exceeding the aggregate Dollar Revolving Credit Commitments at such time or (iii) the Covered Debt Amount exceeding the Borrowing Base then in effect; and 71 Revolving Credit and Term Loan Agreement


 
(b) each Multicurrency Revolving Lender severally agrees to make Revolving Loans in Dollars and in Agreed Foreign Currencies to the Borrower from time to time during the Revolving Availability Period in an aggregate principal amount that will not result in (i) such Lender’s Revolving Multicurrency Credit Exposure exceeding such Lender’s Multicurrency Revolving Credit Commitment, (ii) the aggregate Revolving Multicurrency Credit Exposure of all of the Multicurrency Revolving Lenders exceeding the aggregate Multicurrency Revolving Credit Commitments at such time or (iii) the Covered Debt Amount exceeding the Borrowing Base then in effect.; (c) the Initial Term Loan Lender agrees to make a Term Loan to the Borrower on the Amendment No. 2 Effective Date in an aggregate principal amount equal to such Lender’s Initial Term Loan Commitment; and (d) each Incremental Term Loan Lender under the applicable Incremental Term Loan Facility severally agrees to make a Term Loan to the Borrower on such applicable Incremental Term Loan Commitment Effective Date in an aggregate principal amount equal to such Lender’s Incremental Term Loan Commitment under such Incremental Term Loan Facility. Within the foregoing limits and subject to the terms and conditions set forth herein, the Borrower may borrow, prepay and reborrow Revolving Loans. Amounts borrowed as Term Loans and repaid or prepaid may not be reborrowed. SECTION 2.02. Loans and Borrowings. (a) Obligations of Lenders. (i) (a) Obligations of LendersTerm Loans. Each Term Loan under the applicable Term Loan Facility shall be made as part of a Borrowing consisting of Term Loans of the same denominated in Dollars of the same Type made by the applicable Term Loan Lenders ratably in accordance with their respective applicable Term Loan Commitments. (ii) Revolving Loans. Each Revolving Loan shall be made as part of a Borrowing consisting of Revolving Loans of the same Class of Revolving Credit Commitments, Currency and Type made by the applicable Revolving Lenders ratably in accordance with their respective Revolving Credit Commitments of the applicable Class. The failure of any Lender to make any Loan required to be made by it shall not relieve any other Lender of its obligations hereunder; provided that the Commitments of the Lenders are several and no Lender shall be responsible for any other Lender’s failure to make Loans as required. (b) Type of Loans. Subject to Section 2.13, (i) Term Loans. Each Borrowing of a Term Loan shall be constituted entirely of ABR Loans or of Term Benchmark Loans, in each case denominated in Dollars. Each Term Loan Lender at its option may 72 Revolving Credit and Term Loan Agreement


 
make any Term Benchmark Loan by causing any domestic or foreign branch or Affiliate of such Term Loan Lender to make such Term Loan; provided that (x) any exercise of such option shall not affect the obligation of the Borrower to repay such Term Loan in accordance with the terms of this Agreement and (y) in exercising such option, such Term Loan Lender shall use reasonable efforts to minimize any increased costs to the Borrower resulting therefrom (which obligation of the Term Loan Lender shall not require it to take, or refrain from taking, actions that it determines would result in increased costs for which it will not be compensated hereunder or that it determines would be otherwise disadvantageous to it and in the event of such request for costs for which compensation is provided under this Agreement, the provisions of Sections 2.14 and 2.18 shall apply). (ii) (b) Type of Loans. Subject to Section 2.13, eachRevolving Loans. Each Borrowing of a Class of Revolving Loans shall be constituted entirely of ABR Loans, RFR Loans or of Term Benchmark Loans of such Class denominated in a single Currency as the Borrower may request in accordance herewith. Each such ABR Loan shall be denominated in Dollars. Each such Term Benchmark Loan shall be denominated in Dollars or an Agreed Foreign Currency (other than Sterling). Each RFR Loan shall be denominated in Sterling. Each Revolving Lender at its option may make any such Term Benchmark Loan or RFR Loan by causing any domestic or foreign branch or Affiliate of such Revolving Lender to make such Revolving Loan; provided that (x) any exercise of such option shall not affect the obligation of the Borrower to repay such Revolving Loan in accordance with the terms of this Agreement and (y) in exercising such option, such Revolving Lender shall use reasonable efforts to minimize any increased costs to the Borrower resulting therefrom (which obligation of the Revolving Lender shall not require it to take, or refrain from taking, actions that it determines would result in increased costs for which it will not be compensated hereunder or that it determines would be otherwise disadvantageous to it and in the event of such request for costs for which compensation is provided under this Agreement, the provisions of Sections 2.14 and 2.18 shall apply). (c) Minimum Amounts. Each Term Benchmark Borrowing and RFR Borrowing shall be in an aggregate amount of $1,000,000 or a larger multiple of $1,000,000, and each ABR Borrowing or Swingline Borrowing shall be in an aggregate amount of $1,000,000 or a larger multiple of $100,000; provided that an ABR Borrowing of a Class may be in an aggregate amount that is equal to the entire unused balance of the total of the applicable Commitments of such Class or, in the case of a Class of Revolving Loans, that is required to finance the reimbursement of an LC Disbursement of such Class of Revolving Loans as contemplated by Section 2.05(f). Borrowings of more than one Class, Currency and Type may be outstanding at the same time. (d) Limitations on Interest Periods. Notwithstanding any other provision of this Agreement, the Borrower shall not be entitled to request (or to elect to convert to or continue 73 Revolving Credit and Term Loan Agreement


 
as a Term Benchmark Borrowing) any Borrowing if the Interest Period requested therefor would end after the Final Maturity Date. (e) Treatment of Classes of Revolving Loans and Letters of Credit. Notwithstanding anything to the contrary contained herein, with respect to each Revolving Loan or Letter of Credit designated in Dollars, unless otherwise requested by the Borrower, the Administrative Agent shall deem the Borrower to have requested that such Revolving Loan or Letter of Credit be applied ratably to each of the Dollar Revolving Credit Commitments and the Multicurrency Revolving Credit Commitments, based upon the percentage of the aggregate Revolving Credit Commitments represented by the Dollar Revolving Credit Commitments and the Multicurrency Revolving Credit Commitments, respectively. SECTION 2.03. Requests for Borrowings. (a) Notice by the Borrower. To request a Borrowing (other than a Swingline Loan), the Borrower shall notify the Administrative Agent of such request by electronic mail or telephone or by delivery of a signed Borrowing Request (i) in the case of a Term Benchmark Borrowing denominated in Dollars, not later than 11:00 a.m12:00 p.m., New York City time, three (3) Business Days before the date of the proposed Borrowing, (ii) in the case of a Term Benchmark Borrowing of Revolving Loans denominated in a Foreign Currency, not later than 11:00 a.m12:00 p.m., New York City time, four (4) Business Days before the date of the proposed Borrowing, (iii) in the case of a RFR Borrowing of Revolving Loans, not later than 11:00 a.m12:00 p.m., New York City time, four (4) Business Days before the date of the proposed Borrowing or (iv) in the case of an ABR Borrowing, not later than 11:00 a.m12:00 p.m., New York City time, on the date of the proposed Borrowing. Each such request made by electronic mail or telephone shall be irrevocable and shall be confirmed promptly by hand delivery or telecopy or electronic mail to the Administrative Agent of a written Borrowing Request. At the Borrower’s option, the Borrower may deliver an updated Borrowing Base Certificate in connection with any Borrowing Request for a Revolving Loan for the purposes of determining the then-current Covered Debt Amount. (b) Content of Borrowing Requests. Each telephonic and written (including by e-mail) Borrowing Request shall specify the following information in compliance with Section 2.02: (i) whether such Borrowing is to be a Revolving Borrowing or a Term Loan Borrowing and, in the case of a Revolving Borrowing, whether such Revolving Borrowing is to be made under the Dollar Revolving Credit Commitments or the Multicurrency Revolving Credit Commitments or pro rata pursuant to Section 2.02(e); (ii) the aggregate amount and, in the case of a Revolving Borrowing, the Currency of the requested Borrowing; (iii) the date of such Borrowing, which shall be a Business Day; 74 Revolving Credit and Term Loan Agreement


 
(iv) in the case of a Term Loan Borrowing or a Revolving Borrowing denominated in Dollars, whether such Borrowing is to be an ABR Borrowing or a Term Benchmark Borrowing; (v) in the case of a Revolving Borrowing denominated in an Agreed Foreign Currency, whether such Revolving Borrowing is to be a Term Benchmark Borrowing or a RFR Borrowing; (vi) in the case of a Term Benchmark Borrowing, the Interest Period therefor, which shall be a period contemplated by the definition of “Interest Period” and permitted under Section 2.02(d); and (vii) the location and number of the Borrower’s account (or such other account(s) as the Borrower may designate in a written Borrowing Request accompanied by information reasonably satisfactory to the Administrative Agent as to the identity and purpose of such other account(s)) to which funds are to be disbursed, which will comply with the requirements of Section 2.06. (c) Notice by the Administrative Agent to the Lenders. Promptly following receipt of a Borrowing Request in accordance with this Section 2.03, the Administrative Agent shall advise each applicable Lender of the details thereof and of the amounts of such Lender’s Loan to be made as part of the requested Borrowing. (d) Failure to Elect. If no election as to the Currency of a Revolving Borrowing is specified in a Borrowing Request, then the requested Revolving Borrowing shall be denominated in Dollars. If no election as to the Type of a Term Loan Borrowing or Revolving Borrowing is specified, then the requested Borrowing shall be a Term Benchmark Borrowing having an Interest Period of one month and, in the case of a Revolving Borrowing, if an Agreed Foreign Currency has been specified, the requested Revolving Borrowing shall be a Term Benchmark Borrowing denominated in such Agreed Foreign Currency and having an Interest Period of one month; provided that, if the specified Agreed Foreign Currency is Sterling, the requested Revolving Borrowing shall be a RFR Borrowing. If a Revolving Borrowing or Term Loan Borrowing that is a Term Benchmark Borrowing is requested but no Interest Period is specified, (i) in the case of a Term Loan Borrowing, or if the Currency specified for sucha Revolving Borrowing is Dollars (or if no Currency has been so specified), in either such case, the requested Borrowing shall be a Term Benchmark Borrowing denominated in Dollars having an Interest Period of one month’s duration, and (ii) in the case of a Revolving Borrowing, if the Currency specified for such Revolving Borrowing is an Agreed Foreign Currency (other than Sterling), the Borrower shall be deemed to have selected an Interest Period of one month’s duration. SECTION 2.04. Swingline Loans. (a) Agreement to Make Swingline Loans. Subject to the terms and conditions set forth herein, each Swingline Lender severally agrees to make Swingline Loans under the Multicurrency Revolving Credit Commitment to the Borrower from time to time during the Revolving Availability Period, in Dollars, or, to the extent agreed to by each Swingline 75 Revolving Credit and Term Loan Agreement


 
Lender, any Agreed Foreign Currency, in an aggregate principal amount at any time outstanding that will not result in (i) the aggregate principal amount of outstanding Swingline Loans exceeding $25,000,000 (or the Dollar Equivalent thereof in the case of Swingline Loans made in an Agreed Foreign Currency), (ii) the sum of any Swingline Lender’s outstanding Multicurrency Revolving Loans, its Multicurrency LC Exposure and its outstanding Swingline Loans exceeding its Multicurrency Revolving Credit Commitment; (iii) the total Revolving Multicurrency Credit Exposures exceeding the aggregate Multicurrency Revolving Credit Commitments or (iv) the total Covered Debt Amount exceeding the Borrowing Base then in effect; provided that no Swingline Lender shall be required to make a Swingline Loan to refinance an outstanding Swingline Loan. Within the foregoing limits and subject to the terms and conditions set forth herein, the Borrower may borrow, repay, prepay and reborrow Swingline Loans. (b) Notice of Swingline Loans by the Borrower. To request a Swingline Loan, the Borrower shall notify the Administrative Agent of such request by telephone (confirmed by telecopy or electronic communication) not later than 2:00 p.m., New York City time, on the day of such proposed Swingline Loan. Each such notice shall be irrevocable and shall specify the Swingline Lender from which such Swingline Loan shall be made (the “Requested Swingline Lender”), the requested date (which shall be a Business Day) and, the amount of the requested Swingline Loan and whether such Swingline Loan is to be denominated in Dollars or an Agreed Foreign Currency shall be requested (and if the latter, the Agreed Foreign Currency requested). The Administrative Agent will promptly advise the applicable Swingline Lender of any such notice received from the Borrower. Each , and if an Agreed Foreign Currency is requested, the Agreed Foreign Currency. If an Agreed Foreign Currency is requested, the Requested Swingline Lender will promptly inform the Administrative if it is willing to lend in the Agreed Foreign Currency. If the Requested Swingline Lender has approved the making of the requested Swingline Loan in the Agreed Foreign Currency requested by the Borrower, or if the Swingline Loan requested by the Borrower is denominated in Dollars, the Requested Swingline Lender shall make each applicableits Swingline Loan available to the Borrower by means of a credit to the Borrower’s account specified in Section 2.03(b)(vii) (or, in the case of a Swingline Loan made to finance the reimbursement of an LC Disbursement as provided in Section 2.05(f), by remittance to the applicable Issuing Bank) by 3:00 p.m., New York City time, on the requested date of such Swingline Loan. (c) Participations by Lenders in Swingline Loans. Any Swingline Lender may by written notice given to the Administrative Agent not later than 10:00 a.m., New York City time on any Business Day, require the Multicurrency Revolving Lenders to acquire participations on such Business Day in all or a portion of such Swingline Loans, and the Multicurrency Revolving Lenders shall participate in such Swingline Loans (and in the event any such Swingline Loan is not repaid within five (5) Business Days and the Borrower has submitted a Borrowing Request in accordance with Section 2.03, such Swingline Loan shall be converted to a Term Benchmark Loan denominated in Dollars having an Interest Period of one (1) month’s duration made ratably by the Multicurrency Revolving Lenders and shall no longer constitute a Swingline Loan). Such notice to the Administrative Agent shall specify the aggregate amount of Swingline Loans in which the Multicurrency Revolving Lenders will participate. Promptly upon receipt of such notice, the Administrative Agent will give notice 76 Revolving Credit and Term Loan Agreement


 
thereof to each Multicurrency Revolving Lender specifying in such notice such Lender’s Applicable Multicurrency Revolving Percentage of such Swingline Loan or Loans. Each Multicurrency Revolving Lender hereby absolutely and unconditionally agrees, upon receipt of notice as provided above in this paragraph, to pay to the Administrative Agent, for account of any applicable Swingline Lender, such Lender’s Applicable Multicurrency Revolving Percentage of the applicable Swingline Loan or Loans. Subject to the foregoing, each Multicurrency Revolving Lender acknowledges and agrees that its obligation to acquire participations in Swingline Loans pursuant to this paragraph (c) is absolute and unconditional and shall not be affected by any circumstance whatsoever, including the occurrence and continuance of a Default or reduction or termination of the Multicurrency Revolving Credit Commitments, and that each such payment shall be made without any offset, abatement, withholding or reduction whatsoever. Each Multicurrency Revolving Lender shall comply with its obligation under this paragraph by wire transfer of immediately available funds, in the same manner as provided in Section 2.06 with respect to Loans made by such Multicurrency Revolving Lender (and Section 2.06 shall apply, mutatis mutandis, to the payment obligations of the Lenders), and the Administrative Agent shall promptly pay to the Swingline Lender the amounts so received by it from the Multicurrency Revolving Lenders. The Administrative Agent shall notify the Borrower of any participations in any Swingline Loan acquired pursuant to this paragraph, and thereafter payments in respect of such Swingline Loan shall be made to the Administrative Agent and not to the applicable Swingline Lender. Any amounts received by a Swingline Lender from the Borrower (or other party on behalf of the Borrower) in respect of a Swingline Loan after receipt by such Swingline Lender of the proceeds of a sale of participations therein shall be promptly remitted to the Administrative Agent; any such amounts received by the Administrative Agent shall be promptly remitted by the Administrative Agent to the Multicurrency Revolving Lenders that shall have made their payments pursuant to this paragraph and to the applicable Swingline Lender, as their interests may appear. The purchase of participations in a Swingline Loan pursuant to this paragraph shall not relieve the Borrower of any default in the payment thereof. (d) Replacement of Any Swingline Lender. Any Swingline Lender may be replaced at any time by written agreement among the Borrower, the Administrative Agent, the replaced Swingline Lender and the successor Swingline Lender. The Administrative Agent shall notify the Multicurrency Revolving Lenders of any such resignation and replacement of any Swingline Lender. In addition, if any Swingline Lender, in its capacity as a Lender, assigns all of its Revolving Loans and Revolving Credit Commitments in connection with the terms of this Agreement, such Swingline Lender shall be deemed to have automatically resigned as a Swingline Lender hereunder. The Administrative Agent shall notify the Multicurrency Revolving Lenders of any such replacement of any Swingline Lender. At the time any such replacement or resignation shall become effective, the Borrower shall pay all unpaid fees accrued for the account of the replaced or resigning Swingline Lender pursuant to Section 2.11. From and after the effective date of any such replacement, (i) the successor Swingline Lender shall have all the rights and obligations of the replaced Swingline Lender under this Agreement with respect to Swingline Loans to be made thereafter and (ii) references herein to the term “Swingline Lender” and/or “Swingline Lenders” shall be deemed to refer to such successor or successors (and the other current Swingline Lenders, if applicable) or to any previous Swingline Lender, or to such successor or successors (and all other current Swingline Lenders) and all 77 Revolving Credit and Term Loan Agreement


 
previous Swingline Lenders, as the context shall require. After the replacement or resignation of an Swingline Lender hereunder, the replaced or resigning Swingline Lender shall have no obligation to make additional Swingline Loans. (e) Designation of Additional Swingline Lenders. The Borrower may, at any time and from time to time, with the consent of the Administrative Agent (which consent shall not be unreasonably withheld), designate as additional Swingline Lenders one (1) or more Revolving Lenders (provided that such Revolving Lenders, to the extent applicable, have complied with the requirements of Section 9.04) that agree to serve in such capacity as provided below. The acceptance by a Revolving Lender of an appointment as a Swingline Lender hereunder shall be evidenced by an agreement, which shall be in form and substance reasonably satisfactory to the Administrative Agent, executed by the Borrower, the Administrative Agent and such designated Revolving Lender and, from and after the effective date of such agreement, (i) such Revolving Lender shall have all the rights and obligations of a Swingline Lender under this Agreement and the other Loan Documents and (ii) references herein or therein to the term “Swingline Lender” shall be deemed to include such Revolving Lender in its capacity as a maker of Swingline Loans hereunder. SECTION 2.05. Letters of Credit. (a) General. Subject to the terms and conditions set forth herein, in addition to the Loans provided for in Section 2.01, (i) the Borrower may request any Issuing Bank to issue, and (ii) each Issuing Bank severally agrees to issue, at any time and from time to time during the Revolving Availability Period and under either the Dollar Revolving Credit Commitments or, solely in the case of an Issuing Bank that is a Multicurrency Revolving Lender, under the Multicurrency Revolving Credit Commitments, Letters of Credit denominated in Dollars or (in the case of Letters of Credit under the Multicurrency Revolving Credit Commitments) in any Agreed Foreign Currency for its own account or the account of its designee (provided that the Obligors shall remain primarily liable to the Revolving Lenders hereunder for payment and reimbursement of all amounts payable in respect of the Letters of Credit hereunder) in such form as is acceptable to such Issuing Bank in its reasonable determination and for the benefit of such named beneficiary or beneficiaries as are specified by the Borrower. Letters of Credit issued hereunder shall constitute utilization of the Revolving Credit Commitments up to the aggregate amount available to be drawn thereunder. (b) Notice of Issuance, Amendment, Renewal or Extension. To request the issuance of a Letter of Credit (or the amendment, renewal or extension of an outstanding Letter of Credit), the Borrower shall hand deliver or telecopy (or transmit by electronic communication, if arrangements for doing so have been approved by such Issuing Bank) to any Issuing Bank and the Administrative Agent (reasonably in advance of, which shall not be required to exceed five Business Days in advance of, the requested date of issuance, amendment, renewal or extension) a notice requesting the issuance of a Letter of Credit, or identifying the Letter of Credit to be amended, renewed or extended, and specifying the date of issuance, amendment, renewal or extension (which shall be a Business Day), the date on which such Letter of Credit is to expire (which shall comply with paragraph (d) of this Section 2.05), the amount and Currency of such Letter of Credit, whether such Letter of Credit is to be issued under the Dollar Revolving Credit Commitments or the Multicurrency Revolving Credit Commitments, the name and address of 78 Revolving Credit and Term Loan Agreement


 
the beneficiary thereof and such other information as shall be necessary to prepare, amend, renew or extend such Letter of Credit. If requested by the applicable Issuing Bank, the Borrower also shall submit a letter of credit application on such Issuing Bank’s standard form in connection with any request for a Letter of Credit. In the event of any inconsistency between the terms and conditions of this Agreement and the terms and conditions of any form of letter of credit application or other agreement submitted by the Borrower to, or entered into by the Borrower with, any Issuing Bank relating to any Letter of Credit, the terms and conditions of this Agreement shall control. At the Borrower’s option, the Borrower may deliver an updated Borrowing Base Certificate in connection with any issuance of a Letter of Credit for the purposes of determining the then-current Covered Debt Amount. (c) Limitations on Amounts. A Letter of Credit shall be issued, amended, renewed or extended only if (and upon issuance, amendment, renewal or extension of each Letter of Credit the Borrower shall be deemed to represent and warrant that), after giving effect to such issuance, amendment, renewal or extension (i) the aggregate LC Exposure of the applicable Issuing Bank requested to issue such Letter of Credit (determined for these purposes without giving effect to the participations therein of the Revolving Lenders pursuant to paragraph (e) of this Section 2.05) shall not exceed the amount set forth opposite the name of such Issuing Bank on Schedule 2.05 (or such greater amount as such Issuing Bank may agree in its sole discretion); (ii) the total Revolving Dollar Credit Exposures shall not exceed the aggregate Dollar Revolving Credit Commitments at such time; (iii) the total Revolving Multicurrency Credit Exposures shall not exceed the aggregate Multicurrency Revolving Credit Commitments at such time; and (iv) the Covered Debt Amount shall not exceed the Borrowing Base then in effect. (d) Expiration Date. Each Letter of Credit shall expire at or prior to the close of business on the date twelve months after the date of the issuance of such Letter of Credit (or, in the case of any renewal or extension thereof, twelve months after the then-current expiration date of such Letter of Credit, so long as such renewal or extension occurs within three months of such then-current expiration date); provided that any Letter of Credit with a one-year term may provide for the renewal thereof for additional one-year periods. No Letter of Credit may be renewed following the earlier to occur of the Revolving Commitment Termination Date and the Termination Date, except with the consent of the applicable Issuing Bank and to the extent that the relevant Letter of Credit is Cash Collateralized no later than five Business Days prior to the Revolving Commitment Termination Date or Termination Date, as applicable or supported by another letter of credit, in each case pursuant to arrangements reasonably satisfactory to the applicable Issuing Bank and the Administrative Agent. (e) Participations. By the issuance of a Letter of Credit of a Class of Revolving Loans (or an amendment to a Letter of Credit increasing the amount thereof) by an Issuing Bank, and without any further action on the part of such Issuing Bank or the Revolving Lenders, such Issuing Bank hereby grants to each Dollar Revolving Lender and Multicurrency Revolving Lender, in the case of a Letter of Credit denominated in Dollars, and each Multicurrency Revolving Lender, in the case of a Letter of Credit denominated in an Agreed Foreign Currency, and each such Lender of such Class of Revolving Loans hereby acquires from such Issuing Bank, a participation in such Letter of Credit equal to such Dollar Revolving Lender’s and Multicurrency Revolving Lender’s Applicable Revolving Percentage, in the case of a Letter of Credit denominated in Dollars, or Applicable Multicurrency Revolving Percentage, 79 Revolving Credit and Term Loan Agreement


 
in the case of a Letter of Credit denominated in an Agreed Foreign Currency, of the aggregate amount available to be drawn under such Letter of Credit. Each Revolving Lender acknowledges and agrees that its obligation to acquire participations pursuant to this paragraph (e) in respect of Letters of Credit is absolute and unconditional and shall not be affected by any circumstance whatsoever, including any amendment, renewal or extension of any Letter of Credit or the occurrence and continuance of a Default or reduction or termination of the applicable Revolving Credit Commitments; provided that no Revolving Lender shall be required to purchase a participation in a Letter of Credit pursuant to this Section 2.05(e) if (x) the conditions set forth in Section 4.02 would not be satisfied in respect of a Borrowing at the time such Letter of Credit was issued and (y) the Administrative Agent or any Revolving Lender shall have so notified such Issuing Bank in writing at least two (2) Business Days prior to the requested date of issuance of such Letter of Credit and shall not have subsequently determined that the circumstances giving rise to such conditions not being satisfied no longer exist. Unless an Issuing Bank has received written notice from any Revolving Lender, the Administrative Agent or the Borrower, at least two (2) Business Days prior to the requested date of issuance of the applicable Letter of Credit, that one or more applicable conditions contained in Section 4.02 shall not then be satisfied, then, subject to the terms and conditions hereof, such Issuing Bank shall be entitled to assume all such conditions are satisfied. In consideration and in furtherance of the foregoing, each Revolving Lender of a Class of Revolving Loans hereby absolutely and unconditionally agrees to pay to the Administrative Agent, for the account of each Issuing Bank, such Revolving Lender’s Applicable Dollar Revolving Percentage, in the case of a Letter of Credit denominated in Dollars, or such MulticurrencyRevolving Lender’s Applicable Multicurrency Revolving Percentage, in the case of a Letter of Credit denominated in an Agreed Foreign Currency, of each LC Disbursement made by such Issuing Bank in respect of Letters of Credit of such Class promptly upon the request of such Issuing Bank at any time from the time of such LC Disbursement until such LC Disbursement is reimbursed by the Borrower or at any time after any reimbursement payment is required to be refunded to the Borrower for any reason. Such payment shall be made without any offset, abatement, withholding or reduction whatsoever. Each such payment shall be made in the same manner as provided in Section 2.06 with respect to Revolving Loans made by such Revolving Lender (and Section 2.06 shall apply, mutatis, mutandis, to the payment obligations of the Revolving Lenders), and the Administrative Agent shall promptly pay to the applicable Issuing Bank the amounts so received by it from the Revolving Lenders. Promptly following receipt by the Administrative Agent of any payment from the Borrower pursuant to the next following paragraph (f), the Administrative Agent shall distribute such payment to the applicable Issuing Bank or, to the extent that the Revolving Lenders have made payments pursuant to this paragraph (e) to reimburse such Issuing Bank, then to such Revolving Lenders and such Issuing Bank as their interests may appear. Any payment made by a Revolving Lender pursuant to this paragraph (e) to reimburse an Issuing Bank for any LC Disbursement shall not constitute a Loan and shall not relieve the Borrower of its obligation to reimburse such LC Disbursement. (f) Reimbursement. If an Issuing Bank shall make any LC Disbursement in respect of a Letter of Credit, the Borrower shall reimburse such Issuing Bank in respect of such LC Disbursement by paying to the Administrative Agent an amount equal to such LC Disbursement in the Currency in which such Letter of Credit is denominated not later than 3:00 80 Revolving Credit and Term Loan Agreement


 
p.m., New York City time, on (i) the Business Day that the Borrower receives notice of such LC Disbursement, if such notice is received prior to 10:00 a.m., New York City time, or (ii) the Business Day immediately following the day that the Borrower receives such notice, if such notice is not received prior to such time; provided that, if such LC Disbursement is not less than $1,000,000 (or such smaller amount as may be agreed to by the Administrative Agent) and is denominated in Dollars, the Borrower may, subject to the conditions to borrowing set forth herein (other than any minimum amounts, including as set forth in Section 2.02(c)), request in accordance with Section 2.03 or 2.04 that such payment be financed with an ABR Borrowing under the Revolving Facility or a Swingline Loan of the respective Class of Revolving Loans in an equivalent amount and, to the extent so financed, the Borrower’s obligation to make such payment shall be discharged and replaced by the resulting ABR Borrowing or Swingline Loan. If the Borrower fails to make such payment when due, the Administrative Agent shall notify each affected Revolving Lender of the applicable LC Disbursement, the payment then due from the Borrower in respect thereof and such Revolving Lender’s Applicable Dollar Revolving Percentage, in the case of a Letter of Credit denominated in Dollars, or such MulticurrencyRevolving Lender’s Applicable Multicurrency Revolving Percentage, in the case of a Letter of Credit denominated in an Agreed Foreign Currency, thereof. (g) Obligations Absolute. The Borrower’s obligation to reimburse LC Disbursements as provided in paragraph (f) of this Section 2.05 shall be absolute, unconditional and irrevocable, and shall be performed strictly in accordance with the terms of this Agreement under any and all circumstances whatsoever and irrespective of (i) any lack of validity or enforceability of any Letter of Credit, or any term or provision therein, (ii) any draft or other document presented under a Letter of Credit proving to be forged, fraudulent or invalid in any respect or any statement therein being untrue or inaccurate in any respect, (iii) payment by an Issuing Bank under a Letter of Credit against presentation of a draft or other document that does not comply strictly with the terms of such Letter of Credit, and (iv) any other event or circumstance whatsoever, whether or not similar to any of the foregoing, that might, but for the provisions of this Section 2.05, constitute a legal or equitable discharge of the Borrower’s obligations hereunder. None of the Administrative Agent, the Lenders, the Issuing Banks or any of their respective Related Parties shall have any liability or responsibility by reason of or in connection with the issuance or transfer of any Letter of Credit by the Issuing Banks or any payment or failure to make any payment thereunder (irrespective of any of the circumstances referred to in the preceding sentence), or any error, omission, interruption, loss or delay in transmission or delivery of any draft, notice or other communication under or relating to any Letter of Credit (including any document required to make a drawing thereunder), any error in interpretation of technical terms or any consequence arising from causes beyond the control of the Issuing Banks; provided that the foregoing shall not be construed to excuse any Issuing Bank from liability to the Borrower to the extent of any direct damages (as opposed to consequential damages, claims in respect of which are hereby waived by the Borrower to the extent permitted by applicable law) suffered by the Borrower that are caused by such Issuing Bank’s fraud, gross negligence or willful misconduct when determining whether drafts and other documents presented under a 81 Revolving Credit and Term Loan Agreement


 
Letter of Credit comply with the terms thereof as determined by a court of competent jurisdiction in a final and non-appealable judgment. The parties hereto expressly agree that: (i) the Issuing Banks may accept documents that appear on their face to be in substantial compliance with the terms of a Letter of Credit without responsibility for further investigation, regardless of any notice or information to the contrary, and may make payment upon presentation of documents that appear on their face to be in substantial compliance with the terms of such Letter of Credit; (ii) the Issuing Banks shall have the right, in their sole discretion, to decline to accept such documents and to make such payment if such documents are not in strict compliance with the terms of such Letter of Credit; and (iii) this sentenceSection 2.05(g) shall establish the standard of care to be exercised by the Issuing Banks when determining whether drafts and other documents presented under a Letter of Credit comply with the terms thereof (and the parties hereto hereby waive, to the extent permitted by applicable law, any standard of care inconsistent with the foregoing). (h) Disbursement Procedures. Each Issuing Bank shall, within a reasonable time following its receipt thereof, examine all documents purporting to represent a demand for payment under a Letter of Credit issued by such Issuing Bank. The applicable Issuing Bank shall promptly after such examination notify the Administrative Agent and the Borrower by telephone (confirmed by telecopy or electronic communication) of such demand for payment and whether such Issuing Bank has made or will make an LC Disbursement thereunder; provided that any failure to give or delay in giving such notice shall not relieve the Borrower of its obligation to reimburse such Issuing Bank and the applicable Revolving Lenders with respect to any such LC Disbursement. (i) Interim Interest. If any Issuing Bank shall make any LC Disbursement, then, unless the Borrower shall reimburse such LC Disbursement in full on the date such LC Disbursement is made, the unpaid amount thereof shall bear interest, for each day from and including the date such LC Disbursement is made to but excluding the date that the Borrower reimburses such LC Disbursement, at the rate per annum then applicable to ABR Loans under the Revolving Facility; provided that, if the Borrower fails to reimburse such LC Disbursement within two (2) Business Days following the date when due pursuant to paragraph (f) of this Section 2.05, then the provisions of Section 2.12(c) shall apply. Interest accrued pursuant to this paragraph (i) shall be for the account of the applicable Issuing Bank, except that interest accrued on and after the date of payment by any Revolving Lender pursuant to paragraph (f) of this Section 2.05 to reimburse such Issuing Bank shall be for the account of such Revolving Lender to the extent of such payment. (j) Resignation and/or Replacement of an Issuing Bank. Any Issuing Bank may be replaced at any time by written agreement among the Borrower, the Administrative Agent, the replaced Issuing Bank and the successor Issuing Bank. In addition, any Issuing Bank may resign as an Issuing Bank hereunder upon not less than three (3) Business Days prior written notice to the Administrative Agent and the Borrower; provided further that if any Issuing Bank, 82 Revolving Credit and Term Loan Agreement


 
in its capacity as a Revolving Lender, assigns all of its Revolving Loans and Revolving Credit Commitments in accordance with the terms of this Agreement, such Issuing Bank may, with the prior written consent of the Borrower (such consent not to be unreasonably withheld or delayed; provided that no consent of the Borrower shall be required if an Event of Default under clause (a), (b), (i), (j) or (k) of Article VII has occurred and is continuing), resign as an Issuing Bank hereunder upon not less than thirty days prior written notice to the Administrative Agent and the Borrower; provided, further, that, in determining whether to give any such consent, the Borrower may consider (in its reasonable discretion), among other factors, the sufficiency of availability of Letters of Credit hereunder. The Administrative Agent shall notify the Revolving Lenders of any such resignation and replacement of an Issuing Bank. Upon the effectiveness of any resignation or replacement of an Issuing Bank, the Borrower shall pay all unpaid fees accrued for the account of the resigning or replaced Issuing Bank pursuant to Section 2.11(b). From and after the effective date of the appointment of a successor Issuing Bank, (i) the successor Issuing Bank shall have all the rights and obligations of the replaced Issuing Bank under this Agreement with respect to Letters of Credit to be issued thereafter and (ii) references herein to the term “Issuing Bank” and/or “Issuing Banks” shall be deemed to refer to such successor or successors (and the other current Issuing Banks, if applicable) or to any previous Issuing Bank, or to such successor or successors (and all other current Issuing Banks) and all previous Issuing Banks, as the context shall require. After the effective replacement or resignation of any Issuing Bank hereunder, the resigning or replaced Issuing Bank, as the case may be, shall remain a party hereto and shall continue to have all the rights and obligations of an Issuing Bank under this Agreement with respect to Letters of Credit issued by it prior to such resignation or replacement, but shall not be required to issue additional Letters of Credit. (k) Cash Collateralization. If the Borrower shall be required to provide Cash Collateral for LC Exposure pursuant to Section 2.05(d), Section 2.09(a), Section 2.10(b) or (c) or the penultimate paragraph of Article VII, the Borrower shall promptly, but in any event within five (5) Business Days, deposit into a segregated collateral account or accounts (herein, collectively, the “Letter of Credit Collateral Account”) in the name and under the dominion and control of the Administrative Agent, for the benefit of the Revolving Lenders, Cash denominated in the Currency of the Letter of Credit under which such LC Exposure arises in an amount equal to the amount required under Section 2.05(c), Section 2.09(a), Section 2.10(b) or (c), or the penultimate paragraph of Article VII, as applicable. Such deposit shall be held by the Administrative Agent as collateral in the first instance for the LC Exposure under this Agreement and thereafter for the payment of the “Secured Obligations” under and as defined in the Guarantee and Security Agreement, and for these purposes the Borrower hereby grants a security interest to the Administrative Agent for the benefit of the Revolving Lenders in the Letter of Credit Collateral Account and in any financial assets (as defined in the Uniform Commercial Code) or other property held therein. If the Borrower is required to provide Cash Collateral hereunder as a result of the occurrence of an Event of Default, such Cash Collateral (to the extent not applied as set forth in this Section 2.05(k)) shall be returned to the Borrower promptly after all Events of Default have been cured or waived. If the Borrower is required to provide Cash Collateral hereunder pursuant to Section 2.10(b)(ii), such Cash Collateral (to the extent not applied as set forth in this Section 2.05(k)) shall be returned to the Borrower promptly as and to the extent that, after giving effect to such return, the aggregate Revolving 83 Revolving Credit and Term Loan Agreement


 
Multicurrency Credit Exposures would not exceed the aggregate Multicurrency Revolving Credit Commitments. (l) No Obligation to Issue After Certain Events. No Issuing Bank shall be under any obligation to issue any Letter of Credit if: any order, judgment or decree of any Governmental Authority or arbitrator shall by its terms purport to enjoin or restrain such Issuing Bank from issuing such Letter of Credit, or any law applicable to such Issuing Bank or any request or directive (whether or not having the force of law) from any Governmental Authority with jurisdiction over such Issuing Bank shall prohibit, or request that such Issuing Bank shall refrain from, the issuance of letters of credit generally or such Letter of Credit in particular or shall impose upon such Issuing Bank with respect to such Letter of Credit any restriction, reserve or capital requirement (for which such Issuing Bank is not otherwise compensated hereunder) not in effect on the Effective Date, or shall impose upon such Issuing Bank any unreimbursed loss, cost or expense which was not applicable on the Effective Date and which such Issuing Bank in good faith deems material to it, or the issuance of such Letter of Credit would violate one or more policies of such Issuing Bank applicable to letters of credit generally. (m) Applicability of ISP and UCP. Unless otherwise expressly agreed by the Issuing Banks and the Borrower when a Letter of Credit is issued, (i) the rules of the International Standby Practices shall apply to each standby Letter of Credit, and (ii) the rules of the Uniform Customs and Practice for Documentary Credits, as most recently published by the International Chamber of Commerce at the time of issuance shall apply to each commercial Letter of Credit. (n) Additional Issuing Banks. From time to time, the Borrower may, by notice to the Administrative Agent, designate one or more additional Revolving Lenders as an Issuing Bank, so long as each such Revolving Lender agrees (in its sole discretion) to act in such capacity and is reasonably satisfactory to the Administrative Agent; provided that each such notice shall include an updated Schedule 2.05; provided, further, that the Borrower shall not update Schedule 2.05 to increase any Issuing Bank’s maximum LC Exposure without such Issuing Bank’s consent. Each such additional Issuing Bank shall execute a counterpart of this Agreement upon the approval of the Administrative Agent (which approval shall not be unreasonably withheld, delayed or conditioned) and shall thereafter be an Issuing Bank hereunder for all purposes. SECTION 2.06. Funding of Borrowings. (a) Funding by Lenders. Each Lender shall make each Loan to be made by it hereunder on the proposed date thereof by wire transfer of immediately available funds by (i) in the case of any Loan (other than an ABR Borrowing), 11:00 a.m12:00 p.m. New York City time, and (ii) in the case of any Loan that is an ABR Borrowing, 1:00 p.m2:00 p.m. New York City time, in each case, to the account of the Administrative Agent most recently designated by it for such purpose by notice to the Lenders; provided that Swingline Loans shall be made as provided in Section 2.04. The Administrative Agent will make such Loans available to the Borrower by promptly crediting the amounts so received, in like funds, to an account of the Borrower designated by the Borrower in the applicable Borrowing Request; provided that ABR 84 Revolving Credit and Term Loan Agreement


 
Borrowings made to finance the reimbursement of an LC Disbursement as provided in Section 2.05(f) shall be remitted by the Administrative Agent to the applicable Issuing Bank. (b) Presumption by the Administrative Agent. Unless the Administrative Agent shall have received notice from a Lender prior to the proposed funding deadline of any Borrowing set forth in clause (a) of this Section 2.06 or clause (b) of Section 2.04 in the case of a Swingline Lender, that such Lender will not make available to the Administrative Agent such Lender’s share of such Borrowing or Swingline Loan, as applicable, the Administrative Agent may assume that such Lender has made such share available on such date in accordance with clause (a) of this Section 2.06 or clause (b) of Section 2.04 in the case of a Swingline Lender, and may, in reliance upon such assumption, make available to the Borrower a corresponding amount. In such event, if a Lender has not in fact made its share of the applicable Borrowing available to the Administrative Agent, then the applicable Lender and the Borrower severally agree to pay to the Administrative Agent forthwith on demand such corresponding amount with interest thereon, for each day from and including the date such amount is made available to the Borrower to but excluding the date of payment to the Administrative Agent, at (i) in the case of such Lender, the Federal Funds Effective Rate or (ii) in the case of the Borrower, the interest rate applicable to ABR Loans. If such Lender pays such amount to the Administrative Agent, then such amount shall constitute such Lender’s Loan included in such Borrowing. Nothing in this paragraph shall relieve any Lender of its obligation to fulfill its commitments hereunder, and this paragraph shall be without prejudice to any claim the Borrower may have against a Lender that shall have failed to make such payment to the Administrative Agent. SECTION 2.07. Interest Elections. (a) Elections by the Borrower for Borrowings. Subject to Section 2.03(d), the Loans constituting each Borrowing initially shall be of the Type specified in the applicable Borrowing Request and, in the case of a Term Benchmark Borrowing, shall have the Interest Period specified in such Borrowing Request. Thereafter, the Borrower may elect to convert such Borrowing to a Borrowing of a different Type permitted under Section 2.02(b) or to continue such Borrowing as a Borrowing of the same Type and, in the case of a Term Benchmark Borrowing, may elect the Interest Period therefor, all as provided in this Section 2.07; provided, however, that (i) a Borrowing of a Class may only be continued or converted into a Borrowing of the same Class, (ii) except as set forth in Sections 2.13, 2.20(e) and Section 2.21, a Borrowing denominated in one Currency may not be continued as, or converted to, a Borrowing in a different Currency, (iii) no Term Benchmark Borrowing of Revolving Loans denominated in a Foreign Currency may be continued if, after giving effect thereto, the aggregate Revolving Multicurrency Credit Exposures would exceed the aggregate Multicurrency Revolving Credit Commitments and (iv) neither a Term Benchmark Borrowing of Revolving Loans denominated in a Foreign Currency nor a RFR Borrowing of Revolving Loans may be converted to a Borrowing of a different Type. The Borrower may elect different options with respect to different portions of the affected Borrowing, in which case each such portion shall be allocated ratably among the Lenders of the respective Class holding the Loans constituting such Borrowing, and the Loans constituting each such portion shall be considered a separate Borrowing. For the avoidance of doubt, this Section 2.07(a) shall not apply to Swingline 85 Revolving Credit and Term Loan Agreement


 
Borrowings, which may not be converted or continued except in accordance with Section 2.04(c). (b) Notice of Elections. To make an election pursuant to this Section 2.07, the Borrower shall notify the Administrative Agent of such election by telephone or e-mail by the time that a Borrowing Request would be required under Section 2.03 if the Borrower were requesting a Borrowing of the Type resulting from such election to be made on the effective date of such election. Each Interest Election Request delivered by telephone or e-mail shall be irrevocable and shall be confirmed promptly (but no later than the close of business on the date of such request) by hand delivery, telecopy or electronic communication to the Administrative Agent of a written Interest Election Request. (c) Content of Interest Election Requests. Each telephonic and written (including by e-mail) Interest Election Request shall specify the following information in compliance with Section 2.02: (i) the Borrowing (including the Class of Commitment and whether such Borrowing is a Term Loan Borrowing or Revolving Loan Borrowing) to which such Interest Election Request applies and, if different options are being elected with respect to different portions thereof, the portions thereof to be allocated to each resulting Borrowing (in which case the information to be specified pursuant to subclauses (iii) and (iv) of this clause (c) shall be specified for each resulting Borrowing); (ii) the effective date of the election made pursuant to such Interest Election Request, which shall be a Business Day; (iii) whether, in the case of a Revolving Borrowing or Term Loan Borrowing denominated in Dollars, the resulting Borrowing is to be an ABR Borrowing or a Term Benchmark Borrowing; and (iv) if the resulting Borrowing is a Term Benchmark Borrowing, the Interest Period therefor after giving effect to such election, which shall be a period contemplated by the definition of “Interest Period” and permitted under Section 2.02(d). (d) Notice by the Administrative Agent to the Lenders. Promptly following receipt of an Interest Election Request, the Administrative Agent shall advise each applicable Lender of the details thereof and of such Lender’s portion of each resulting Borrowing. (e) Failure to Elect; Events of Default. If the Borrower fails to deliver a timely and complete Interest Election Request with respect to a Term Benchmark Borrowing of Revolving Loans or Term Loans prior to the end of the Interest Period therefor, then, unless such Borrowing is repaid as provided herein, (i) if such Borrowing is denominated in Dollars, at the end of such Interest Period such Borrowing shall be converted to a Term Benchmark Borrowing of the same Class having an Interest Period of one month, and (ii) if such Borrowing is a Revolving Borrowing denominated in a Foreign Currency, the Borrower shall be deemed to have selected an Interest Period of one month. Notwithstanding any contrary provision hereof, if 86 Revolving Credit and Term Loan Agreement


 
an Event of Default has occurred and is continuing and the Administrative Agent, at the request of the Required Revolving Lenders or the Required Term Loan Lenders, as the case may be, so notifies the Borrower, (i) any Term Benchmark Borrowing of Term Loans or Revolving Loans denominated in Dollars shall, at the end of the applicable Interest Period for such Term Benchmark Borrowing, be automatically converted to an ABR Borrowing and (ii) any Term Benchmark Borrowing of Revolving Loans denominated in a Foreign Currency shall not have an Interest Period of more than one month. SECTION 2.08. Termination, Reduction, or Increase of the Commitments. (a) Scheduled Termination. (i) Unless previously terminated, the Revolving Credit Commitments of each Class of Revolving Loans shall terminate on the Revolving Commitment Termination Date. (ii) The Initial Term Loan Commitments shall automatically and permanently terminate on the Amendment No. 2 Effective Date upon the funding of the Term Loans under the Initial Term Loan Facility. (iii) The Incremental Term Loan Commitments under an Incremental Term Loan Facility shall automatically and permanently terminate on the applicable Incremental Term Loan Commitment Effective Date. (b) Voluntary Termination or Reduction of Revolving Credit Commitments. The Borrower may at any time terminate or from time to time reduce, the Revolving Credit Commitments ratably among each Class of Revolving Credit Commitment; provided that (i) each reduction of the Revolving Credit Commitments of a Class shall be in an amount that is $10,000,000 or a larger multiple of $5,000,000 in excess thereof (or, if less, the entire amount of the Revolving Credit Commitments of such Class) and (ii) the Borrower shall not terminate or reduce the Dollar Revolving Credit Commitments of either Classor the Multicurrency Revolving Credit Commitments if, immediately after giving effect to any concurrent prepayment of the Loans of such Class in accordance with Section 2.10, the total Revolving Credit Exposures of such Class would exceed the total Revolving Credit Commitments of such Class. Any such reduction of the Revolving Credit Commitments below the aggregate principal amount of the Swingline Loans permitted under Section 2.04(a)(i) and the aggregate amount of the Letters of Credit permitted under Section 2.05(c)(i) shall result in a dollar-for-dollar reduction of such amounts as applicable. (c) Notice of Voluntary Termination or Reduction of Revolving Credit Commitments. The Borrower shall notify the Administrative Agent of any election to terminate or reduce the Revolving Credit Commitments under clause (b) of this Section 2.08 at least three (3) Business Days prior to the effective date of such termination or reduction (or such lesser period agreed to by the Administrative Agent), specifying such election and the effective date thereof. Promptly following receipt of any notice, the Administrative Agent shall advise the applicable Revolving Lenders of the contents thereof. Each notice delivered by the Borrower 87 Revolving Credit and Term Loan Agreement


 
pursuant to this Section 2.08 shall be irrevocable; provided that a notice of termination or reduction of the Revolving Credit Commitments of a Class of Revolving Loans delivered by the Borrower may state that such notice is conditioned upon the effectiveness of other credit facilities or transactions, in which case such notice may be revoked by the Borrower (by notice to the Administrative Agent on or prior to the specified effective date) if such condition is not satisfied. (d) Effect of Termination or Reduction of Revolving Credit Commitments. Any termination or reduction of the Revolving Credit Commitments of a Class of Revolving Loans pursuant to clause (b) shall be permanent. Each reduction of the Revolving Credit Commitments of a Class of Revolving Loans pursuant to clause (b) shall be made ratably among the Revolving Lenders of such Class of Revolving Loans in accordance with their respective Revolving Credit Commitments. (e) Increase of the Revolving Credit Commitments. (i) Requests for Revolving Credit Commitment Increase by Borrower. The Borrower may, at any time, without premium or penalty under this Agreement, request that the Revolving Credit Commitments hereunder of a Class be increased (each such proposed increase being a “Revolving Credit Commitment Increase”) upon notice to the Administrative Agent (who shall promptly notify the Revolving Lenders), which notice shall specify each existing Revolving Lender (each an “Increasing Revolving Lender”) and/or each additional lender (each an “Assuming Revolving Lender”) that shall have agreed to an additional Revolving Credit Commitment and the date on which such increase is expected to be effective (the date of actual effectiveness, the “Revolving Credit Commitment Increase Date”), which shall be a Business Day at least three (3) Business Days (or such lesser period as the Administrative Agent may reasonably agree) after delivery of such notice and at least thirty (30) days prior to the Revolving Commitment Termination Date; provided that: (A) the minimum amount of the Revolving Credit Commitment of any Assuming Revolving Lender, and the minimum amount of the increase of the Revolving Credit Commitment of any Increasing Revolving Lender, as part of such Revolving Credit Commitment Increase shall be $10,000,000 or a larger multiple of $5,000,000 in excess thereof (or such lesser amount as the Administrative Agent may reasonably agree); (B) immediately after giving effect to such Revolving Credit Commitment Increase, the total Commitments of all of the Lenders hereunderunder this Agreement shall not exceed $300,000,000500,000,000; 88 Revolving Credit and Term Loan Agreement


 
(C) each Assuming Revolving Lender shall be consented to by the Administrative Agent and each Issuing Bank (such consent not to be unreasonably withheld, delayed or conditioned); (D) in the case of any Revolving Credit Commitment Increase (other than a Revolving Credit Commitment Increase used in connection with a Specified Purchase), no Event of Default shall have occurred and be continuing on such Revolving Credit Commitment Increase Date; and (E) (i) in the case of a Revolving Credit Commitment Increase used in connection with a merger or consolidation with, or acquisition of all or substantially all of the assets of, any other Person by an Obligor permitted under Section 6.03 (such Person, a “Specified Target” and such merger, consolidation or acquisition a “Specified Purchase”), the Specified Representations (immediately after giving effect to such merger, consolidation or acquisition) and the Specified Purchase Agreement Representations (immediately prior to giving effect to such merger, consolidation or acquisition) shall be true and correct in all material respects on and as of such Revolving Credit Commitment Increase Date, or (ii) in the case of any other Revolving Credit Commitment Increase, the representations and warranties made by the Borrower contained in this Agreement shall be true and correct in all material respects (or, in the case of any portion of the representations and warranties already subject to a materiality qualifier, true and correct in all respects) on and as of the Revolving Credit Commitment Increase Date as if made on and as of such date (or, if any such representation or warranty is expressly stated to have been made as of a specific date, as of such specific date). (ii) Effectiveness of Revolving Credit Commitment Increase by Borrower. An Assuming Revolving Lender, if any, shall become a Revolving Lender hereunder as of such Revolving Credit Commitment Increase Date and the Revolving Credit Commitment of the respective Class of any Increasing Revolving Lender and such Assuming Revolving Lender shall be increased as of such Revolving Credit Commitment Increase Date (but shall not constitute a separate facility hereunder); provided that: (x) the Administrative Agent shall have received on or prior to 11:00 a.m12:00 p.m., New York City time, on such Revolving Credit Commitment Increase Date (or on or prior to a time on an earlier date specified by the Administrative Agent), a certificate of a duly authorized officer of the Borrower stating that each of the applicable conditions to such Revolving Credit Commitment Increase set forth in the foregoing paragraph (i) has been satisfied; and (y) each Assuming Revolving Lender or Increasing Revolving Lender shall have delivered to the Administrative Agent, on or prior to 11:00 a.m12:00 p.m., New York City time on such Revolving Credit 89 Revolving Credit and Term Loan Agreement


 
Commitment Increase Date (or on or prior to a time on an earlier date specified by the Administrative Agent), an agreement substantially in the form of Exhibit D hereto (or such other form as shall be reasonably satisfactory to the Administrative Agent) appropriately completed, and otherwise in form and substance reasonably satisfactory to the Borrower and the Administrative Agent, pursuant to which such Revolving Lender shall, effective as of such Revolving Credit Commitment Increase Date, undertake a Revolving Credit Commitment or an increase of Revolving Credit Commitment in each case of the respective Class, duly executed by such Assuming Revolving Lender or Increasing Revolving Lender, as applicable, and the Borrower and acknowledged by the Administrative Agent. Promptly following satisfaction of such conditions, the Administrative Agent shall notify the Revolving Lenders of such Class (including any Assuming Revolving Lenders) thereof and of the occurrence of the Revolving Credit Commitment Increase Date by facsimile transmission or electronic messaging system. (iii) Recordation into Register. Upon its receipt of an agreement referred to in clause (ii)(y) above executed by an Assuming Revolving Lender or any Increasing Revolving Lender, together with the certificate referred to in clause (ii)(x) above, the Administrative Agent shall, if such agreement has been completed, (x) accept such agreement, (y) record the information contained therein in the Register and (z) give prompt notice thereof to the Borrower. (iv) Adjustments of Borrowings upon Effectiveness of Revolving Credit Commitment Increase. On the Revolving Credit Commitment Increase Date, the Borrower shall (A) prepay the outstanding Revolving Loans (if any) of the affected Class in full, (B) simultaneously borrow new Revolving Loans of such Class hereunder in an amount equal to such prepayment (which may also include the amount of any fees, expenses or amounts due by the Borrower on or prior to the Revolving Credit Commitment Increase Date assuming that the Borrower has submitted a request for Borrowing for such amounts in accordance with Section 2.03); provided that, with respect to subclauses (A) and (B), (x) the prepayment to, and borrowing from, any existing Revolving Lender shall be effected by book entry to the extent that any portion of the amount prepaid to such Revolving Lender will be subsequently borrowed from such Revolving Lender and (y) the existing Revolving Lenders, the Increasing Revolving Lenders and the Assuming Revolving Lenders shall make and receive payments among themselves, in a manner acceptable to the Administrative Agent, so that, after giving effect thereto, the Revolving Loans of such Class are held ratably by the Revolving Lenders of such Class in accordance with the respective Revolving Credit Commitments of such Class of such Revolving Lenders (after giving effect to such Revolving Credit Commitment Increase) and (C) pay to the Revolving Lenders of such Class the amounts, if any, payable under Section 2.15 as a result of any such prepayment. Concurrently therewith, the Revolving Lenders of such Class shall be deemed to 90 Revolving Credit and Term Loan Agreement


 
have adjusted their participation interests in any outstanding Swingline Loans and Letters of Credit of such Class so that such interests are held ratably in accordance with their Revolving Credit Commitments of such Class as so increased. (f) Incremental Term Loan Facilities. (i) Requests for Incremental Term Loan Commitments by Borrower. The Borrower may, at any time, without premium or penalty under this Agreement, request one or more new term loan commitments (each, an “Incremental Term Loan Commitment”) pursuant to an Incremental Term Loan Facility upon notice to the Administrative Agent (who shall promptly notify the Term Loan Lenders), which notice shall specify each existing Term Loan Lender (each an “Increasing Term Loan Lender”) and/or each additional lender (each an “Assuming Term Loan Lender” and, together with any Increasing Term Loan Lenders, collectively, the “Incremental Term Loan Lenders”) that shall have agreed to an Incremental Term Loan Commitment and the date on which such Incremental Term Loan Commitments are expected to be effective (the date of actual effectiveness, the “Incremental Term Loan Commitment Effective Date”), which shall be a Business Day at least three (3) Business Days (or such lesser period as the Administrative Agent may reasonably agree) after delivery of such notice and at least thirty (30) days prior to the Incremental Term Loan Period Termination Date; provided that: (A) the minimum amount of the Incremental Term Loan Commitment of any Incremental Lender as part of such Incremental Term Loan Facility shall be $10,000,000 or a larger multiple of $5,000,000 in excess thereof (or such lesser amount as the Administrative Agent may reasonably agree); (B) immediately after giving effect to any such Incremental Term Loan Commitments pursuant to such Incremental Term Loan Facility, the total Commitments of all of the Lenders under this Agreement shall not exceed $500,000,000; (C) each Assuming Term Loan Lender shall be consented to by the Administrative Agent (such consent not to be unreasonably withheld, delayed or conditioned); (D) in the case of any Incremental Term Loan Facility (other than an Incremental Term Loan Facility used in connection with a Specified Purchase), no Event of Default shall have occurred and be continuing on such Incremental Term Loan Commitment Effective Date; and (E) (i) in the case of an Incremental Term Loan Facility used in connection with a Specified Purchase, the Specified 91 Revolving Credit and Term Loan Agreement


 
Representations (immediately after giving effect to such Specified Purchase) and the Specified Purchase Agreement Representations (immediately prior to giving effect to such Specified Purchase) shall be true and correct in all material respects on and as of such Incremental Term Loan Commitment Effective Date, or (ii) in the case of any other Incremental Term Loan Facility, the representations and warranties made by the Borrower contained in this Agreement shall be true and correct in all material respects (or, in the case of any portion of the representations and warranties already subject to a materiality qualifier, true and correct in all respects) on and as of the Incremental Term Loan Commitment Effective Date as if made on and as of such date (or, if any such representation or warranty is expressly stated to have been made as of a specific date, as of such specific date). (ii) Effectiveness of Incremental Term Loan Commitments. An Assuming Term Loan Lender, if any, shall become a Term Loan Lender hereunder as of such Incremental Term Loan Commitment Effective Date and the Term Loan Commitment of any Increasing Term Loan Lender and such Assuming Term Loan Lender shall be increased as of such Incremental Term Loan Commitment Effective Date (and shall constitute a separate facility hereunder); provided that: (x) the Administrative Agent shall have received on or prior to 12:00 p.m., New York City time, on such Incremental Term Loan Commitment Effective Date (or on or prior to a time on an earlier date specified by the Administrative Agent), a certificate of a duly authorized officer of the Borrower stating that each of the applicable conditions to such Incremental Term Loan Commitments set forth in the foregoing paragraph (i) has been satisfied; and (y) each Incremental Lender shall have delivered to the Administrative Agent, on or prior to 12:00 p.m., New York City time on such Incremental Term Loan Commitment Effective Date (or on or prior to a time on an earlier date specified by the Administrative Agent), an agreement substantially in the form of Exhibit D hereto (or such other form as shall be reasonably satisfactory to the Administrative Agent) appropriately completed, and otherwise in form and substance reasonably satisfactory to the Borrower and the Administrative Agent, pursuant to which such Incremental Lender shall, effective as of such Incremental Term Loan Commitment Effective Date, undertake an Incremental Term Loan Commitment, duly executed by such Incremental Lender and the Borrower and acknowledged by the Administrative Agent. Promptly following satisfaction of such conditions, the Administrative Agent shall notify the Term Loan Lenders (including any Assuming Term Loan 92 Revolving Credit and Term Loan Agreement


 
Lenders) thereof and of the occurrence of the Incremental Term Loan Commitment Effective Date by facsimile transmission or electronic messaging system. (iii) Recordation into Register. Upon its receipt of an agreement referred to in clause (ii)(y) above executed by an Incremental Lender, together with the certificate referred to in clause (ii)(x) above, the Administrative Agent shall, if such agreement has been completed, (x) accept such agreement, (y) record the information contained therein in the Register and (z) give prompt notice thereof to the Borrower. SECTION 2.09. Repayment of Loans; Evidence of Debt. (a) Repayment. The Borrower hereby unconditionally promises to repay the Loans of each Class as follows: (i) to the Administrative Agent for the account of the Lenders of such Class the outstanding principal amount of the Loans of such Class and all other amounts due and owing hereunder and under the other Loan Documents on the Final Maturity Date and (ii) to the applicable Swingline Lender the then unpaid principal amount of each Swingline Loan made by such Swingline Lender, on the earlier of the Revolving Commitment Termination Date and the first date after such Swingline Loan is made that is the 15th or last day of a calendar month and is at least ten Business Days after such Swingline Loan is made; provided that any Swingline Loan that is not repaid timely in accordance with this clause (ii) shall be automatically converted to a Term Benchmark Loan in accordance with Section 2.04(c); provided further that on each date that a Revolving Borrowing of such Class is made, the Borrower shall repay all Swingline Loans of such Class then outstanding. In addition, on the Revolving Commitment Termination Date, the Borrower shall deposit Cash into the Letter of Credit Collateral Account (denominated in the Currency of the Letter of Credit under which such LC Exposure arises) in an amount equal to 100% of the undrawn face amount of all Letters of Credit outstanding on the close of business on the Revolving Commitment Termination Date, such deposit to be held by the Administrative Agent as collateral security for the LC Exposure under this Agreement in respect of the undrawn portion of such Letters of Credit. (b) Manner of Payment. Subject to Section 2.10(d), prior to any repayment or prepayment of any Borrowings to any Lenders of any Class of Commitment hereunder, the Borrower shall select the Borrowing or Borrowings of such Class to be paid and shall notify the Administrative Agent by telephone (confirmed by telecopy or e-mail) of such selection not later than the time set forth in Section 2.10(e) prior to the scheduled date of such repayment; provided that each repayment of Borrowings in Dollars to any Lenders of a Class shall be applied to repay or prepay any outstanding ABR Borrowings of such Class before any other Borrowings of such Class. If the Borrower fails to make a timely selection of the Borrowing or Borrowings to be repaid or prepaid, such payment shall be applied to repay Borrowings in the same Currency and, solely in the case of any such payment in Dollars, first, to pay any outstanding ABR Borrowings of the applicable Class and, second, to other Borrowings of such Class in the order of the remaining duration of their respective Interest Periods (the Borrowing with the shortest 93 Revolving Credit and Term Loan Agreement


 
remaining Interest Period to be repaid first). Each payment of a Borrowing shall be applied ratably to the Loans included in such Borrowing. (c) Maintenance of Records by Lenders. Each Lender shall maintain in accordance with its usual practice records evidencing the indebtedness of the Borrower to such Lender resulting from each Loan made by such Lender, including the amounts and Currency of principal and interest payable and paid to such Lender from time to time hereunder. (d) Maintenance of Records by the Administrative Agent. The Administrative Agent shall maintain records in which it shall record (i) the amount and Currency of each Loan made hereunder, the Class and Type thereof and each Interest Period therefor, (ii) the amount and Currency of any principal or interest due and payable or to become due and payable from the Borrower to each Lender of such Class of Commitment hereunder and (iii) the amount and Currency of any sum received by the Administrative Agent hereunder for the account of the Lenders and each Lender’s share thereof. (e) Effect of Entries. The entries made in the records maintained pursuant to paragraph (c) or (d) of this Section 2.09 shall be prima facie evidence, absent obvious error, of the existence and amounts of the obligations recorded therein; provided that the failure of any Lender or the Administrative Agent to maintain such records or any error therein shall not in any manner affect the obligation of the Borrower to repay the Loans in accordance with the terms of this Agreement. (f) Promissory Notes. Any Lender may request that Loans of any Class made by it be evidenced by a promissory note; in such event, the Borrower shall prepare, execute and deliver to such Lender a promissory note payable to such Lender (or, if requested by such Lender, to such Lender and its registered assigns) and substantially in the form of Exhibit E-1, in the case of Revolving Loans, or Exhibit E-2, in the case of Term Loans, or such other form reasonably satisfactory to or approved by the Administrative Agent. Thereafter, the Loans evidenced by such promissory note and interest thereon shall at all times (including after assignment pursuant to Section 9.04) be represented by one or more promissory notes in such form payable to the payee named therein (or, if such promissory note is a registered note, to such payee and its registered assigns). SECTION 2.10. Prepayment of Loans. (a) Optional Prepayments. The Borrower shall have the right at any time and from time to time to prepay any Borrowing in whole or in part, without premium or penalty except for payments under Section 2.15, subject to the requirements of this Section 2.10. (b) Mandatory Prepayments of Revolving Loans due to Changes in Exchange Rates. (i) Determination of Amount Outstanding. On each Quarterly Date and, in addition, promptly upon the receipt by the Administrative Agent of a Currency Valuation Notice (as defined below), the Administrative Agent shall determine the aggregate Revolving Multicurrency Credit Exposure. For the purpose of this determination, the outstanding principal amount of any Revolving 94 Revolving Credit and Term Loan Agreement


 
Loan that is denominated in any Foreign Currency shall be deemed to be the Dollar Equivalent of the amount in the Foreign Currency of such Revolving Loan, determined as of such Quarterly Date or, in the case of a Currency Valuation Notice received by the Administrative Agent prior to 11:00 a.m., New York City time, on a Business Day, on such Business Day or, in the case of a Currency Valuation Notice otherwise received, on the first Business Day after such Currency Valuation Notice is received. Upon making such determination, the Administrative Agent shall promptly notify the Multicurrency Revolving Lenders and the Borrower thereof. (ii) Prepayment. If on the date of such determination the aggregate Revolving Multicurrency Credit Exposure minus the Multicurrency LC Exposure fully Cash Collateralized on such date exceeds 105% of the aggregate amount of the Multicurrency Revolving Credit Commitments as then in effect, the Borrower shall prepay the Multicurrency Revolving Loans and Swingline Loans (and/or provide Cash Collateral for Multicurrency LC Exposure as specified in Section 2.05(k)) within fifteen (15) Business Days following the Borrower’s receipt of notice from the Administrative Agent pursuant to clause (b)(i) above in such amounts (if any) as shall be necessary so that after giving effect thereto the aggregate Revolving Multicurrency Credit Exposure does not exceed the Multicurrency Revolving Credit Commitments. Any prepayment pursuant to this paragraph shall be applied first, to Swingline Loans, Secondsecond, to Multicurrency Revolving Loans and third, as cover for Multicurrency LC Exposure. For purposes hereof “Currency Valuation Notice” means a notice given by the Required Multicurrency Revolving Lenders to the Administrative Agent stating that such notice is a “Currency Valuation Notice” and requesting that the Administrative Agent determine the aggregate Revolving Multicurrency Credit Exposure. The Administrative Agent shall not be required to make more than one valuation determination pursuant to Currency Valuation Notices within any rolling three monththree-month period. Any prepayment pursuant to this paragraph (b) shall be applied, first to Multicurrency Revolving Loans outstanding and second, as cover for Multicurrency LC Exposure. (c) Mandatory Prepayments due to Borrowing Base Deficiency. (i) In the event that at any time, but only for so long as, any Borrowing Base Deficiency shall exist, the Borrower shall, within five (5) Business Days after delivery of the applicable Borrowing Base Certificate, prepay the Revolving Loans (or provide Cash Collateral for Letters of Credit as contemplated by Section 2.05(k)) or reduce Other Covered Indebtedness or any other Indebtedness that is included in the Covered Debt Amount at such time in such amounts as shall be necessary so that such Borrowing Base Deficiency is cured; provided that (i) the aggregate amount of such prepayment of Revolving Loans (and Cash Collateral for Letters of Credit) shall be at least equal to the 95 Revolving Credit and Term Loan Agreement


 
Revolving Percentage times the aggregate prepayment of the Covered Debt Amount, and (ii) if, within five (5) Business Days after delivery of a Borrowing Base Certificate demonstrating such Borrowing Base Deficiency, the Borrower shall present the Administrative Agent with a reasonably feasible plan to enable such Borrowing Base Deficiency to be cured within thirty (30) Business Days (which 30-Business Day period shall include the five (5) Business Days permitted for delivery of such plan) or such longer period agreed to by the Administrative Agent, then such prepayment (and/or cash collateralization) or reduction or addition of assets to the Borrowing Base shall not be required to be effected immediately but may be effected in accordance with such plan (with such modifications as the Borrower may reasonably determine), so long as such Borrowing Base Deficiency is cured within such thirty (30)-Business Day period (or such longer period agreed to by the Administrative Agent); provided, further, that solely to the extent such Borrowing Base Deficiency is due to a failure to satisfy the requirements of Section 5.13(j) as a consequence of a change in either (x) the ratio of the Gross Borrowing Base to the Senior Debt Amount or (y) the Relevant Asset Coverage Ratio from one (1) quarterly period to the next, such thirty (30) Business Day period shall be extended to a forty-five (45) Business Day period solely with respect to compliance with Section 5.13(j). (d) Mandatory Prepayments During Amortization Period. During the period commencing on the date immediately following the Revolving Commitment Termination Date and ending on the Final Maturity Date: (i) Asset Disposition. If the Borrower or any Subsidiary Guarantor Disposes of any property which results in the receipt by such Person of Net Cash Proceeds in excess of $2,000,000 in the aggregate since the Revolving Commitment Termination Date, the Borrower shall prepay an aggregate principal amount of Loans equal to 100% of such Net Cash Proceeds no later than the fifth Business Day following the receipt of such Net Cash Proceeds (such prepayments to be applied as set forth in Section 2.09(b)). (ii) Equity Issuance. Upon the sale or issuance by the Borrower or any Subsidiary Guarantor of any of its Equity Interests (other than (x) any sales or issuances of Equity Interests to the Borrower or any Subsidiary Guarantor or (y) pursuant to any distribution or dividend reinvestment plan), the Borrower shall prepay an aggregate principal amount of Loans equal to 75% of all Net Cash Proceeds received therefrom no later than the fifth Business Day following the receipt of such Net Cash Proceeds (such prepayments to be applied as set forth in Section 2.09(b)). (iii) Indebtedness. Upon the incurrence or issuance by the Borrower or any Subsidiary Guarantor of any Indebtedness (excluding any Permitted Advisor Loan), the Borrower shall prepay an aggregate principal amount of Loans equal to 100% of all Net Cash Proceeds (excluding any portion of such proceeds required to be paid by such Obligor pursuant to a concurrent Back-to-Back Transaction) received therefrom no later than the fifth Business Day following the receipt of 96 Revolving Credit and Term Loan Agreement


 
such Net Cash Proceeds (such prepayments to be applied as set forth in Section 2.09(b)). (iv) Extraordinary Receipt. Upon any Extraordinary Receipt (which, when taken with all other Extraordinary Receipts received after the Revolving Commitment Termination Date, exceeds $5,000,000 in the aggregate) received by or paid to or for the account of the Borrower or any Subsidiary Guarantor, and not otherwise included in clause (i), (ii) or (iii) of this Section 2.10(d), the Borrower shall prepay an aggregate principal amount of Loans equal to 100% of all Net Cash Proceeds received therefrom no later than the fifth Business Day following the receipt of such Net Cash Proceeds (such prepayments to be applied as set forth in Section 2.09(b)). (v) Return of Capital. If any Obligor shall receive any Return of Capital (other than arising from any Transferred Assets) that is not otherwise included in clauses (i), (ii), (iii), or (iv) of this Section 2.10(d) (other than pursuant to any Back-to-Back Transaction or arising from any Transferred Assets), the Borrower shall prepay an aggregate principal amount of Loans equal to 90% of such Return of Capital (excluding amounts payable by the Borrower pursuant to Section 2.15) no later than the fifth Business Day following the receipt of such Return of Capital (such prepayments to be applied as set forth in Section 2.09(b)). Any mandatory prepayment of principal with respect to the Loans pursuant to this Section 2.10(d) above shall be applied to all outstanding Loans of each Lender on a pro rata basis according to the aggregate outstanding principal amounts of the Loans of each Lender at the time of such mandatory prepayment. Notwithstanding the foregoing, (I) Net Cash Proceeds and Return of Capital required to be applied to the prepayment of the Loans pursuant to this Section 2.10(d) shall (A) be applied in accordance with the Guarantee and Security Agreement and (B) exclude the amount necessary for the Borrower to make all required dividends and distributions (which shall be no less than the amount estimated in good faith by Borrower under Section 6.05(b) herein) to maintain the status of a RIC under the Code and its election to be treated as a “business development company” under the Investment Company Act for so long as the Borrower retains such status and to avoid payment by the Borrower of federal income and excise Taxes imposed by Section 4982 of the Code for so long as the Borrower retains the status of a RIC under the Code, and (II) if the Loans to be prepaid pursuant to this Section 2.10(d) are Term Benchmark Loans, the Borrower may defer such prepayment until the last day of the Interest Period applicable to such Loans, so long as the Borrower deposits an amount equal to such Net Cash Proceeds, no later than the fifth Business Day following the receipt of such Net Cash Proceeds, into a segregated collateral account in the name and under the dominion and control of the Administrative Agent, pending application of such amount to the prepayment of the Loans on the last day of such Interest Period; provided, further, that the Administrative Agent may direct the application of such deposits as set forth in Section 2.09(b) at any time and if the Administrative Agent does so, no amounts will be payable by the Borrower pursuant to Section 2.15. 97 Revolving Credit and Term Loan Agreement


 
(e) Notices, Etc. The Borrower shall notify the Administrative Agent (and, in the case of prepayment of a Swingline Loan, the applicable Swingline Lender) by telephone (confirmed by telecopy or e-mail) of any prepayment hereunder (i) in the case of prepayment of a Term Benchmark Borrowing denominated in Dollars (other than in the case of a prepayment pursuant to Section 2.10(d)), not later than 11:00 a.m12:00 p.m., New York City time, three (3) Business Days before the date of prepayment, (ii) in the case of prepayment of a Term Benchmark Borrowing of Revolving Loans denominated in a Foreign Currency (other than in the case of a prepayment pursuant to Section 2.10(d)), not later than 11:00 a.m., Applicable Time, four (4) Business Days before the date of prepayment, (iii) in the case of prepayment of a RFR Borrowing of Revolving Loans (other than in the case of a prepayment pursuant to Section 2.10(d)), not later than 11:00 a.m12:00 p.m., London time, four (4) Business Days before the date of prepayment, (iv) in the case of prepayment of a Swingline Loan or an ABR Borrowing (other than in the case of a prepayment pursuant to Section 2.10(d)), not later than 11:00 a.m., New York City time, on the date of prepayment, or (v) in the case of any prepayment pursuant to Section 2.10(d), not later than 11:00 a.m12:00 a.m., New York City time, one Business Day before the date of prepayment or, in each case of the notice periods described in this paragraph (e), such lesser period as the Administrative Agent may reasonably agree. Each such notice shall be irrevocable and shall specify the prepayment date, the principal amount of each Borrowing or portion thereof to be prepaid and, in the case of a mandatory prepayment, a reasonably detailed calculation of the amount of such prepayment; provided that, if (i) a notice of prepayment is given in connection with a conditional notice of termination or reduction of the Revolving Credit Commitments of a Class of Revolving Loans as contemplated by Section 2.08, then such notice of prepayment may be revoked if such notice of termination or reduction is revoked in accordance with Section 2.08 and (ii) any notice given in connection with Section 2.10(d) may be conditioned on the consummation of the applicable transaction contemplated by such Section and the receipt by the Borrower or any such Subsidiary (other than a Financing Subsidiary) of Net Cash Proceeds. Promptly following receipt of any such notice relating to a Borrowing, the Administrative Agent shall advise the affected Lenders of the contents thereof. Each partial prepayment of any Borrowing shall be in an amount that would be permitted in the case of a Borrowing of the same Type as provided in Section 2.02 or in the case of a Swingline Loan, as provided in Section 2.04, except as necessary to apply fully the required amount of a mandatory prepayment. Each prepayment of a Borrowing of a Class of Commitments shall be applied ratably to the Loans held by the Lenders of such Class included in the prepaid Borrowing. Prepayments shall be accompanied by accrued interest to the extent required by Section 2.12 and shall be made in the manner specified in Section 2.09(b). SECTION 2.11. Fees. (a) Commitment Fee. The Borrower agrees to pay to the Administrative Agent for the account of each Revolving Lender a commitment fee, which shall accrue at a rate per annum equal to 0.375% on the unused amount of the Dollar Revolving Credit Commitment and Multicurrency Revolving Credit Commitment, as applicable, of such Revolving Lender on such day, in each case during the period from and including the Effective Date to but excluding the earlier of the date such Revolving Credit Commitment terminates and the Revolving Commitment Termination Date. Commitment fees accrued through and including such Quarterly Date shall be payable in arrears within five (5) Business Days after each Quarterly Date, commencing on the first such date to occur after the Effective Date and ending on the 98 Revolving Credit and Term Loan Agreement


 
earlier of the date the Revolving Credit Commitments of the respective Class terminate and the Revolving Commitment Termination Date. All commitment fees shall be computed on the basis of a year of 360 days and shall be payable for the actual number of days elapsed (including the first day but excluding the last day). For purposes of computing commitment fees, (i) the daily unused amount of the applicable Revolving Credit Commitment shall be determined as of the end of each day and (ii) the Revolving Credit Commitment of any Class of a Lender shall be deemed to be used to the extent of the outstanding Revolving Loans and LC Exposure of such Class of such Revolving Lender (and the Swingline Exposure of such Class of such Revolving Lender shall be disregarded for such purpose). (b) Letter of Credit Fees. The Borrower agrees to pay (i) to the Administrative Agent for the account of each Revolving Lender a participation fee with respect to its participations in Letters of Credit of each Class of Revolving Credit Commitments, which shall accrue at a rate per annum equal to the Applicable Margin applicable to interest on Term Benchmark Loans (or, if such Letter of Credit is denominated in Sterling, RFR Loans) on the average daily undrawn amount of such Revolving Lender’s LC Exposure of such Class (excluding any portion thereof attributable to unreimbursed LC Disbursements), following receipt of an invoice from the Administrative Agent, during the period from and including the Effective Date to but excluding the later of the date on which such Revolving Lender’s Revolving Credit Commitment of such Class terminates and the date on which such Revolving Lender ceases to have any LC Exposure of such Class, and (ii) to each Issuing Bank a fronting fee, which shall accrue at the rate equal to 0.25% per annum on the average daily undrawn amount of such Issuing Bank’s LC Exposure (excluding any portion thereof attributable to unreimbursed LC Disbursements) applicable to Letters of Credit issued by such Issuing Bank during the period from and including the Effective Date to but excluding the later of the date of termination of the Revolving Credit Commitments and the date on which there ceases to be any LC Exposure, as well as each Issuing Bank’s standard fees with respect to the issuance, amendment, renewal or extension of any Letter of Credit or processing of drawings thereunder. Participation fees and fronting fees accrued through and including each Quarterly Date shall be payable in arrears on the third (3rd) Business Day following such Quarterly Date, commencing on the first such date to occur after the Effective Date; provided that, all such fees with respect to the Letters of Credit shall be payable on the Termination Date and the Borrower shall pay any such fees that have accrued and that are unpaid on the Termination Date and, in the event any Letters of Credit shall be outstanding that have expiration dates after the Termination Date, the Borrower shall prepay on the Termination Date the full amount of the participation and fronting fees that will accrue on such Letters of Credit subsequent to the Termination Date through but not including the date such outstanding Letters of Credit are scheduled to expire (and, in that connection, the Lenders agree not later than the date five (5) Business Days after the date upon which the last such Letter of Credit shall expire or be terminated to rebate to the Borrower the excess, if any, of the aggregate participation and fronting fees that have been prepaid by the Borrower over the sum of the amount of such fees that ultimately accrue through the date of such expiration or termination and the aggregate amount of all other unpaid obligations hereunder at such time). Any other fees payable to an Issuing Bank pursuant to this paragraph (b) shall be payable within ten (10) Business Days after demand. All participation fees and fronting fees shall be computed on the basis of a year of 360 days and shall be payable for the actual number of days elapsed (including the first day but excluding the last day). Any fees representing the Borrower’s reimbursement obligations of expenses, to the extent the requirements of an invoice 99 Revolving Credit and Term Loan Agreement


 
are not otherwise specified in this Agreement, shall be due (subject to the other terms and conditions contained herein) within ten (10) Business Days of the date that the Borrower receives from the Administrative Agent a reasonably detailed invoice for such reimbursement obligations. (c) Administrative Agent Fees. The Borrower agrees to pay to the Administrative Agent, for its own account, fees payable in the amounts and at the times separately agreed upon between the Borrower and the Administrative Agent. (d) Payment of Fees. All fees payable hereunder shall be paid on the dates due, in Dollars (or, at the election of the Borrower with respect to any fees payable to an Issuing Bank on account of Letters of Credit issued by such Issuing Bank in any Foreign Currency, in such Foreign Currency) and immediately available funds, to the Administrative Agent (or to the applicable Issuing Bank, in the case of fees payable to it) for distribution, in the case of commitment fees and participation fees, to the Lenders entitled thereto. Fees paid shall not be refundable under any circumstances absent obvious error. SECTION 2.12. Interest. (a) ABR Loans. The Revolving Loans and Term Loans (as applicable) constituting each ABR Borrowing (including each Swingline Loan) shall bear interest at a rate per annum equal to the Alternate Base Rate plus the Applicable Margin. (b) Term Benchmark Loans. The Revolving Loans and Term Loans (as applicable) constituting each Term Benchmark Borrowing shall bear interest at a rate per annum equal to the Adjusted Term Benchmark Rate for the related Interest Period for such Borrowing plus the Applicable Margin. (c) RFR Loans. The Revolving Loans constituting each RFR Borrowing shall bear interest at a rate per annum equal to the Daily Simple RFR plus the Applicable Margin. (d) Default Interest. Notwithstanding the foregoing, (1) if any Event of Default under Section 7(a) or Section 7(b) has occurred and is continuing, then automatically, the principal of any Loan, or interest payable by the Borrower hereunder that has not been paid when due (after giving effect to any grace or cure period), whether at stated maturity, by acceleration or otherwise, shall bear interest, after as well as before judgment, at a rate per annum equal to 2% plus the rate otherwise applicable to such Loan as provided above and (2) if any other Event of Default has occurred and is continuing and the Required Lenders have elected to increase pricing, (i) in the case of any Loan, from the date such election is effective until the last day of the Interest Period applicable to such Loan, 2% plus the rate otherwise applicable to such Loan, and thereafter, 2% plus the rate applicable to ABR Loans as provided in paragraph (a) of this Section 2.12, (ii) in the case of any Letter of Credit, from the date such election is effective until the last day of the Interest Period applicable to such Letter of Credit, 2% plus the rate otherwise applicable to such Letter of Credit, and thereafter 2% plus the applicable to ABR Loans as provided in paragraph (a) of this Section 2.12 or (iii) in the case of any fee or other amount, 2% plus the rate applicable to ABR Loans as provided in paragraph (a) of this Section 2.12. The Administrative Agent agrees to promptly notify the Borrower in writing of any election by the 100 Revolving Credit and Term Loan Agreement


 
Required Lenders to increase pricing pursuant to this clause (d); provided, however, that such pricing increase shall occur regardless of whether or not such notice is delivered. (e) Payment of Interest. Accrued interest on each Loan shall be payable in arrears on each Interest Payment Date for such Loan in the Currency in which such Loan is denominated and, in the case of Loans, upon the Termination Date; provided that (i) interest accrued pursuant to paragraph (d) of this Section 2.12 shall be payable on demand, (ii) in the event of any repayment or prepayment of any Loan (other than a prepayment of an ABR Loan prior to the Final Maturity Date), accrued interest on the principal amount repaid or prepaid shall be payable on the date of such repayment or prepayment and (iii) in the event of any conversion of any Term Benchmark Borrowing denominated in Dollars prior to the end of the Interest Period therefor, accrued interest on such Borrowing shall be payable on the effective date of such conversion. (f) Computation. All interest hereunder shall be computed on the basis of a year of 360 days, except that interest computed (i) by reference to the Alternate Base Rate at times when the Alternate Base Rate is based on the Prime Rate and (ii) on Multicurrency Revolving Loans denominated in Sterling shall be computed on the basis of a year of 365 days (or 366 days in a leap year), and in each case shall be payable for the actual number of days elapsed (including the first day but excluding the last day). The applicable Alternate Base Rate, Daily Simple RFR or Adjusted Term Benchmark Rate shall be determined by the Administrative Agent in accordance with this Agreement and such determination shall be conclusive absent manifest error. SECTION 2.13. Inability to Determine Interest Rates. . Subject to Section 2.20, if prior to the commencement of any Interest Period for any Term Benchmark Borrowing of a ClassTerm Loans or Revolving Loans, or at any time for a RFR Borrowing of Revolving Loans (the Currency of such Borrowing herein called the “Affected Currency”): (i) (A) in the case of a Term Benchmark Borrowing, the Administrative Agent shall have determined (which determination shall be in good faith and conclusive and binding upon the Borrower absent manifest error) that the Adjusted Term Benchmark Rate for the Affected Currency cannot be determined pursuant to the definition thereof for such Interest Period or (B) in the case of a RFR Borrowing, the Administrative Agent shall have determined (which determination shall be in good faith and conclusive and binding upon the Borrower absent manifest error) that the Daily Simple RFR for the Affected Currency cannot be determined pursuant to the definition thereof; or (ii) (ii) (A) in the case of a Term Benchmark Borrowing, the Administrative Agent shall have received notice from the Required Lenders of such Class of Commitments that the Adjusted Term Benchmark Rate for the Affected Currency for such Interest Period will not adequately and fairly reflect the cost to such Lenders of making, funding or maintaining their respective Loans included in 101 Revolving Credit and Term Loan Agreement


 
such Borrowing for such Interest Period or (B) in the case of a RFR Borrowing, the Administrative Agent shall have received notice from the Required Multicurrency Revolving Lenders that the Daily Simple RFR for the Affected Currency will not adequately and fairly reflect the cost to such Lenders of making, funding or maintaining the Loans included in such RFR Borrowing; then the Administrative Agent shall give written notice thereof (or telephonic notice, promptly confirmed in writing) to the Borrower and the affected Lenders as promptly as practicable thereafter. Until the Administrative Agent shall notify the Borrower and the Lenders that the circumstances giving rise to such notice no longer exist, (i) any Interest Election Request that requests the conversion of any Borrowing to, or the continuation of any Borrowing as, a Term Benchmark Borrowing denominated in the Affected Currency shall be ineffective and, if the Affected Currency is Dollars, such Borrowing (unless prepaid) shall be continued as, or converted to, an ABR Borrowing at the end of the applicable Interest Period, (ii) if the Affected Currency is Dollars and any Borrowing Request requests a Term Benchmark Borrowing denominated in Dollars, such Borrowing shall be made as an ABR Borrowing, (iii) if the Affected Currency is a Foreign Currency other than Canadian Dollars, (A) any Borrowing Request that requests a Term Benchmark Borrowing or RFR Borrowing denominated in the Affected Currency shall be made as a Term Benchmark Borrowing with a Term Benchmark Rate equal to the Central Bank Rate for the applicable Agreed Foreign Currency; provided, that if the Administrative Agent determines (which determination shall be conclusive and binding absent manifest error) that the Central Bank Rate for the applicable Agreed Foreign Currency cannot be determined, such Borrowing Request shall be ineffective, and (B) any outstanding Term Benchmark Borrowing or RFR Borrowing in the Affected Currency, at the Borrower’s election shall either (1) be converted to a Term Benchmark Borrowing with a Term Benchmark Rate equal to the Central Bank Rate for the applicable Agreed Foreign Currency; provided that, if the Administrative Agent determines (which determination shall be conclusive and binding absent manifest error) that the Central Bank Rate for the applicable Agreed Foreign Currency cannot be determined, such Borrowing shall be converted into an ABR Borrowing denominated in Dollars (in an amount equal to the Dollar Equivalent of such Affected Currency) immediately in the case of an RFR Borrowing or, in the case of a Term Benchmark Borrowing, at the end of the applicable Interest Period, (2) be converted into an ABR Borrowing denominated in Dollars (in an amount equal to the Dollar Equivalent of such Affected Currency) immediately in the case of an RFR Borrowing or, in the case of a Term Benchmark Borrowing, at the end of the applicable Interest Period, or (3) be prepaid in full immediately in the case of an RFR Borrowing or, in the case of a Term Benchmark Borrowing, at the end of the applicable Interest Period, and (iv) if the Affected Currency is Canadian Dollars, (A) any Borrowing Request that requests a Term Benchmark Borrowing denominated in Canadian Dollars shall be made as a Term Benchmark Borrowing with a Term Benchmark Rate equal to the Canadian Prime Rate; provided, that if the Administrative Agent determines (which determination shall be conclusive and binding absent manifest error) that the Canadian Prime Rate cannot be determined, such Borrowing Request shall be ineffective, and (B) any outstanding Term Benchmark Borrowing in Canadian Dollars, at the Borrower’s election, shall either (1) be converted to a Term Benchmark Borrowing denominated in Canadian Dollars with a Term Benchmark Rate equal to the Canadian Prime Rate at the end of applicable Interest Period; provided that, if the Administrative Agent determines (which determination shall be conclusive and binding absent manifest error) that the Canadian Prime Rate cannot be determined, such Borrowing shall be converted into an ABR 102 Revolving Credit and Term Loan Agreement


 
Borrowing denominated in Dollars (in an amount equal to the Dollar Equivalent of such Affected Currency) at the end of the applicable Interest Period, (2) be converted into an ABR Borrowing denominated in Dollars (in an amount equal to the Dollar Equivalent of such Affected Currency) at the end of the applicable Interest Period, or (3) be prepaid in full at the end of the applicable Interest Period; provided that if no election is made by the Borrower by the date that is three Business Days after receipt by the Borrower of such notice or, in the case of a Term Benchmark Borrowing, the last day of the current Interest Period for the applicable Term Benchmark Loan, if earlier, the Borrower shall be deemed to have elected clause (iii)(B)(1) or (iv)(B)(1) above, as applicable. SECTION 2.14. Increased Costs. (a) Increased Costs Generally. If any Change in Law shall: (i) impose, modify or deem applicable any reserve (including pursuant to regulations issued from time to time by the Board for determining the maximum reserve requirement (including any emergency, special, supplemental, or other marginal reserve requirement)) with respect to eurocurrency funding (currently referred to as “Eurocurrency liabilities” in Regulation D), special deposit, compulsory loan, insurance charge or similar requirement against assets of, deposits with or for the account of, or credit extended by, any Lender or any Issuing Bank (except any such reserve requirement reflected in the Adjusted Term Benchmark Rate) or any Issuing Bank; or (ii) impose on the Administrative Agent, any Lender or any Issuing Bank or the London interbank market any other condition, cost or expense (other than (A) Indemnified Taxes, (B) Other Taxes, (C) Taxes described in clauses (b) through (d) of the definition of Excluded Taxes and (D) Other Connection Taxes that are imposed on or measured by net income (however denominated) or that are franchise Taxes or branch profits Taxes) affecting this Agreement or Term Benchmark Loans made by such Lender or any Letter of Credit or participation therein; and the result of any of the foregoing shall be to increase the cost to such Lender of making, converting to, continuing or maintaining any Term Benchmark Loan (or of maintaining its obligation to make any such Loan) or to increase the cost to such Lender or such Issuing Bank of participating in, issuing or maintaining any Letter of Credit or to reduce the amount of any sum received or receivable by such Lender or such Issuing Bank hereunder (whether of principal, interest or otherwise), then, upon the request of such Borrower or such Issuing Bank, the Borrower will pay to such Lender or such Issuing Bank, as the case may be, in Dollars, such additional amount or amounts as will compensate such Lender or such Issuing Bank, as the case may be, for such additional costs incurred or reduction suffered (provided that, such amounts shall be consistent with amounts that such Lender is generally charging other borrowers similarly situated). (b) Capital and Liquidity Requirements. If any Lender or any Issuing Bank determines that any Change in Law regarding capital or liquidity requirements has or would have 103 Revolving Credit and Term Loan Agreement


 
the effect of reducing the rate of return on such Lender’s or such Issuing Bank’s capital or on the capital of such Lender’s or such Issuing Bank’s holding company, if any, as a consequence of this Agreement or the Loans made by, or participations in Swingline Loans and Letters of Credit held by, such Lender, or the Letters of Credit issued by such Issuing Bank, to a level below that which such Lender or such Issuing Bank or such Lender’s or such Issuing Bank’s holding company could have achieved but for such Change in Law (taking into consideration such Lender’s or such Issuing Bank’s policies and the policies of such Lender’s or such Issuing Bank’s holding company with respect to capital adequacy and liquidity requirements), by an amount deemed to be material by such Lender or such Issuing Bank, then, upon the request of such Lender or such Issuing Bank, the Borrower will pay to such Lender or such Issuing Bank, as the case may be, in Dollars, such additional amount or amounts as will compensate such Lender or such Issuing Bank or such Lender’s or such Issuing Bank’s holding company for any such reduction suffered (provided that, such amounts shall be consistent with amounts that such Lender is generally charging other borrowers similarly situated). (c) Certificates from Lenders. A certificate of a Lender or an Issuing Bank setting forth in reasonable detail the basis for and the calculation of the amount or amounts, in Dollars, necessary to compensate such Lender or such Issuing Bank or its holding company, as the case may be, as specified in paragraph (a) or (b) of this Section 2.14, (y) setting forth in reasonable detail the manner of determination of such amount or amounts and (z) certifying that such Lender or its holding company, as the case may be, is generally claiming similar compensation from its other similar customers in similar circumstances shall be promptly delivered to the Borrower and shall be conclusive absent manifest error. The Borrower shall pay such Lender or such Issuing Bank, as the case may be, the amount shown as due on any such certificate within ten (10) Business Days after receipt thereof. (d) Delay in Requests. Failure or delay on the part of any Lender or any Issuing Bank to demand compensation pursuant to this Section 2.14 shall not constitute a waiver of such Lender’s or such Issuing Bank’s right to demand such compensation; provided that the Borrower shall not be required to compensate a Lender or an Issuing Bank pursuant to this Section 2.14 for any increased costs or reductions incurred more than six months prior to the date that such Lender or such Issuing Bank, as the case may be, notifies the Borrower of the Change in Law giving rise to such increased costs or reductions and of such Lender’s or such Issuing Bank’s intention to claim compensation therefor; provided, further, that, if the Change in Law giving rise to such increased costs or reductions is retroactive, then the six-month period referred to above shall be extended to include the period of retroactive effect thereof. SECTION 2.15. Break Funding Payments. In the event of (a) the payment of any principal of any Term Benchmark Loan other than on the last day of an Interest Period therefor (including as a result of the occurrence of any Commitment Increase Date or an Event of Default), (b) the conversion of any Term Benchmark Loan other than on the last day of an Interest Period therefor, (c) the failure to borrow, convert, continue or prepay any Loan on the date specified in any notice delivered pursuant hereto (including, in connection with any Commitment Increase Date, and regardless of whether such notice is permitted to be revocable under Section 2.10(e) and is revoked in accordance herewith), or (d) the assignment as a result of a request by the Borrower pursuant to Section 2.18(b) of any Term Benchmark Loan other than on the last day of an Interest Period therefor, then, in any such event, the Borrower shall 104 Revolving Credit and Term Loan Agreement


 
compensate each affected Lender for such Lender’s loss, cost and reasonable expense attributable to such event (excluding loss of anticipated profits). In the case of a Term Benchmark Loan, the loss to any Lender attributable to any such event shall be deemed to include an amount determined by such Lender to be equal to the excess, if any, of: (i) the amount of interest that such Lender would pay for a deposit equal to the principal amount of such Loan denominated in the Currency of such Loan for the period from the date of such payment, conversion, failure or assignment to the last day of the then current Interest Period for such Loan (or, in the case of a failure to borrow, convert or continue, the duration of the Interest Period that would have resulted from such borrowing, conversion or continuation) if the interest rate payable on such deposit were equal to the Adjusted Term Benchmark Rate for such Currency for such Interest Period, over (ii) the amount of interest that such Lender would earn on such principal amount for such period if such Lender were to invest such principal amount for such period at the interest rate that would be bid by such Lender (or an affiliate of such Lender) for deposits denominated in such Currency from other banks in the relevant interbank market for the applicable Term Benchmark Rate at the commencement of such period. Payment under this Section 2.15 shall be made upon written request of a Lender delivered not later than ten (10) Business Days following the payment, conversion, or failure to borrow, convert, continue or prepay that gives rise to a claim under this Section 2.15 accompanied by a certificate of such Lender setting forth in reasonable detail the basis for and the calculation of the amount or amounts that such Lender is entitled to receive pursuant to this Section 2.15, which certificate shall be conclusive absent manifest error. The Borrower shall pay such Lender the amount shown as due on any such certificate within ten (10) Business Days after receipt thereof. SECTION 2.16. Taxes. (a) Payments Free of Taxes. Any and all payments by or on account of any obligation of the Borrower hereunder or under any other Loan Document shall be made free and clear of and without deduction for any Taxes, except as required by applicable law (as determined in the good faith discretion of an applicable withholding agent); provided that if the Borrower shall be required to deduct any Taxes from such payments, then (i) if such Taxes are Indemnified Taxes or Other Taxes, the sum payable shall be increased as necessary so that after making all required deductions (including deductions applicable to additional sums payable under this Section 2.16) the Administrative Agent, applicable Lender or applicable Issuing Bank (as the case may be) receives an amount equal to the sum it would have received had no such deductions been made, (ii) the Borrower shall make such deductions and (iii) the Borrower shall pay the full amount deducted to the relevant Governmental Authority in accordance with applicable law. 105 Revolving Credit and Term Loan Agreement


 
(b) Payment of Other Taxes by the Borrower. In addition, the Borrower shall timely pay any Other Taxes to the relevant Governmental Authority in accordance with applicable law. (c) Indemnification by the Borrower. The Borrower shall indemnify the Administrative Agent, each Lender and each Issuing Bank for and, within ten (10) Business Days after written demand therefor, pay the full amount of any Indemnified Taxes or Other Taxes (including Indemnified Taxes or Other Taxes imposed or asserted on or attributable to amounts payable under this Section 2.16) paid by the Administrative Agent, such Lender or such Issuing Bank, as the case may be, and any penalties, interest and reasonable expenses arising therefrom or with respect thereto, whether or not such Indemnified Taxes or Other Taxes were correctly or legally imposed or asserted by the relevant Governmental Authority, except to the extent that any such Indemnified Taxes or Other Taxes arise as the result of the fraud, gross negligence or willful misconduct of the Administrative Agent, such Lender or such Issuing Bank. A certificate as to the amount of such payment or liability delivered to the Borrower by a Lender or an Issuing Bank, or by the Administrative Agent on its own behalf or on behalf of a Lender or an Issuing Bank, shall be conclusive absent manifest error. (d) Indemnification by the Lenders. Each Lender shall severally indemnify the Administrative Agent, within ten (10) Business Days after written demand therefor, for (i) any Indemnified Taxes or Other Taxes attributable to such Lender (but only to the extent that the Borrower has not already indemnified the Administrative Agent for such Indemnified Taxes and without limiting the obligation of the Borrower to do so), (ii) any Taxes attributable to such Lender’s failure to comply with the provisions of Section 9.04(f) relating to the maintenance of a Participant Register, and (iii) any Excluded Taxes attributable to such Lender, in each case, that are payable or paid by the Administrative Agent in connection with any Loan Document, and any reasonable expenses arising therefrom or with respect thereto, whether or not such Taxes were correctly or legally imposed or asserted by the relevant Governmental Authority. A certificate as to the amount of such payment or liability delivered to any Lender by the Administrative Agent shall be conclusive absent manifest error. Each Lender hereby authorizes the Administrative Agent to set off and apply any and all amounts at any time owing to such Lender under any Loan Document or otherwise payable by the Administrative Agent to the Lender from any other source against any amount due to the Administrative Agent under this paragraph (d). (e) Evidence of Payments. As soon as practicable after any payment of Indemnified Taxes or Other Taxes by the Borrower to a Governmental Authority, the Borrower shall deliver to the Administrative Agent the original or a certified copy of a receipt issued by such Governmental Authority evidencing such payment, a copy of the return reporting such payment or other evidence of such payment reasonably satisfactory to the Administrative Agent. (f) Tax Documentation. Any Lender that is entitled to an exemption from or reduction of withholding tax under the law of the jurisdiction in which the Borrower is located, or any treaty to which such jurisdiction is a party, with respect to payments under this Agreement and the related Loan Documents, shall deliver to the Borrower (with a copy to the Administrative Agent), at the time or times prescribed by applicable law or reasonably requested by the Borrower, such properly completed and executed documentation prescribed by applicable law or reasonably requested by the Borrower as will permit such payments to be made without 106 Revolving Credit and Term Loan Agreement


 
withholding or at a reduced rate of withholding. In addition, any Lender, if requested by the Borrower or the Administrative Agent, shall deliver such other documentation prescribed by applicable law or reasonably requested by the Borrower or the Administrative Agent as will enable the Borrower or the Administrative Agent to determine whether or not such Lender is subject to backup withholding or information reporting requirements. Notwithstanding anything to the contrary in the preceding two sentences, the completion, execution and submission of such documentation (other than such documentation set forth in Sections 2.16(f)(i), 2.16(f)(ii) and 2.16(g) below) shall not be required if in the Lender’s reasonable judgment such completion, execution or submission would subject such Lender to any material unreimbursed cost or expense or would materially prejudice the legal or commercial position of such Lender. (i) Without limiting the generality of the foregoing: (A) any Lender that is a United States Person shall deliver to the Borrower and the Administrative Agent (and such additional copies as shall be reasonably requested by the recipient) on or prior to the date on which such Lender becomes a Lender under this Agreement (and from time to time thereafter upon the reasonable request of the Borrower or the Administrative Agent), duly completed and executed copies of Internal Revenue Service Form W-9 or any successor form certifying that such Lender is exempt from U.S. federal backup withholding tax; and (B) each Foreign Lender shall, to the extent it is legally entitled to do so, deliver to the Borrower and the Administrative Agent (in such number of copies as shall be requested by the recipient) on or prior to the date on which such Foreign Lender becomes a Lender under this Agreement (and from time to time thereafter upon the reasonable request of the Borrower or the Administrative Agent, but only if such Foreign Lender is legally entitled to do so), whichever of the following is applicable: (w) duly completed and executed copies of Internal Revenue Service Form W-8BEN or W-8BEN-E or any successor form claiming eligibility for benefits of an income tax treaty to which the United States is a party, (x) duly completed copies of Internal Revenue Service Form W-8ECI or any successor form certifying that the income receivable pursuant to this Agreement is effectively connected with the conduct of a trade or business in the United States, (y) in the case of a Foreign Lender claiming the benefits of the exemption for portfolio interest under Section 881(c) of the Code, (I) a certificate to the effect that such Foreign Lender is not (1) a “bank” within the meaning of Section 881(c)(3)(A) of the Code, (2) a “10 percent shareholder” of the Borrower within the meaning of Section 881(c)(3)(B) of the Code, or (3) a “controlled foreign corporation” described in 107 Revolving Credit and Term Loan Agreement


 
Section 881(c)(3)(C) of the Code and (II) duly completed and executed copies of Internal Revenue Service Form W-8BEN or W-8BEN-E (or any successor form) certifying that the Foreign Lender is not a United States Person, or (z) any other form including Internal Revenue Service Form W-8IMY as applicable prescribed by applicable law as a basis for claiming exemption from or a reduction in U.S. federal withholding Tax duly completed together with such supplementary documentation as may be prescribed by applicable law to permit the Borrower to determine the withholding or deduction required to be made. (ii) In addition, each Lender shall deliver such forms promptly upon the obsolescence, expiration or invalidity of any form previously delivered by such Lender; provided it is legally able to do so at the time. Each Lender shall promptly notify the Borrower and the Administrative Agent at any time the chief tax officer of such Lender (or such other person so responsible) becomes aware that it no longer satisfies the legal requirements to provide any previously delivered form or certificate to the Borrower (or any other form of certification adopted by the U.S. or other taxing authorities for such purpose). (g) Documentation Required by FATCA. If a payment made to a Lender under this Agreement would be subject to withholding Tax imposed by FATCA if such Lender were to fail to comply with the applicable reporting requirements of FATCA (including those contained in Section 1471(b) or 1472(b) of the Code, as applicable), such Lender shall deliver to the Borrower and the Administrative Agent, at the time or times prescribed by law and at such time or times reasonably requested by the Borrower or the Administrative Agent, such documentation prescribed by applicable law (including as prescribed by Section 1471(b)(3)(C)(i) of the Code) and such additional documentation reasonably requested by the Borrower or the Administrative Agent as may be necessary for the Borrower and the Administrative Agent to comply with their respective obligations under FATCA or to determine the amount to deduct and withhold from such payment. Solely for purposes of this Section 2.16(g), “FATCA” shall include any amendments made to FATCA after the date of this Agreement. (h) Treatment of Certain Refunds. If the Administrative Agent, any Lender or any Issuing Bank determines, in its sole discretion exercised in good faith, that it has received a refund (or credit in lieu of such refund) of any Taxes or Other Taxes as to which it has been indemnified by the Borrower or with respect to which the Borrower has paid additional amounts pursuant to this Section 2.16, it shall pay to the Borrower an amount equal to such refund or credit (but only to the extent of indemnity payments made, or additional amounts paid, by the Borrower under this Section 2.16 with respect to the Taxes or Other Taxes giving rise to such refund or credit), net of all reasonable out-of-pocket expenses of the Administrative Agent, any Lender, or any Issuing Bank, as the case may be, and without interest (other than any interest paid by the relevant Governmental Authority with respect to such refund or credit); provided that the Borrower, upon the request of the Administrative Agent, any Lender, or any Issuing Bank, agrees to repay the amount paid over to the Borrower (plus any penalties, interest or other charges imposed by the relevant Governmental Authority) to the Administrative Agent, any 108 Revolving Credit and Term Loan Agreement


 
Lender, or any Issuing Bank in the event the Administrative Agent, any Lender, or any Issuing Bank is required to repay such refund to such Governmental Authority. Notwithstanding anything to the contrary in this paragraph (h), in no event will the Administrative Agent, any Lender, or any Issuing Bank be required to pay any amount to Borrower pursuant to this paragraph (h), the payment of which would place such Person in a less favorable net after-Tax position than such Person would have been in if the indemnification payments or additional amounts giving rise to such refund had never been paid. This subsection shall not be construed to require the Administrative Agent, any Lender, or any Issuing Bank to make available its tax returns or its books or records (or any other information relating to its taxes that it deems confidential) to the Borrower or any other Person. SECTION 2.17. Payments Generally; Pro Rata Treatment: Sharing of Set-offs. (a) Payments by the Borrower. The Borrower shall make each payment required to be made by it hereunder (whether of principal, interest, fees or reimbursement of LC Disbursements, or under Section 2.14, 2.15 or 2.16, or otherwise) or under any other Loan Document (except to the extent otherwise provided therein) prior to 2:00 p.m., New York City time, on the date when due, in immediately available funds, without set-off or counterclaim. Any amounts received after such time on any date may, in the discretion of the Administrative Agent, be deemed to have been received on the next succeeding Business Day for purposes of calculating interest thereon. All such payments shall be made to the Administrative Agent at the Administrative Agent’s Account, except as otherwise expressly provided in the relevant Loan Document and except payments to be made directly to any Issuing Bank or a Swingline Lender as expressly provided herein and payments pursuant to Sections 2.14, 2.15, 2.16 and 9.03, which shall be made directly to the Persons entitled thereto. The Administrative Agent shall distribute any such payments received by it for the account of any other Person to the appropriate recipient promptly following receipt thereof. If any payment hereunder shall be due on a day that is not a Business Day, the date for payment shall be extended to the next succeeding Business Day and, in the case of any payment accruing interest, interest thereon shall be payable for the period of such extension. All amounts owing under this Agreement (including commitment fees, payments required under Section 2.14, and payments required under Section 2.15 relating to any Loan denominated in Dollars, but not including principal of, and interest on, any Loan denominated in any Foreign Currency or payments relating to any such Loan required under Section 2.15, or any reimbursement or Cash Collateralization of any LC Exposure denominated in any Foreign Currency, which are payable in such Foreign Currency) or under any other Loan Document (except to the extent otherwise provided therein) are payable in Dollars. Notwithstanding the foregoing, if the Borrower shall fail to pay any principal of any Loan or LC Disbursement when due (whether at stated maturity, by acceleration, by mandatory prepayment or otherwise), the unpaid portion of such Loan or LC Disbursement shall, if such Loan or LC Disbursement is not denominated in Dollars, automatically be redenominated in Dollars on the due date thereof (or, if such due date is a day other than the last day of the Interest Period therefor, on the last day of such Interest Period) in an amount equal to the Dollar Equivalent thereof on the date of such redenomination and such principal shall be payable on demand; and if the Borrower shall fail to pay any interest on any Loan or LC Disbursement that is not denominated in Dollars, such interest shall automatically be redenominated in Dollars on the due date therefor (or, if such due 109 Revolving Credit and Term Loan Agreement


 
date is a day other than the last day of the Interest Period therefor, on the last day of such Interest Period) in an amount equal to the Dollar Equivalent thereof on the date of such redenomination and such interest shall be payable on demand. Notwithstanding the foregoing provisions of this Section 2.17, if, after the making of any Borrowing in any Foreign Currency, currency control or exchange regulations are imposed in the country which issues such currency with the result that the type of Currency in which the Borrowing was made (the “Original Currency”) no longer exists or the Borrower is not able to make payment to the Administrative Agent for the account of the Lenders in such Original Currency, then all payments to be made by the Borrower hereunder in such currency shall instead be made when due in Dollars in an amount equal to the Dollar Equivalent (as of the date of repayment) of such payment due, it being the intention of the parties hereto that the Borrower takes all risks of the imposition of any such currency control or exchange regulations. (b) Application of Insufficient Payments. If at any time insufficient funds are received by and available to the Administrative Agent to pay fully all amounts of principal, unreimbursed LC Disbursements, interest and fees of a Class of Commitments then due hereunder, such funds shall be applied (i) first, to pay interest and fees of such Class then due hereunder, ratably among the parties entitled thereto in accordance with the amounts of interest and fees of such Class then due to such parties, and (ii) second, to pay principal and unreimbursed LC Disbursements of such Class then due hereunder, ratably among the parties entitled thereto in accordance with the amounts of principal and unreimbursed LC Disbursements of such Class then due to such parties. (c) Pro Rata Treatment. Except to the extent otherwise provided herein: (i) each Borrowing of a Class shall be made from the Lenders of such Class of Commitments, each payment of commitment fee under Section 2.11 shall be made for the account of the Revolving Lenders pro rata according to the average daily unutilized amounts of the respective Class of Revolving Credit Commitments, and each termination or reduction of the amount of the Commitments of a Class of Commitments under Section 2.08 shall be applied to the respective Commitments of the Lenders of such Class of Commitments, pro rata according to the amounts of their respective Commitments of such Class of Commitments; (ii) each Borrowing of a Class of Commitments shall be allocated pro rata among the Lenders of such Class according to the amounts of their respective Commitments of such Class (in the case of the making of Loans) or their respective Loans of such Class that are to be included in such Borrowing (in the case of conversions and continuations of Loans); (iii) each payment or prepayment of principal of Loans of a Class of Commitments by the Borrower shall be made for the account of the Lenders of such Class of Commitments pro rata in accordance with the respective unpaid principal amounts of the Loans of such Class of Commitments held by them; and (iv) each payment of interest on Loans of a Class of Commitments by the Borrower shall be made for the account of the Lenders of such Class of Commitments pro rata in accordance with the amounts of interest on such Loans of such Class of Commitments then due and payable to the respective Lenders. (d) Sharing of Payments by Lenders. If any Lender of any Class of Commitment shall, by exercising any right of set-off or counterclaim or otherwise, obtain payment in respect of any principal of or interest on any of its Loans, or participations in LC 110 Revolving Credit and Term Loan Agreement


 
Disbursements or Swingline Loans, of such Class resulting in such Lender receiving payment of a greater proportion of the aggregate amount of its Loans, and participations in LC Disbursements and Swingline Loans, and accrued interest thereon of such Class then due than the proportion received by any other Lender of such Class, then the Lender receiving such greater proportion shall purchase (for cash at face value) participations in the Loans, and participations in LC Disbursements and Swingline Loans, of other Lenders of such Class to the extent necessary so that the benefit of all such payments shall be shared by the Lenders of such Class ratably in accordance with the aggregate amount of principal of and accrued interest on their respective Loans, and participations in LC Disbursements and Swingline Loans, of such Class; provided that (i) if any such participations are purchased and all or any portion of the payment giving rise thereto is recovered, such participations shall be rescinded and the purchase price restored to the extent of such recovery, without interest, and (ii) the provisions of this paragraph (d) shall not be construed to apply to any payment made by the Borrower pursuant to and in accordance with the express terms of this Agreement or any payment obtained by a Lender as consideration for the assignment of or sale of a participation in any of its Loans or participations in LC Disbursements to any assignee or participant, other than to the Borrower or any Subsidiary or Affiliate thereof (as to which the provisions of this paragraph (d) shall apply). The Borrower consents to the foregoing and agrees, to the extent it may effectively do so under applicable law, that any Lender acquiring a participation pursuant to the foregoing arrangements may exercise against the Borrower rights of set-off and counterclaim with respect to such participation as fully as if such Lender were a direct creditor of the Borrower in the amount of such participation. For the avoidance of doubt, the Borrower may (1) make a Borrowing under the Dollar Revolving Credit Commitments or Multicurrency Revolving Credit Commitments (if otherwise permitted hereunder) and may use the proceeds of such Borrowing (x) with Dollar Revolving Credit Commitments to prepay the Multicurrency Revolving Loans (without making a ratable prepayment of the Dollar Revolving Loans) or Term Loans or (y) with Multicurrency Revolving Credit Commitments to prepay the Dollar Revolving Loans (without making a ratable payment to the Multicurrency Loans)Revolving Loans) or Term Loans, and (2) make a Borrowing under the Term Loan Commitments (if otherwise permitted hereunder) and may use the proceeds of such Borrowing to prepay Revolving Loans. (e) Presumptions of Payment. Unless the Administrative Agent shall have received notice from the Borrower prior to the date on which any payment is due to the Administrative Agent for the account of the Lenders or the Issuing Banks hereunder that the Borrower will not make such payment, the Administrative Agent may assume that the Borrower has made such payment on such date in accordance herewith and may, in reliance upon such assumption, distribute to the Lenders or the Issuing Banks, as the case may be, the amount due. In such event, if the Borrower has not in fact made such payment, then each of the Lenders or the Issuing Banks, as the case may be, severally agrees to repay to the Administrative Agent forthwith on demand the amount so distributed to such Lender or such Issuing Bank with interest thereon, for each day from and including the date such amount is distributed to it to but excluding the date of payment to the Administrative Agent at the Federal Funds Effective Rate. (f) Certain Deductions by the Administrative Agent. If any Lender shall fail to make any payment required to be made by it pursuant to Section 2.05(e), 2.06(a) or (b) or 2.17(e), then the Administrative Agent may, in its discretion (notwithstanding any contrary provision hereof), apply any amounts thereafter received by the Administrative Agent for the 111 Revolving Credit and Term Loan Agreement


 
account of such Lender to satisfy such Lender’s obligations under such Sections until all such unsatisfied obligations are fully paid. SECTION 2.18. Mitigation Obligations; Replacement of Lenders. (a) Designation of a Different Lending Office. If any Lender requests compensation under Section 2.14, or if the Borrower is required to pay any Indemnified Taxes, Other Taxes or additional amount to any Lender or any Governmental Authority for the account of any Lender pursuant to Section 2.16, then, at the request of the Borrower, such Lender shall use reasonable efforts to designate a different lending office for funding or booking its Loans hereunder or to assign its rights and obligations hereunder to another of its offices, branches or affiliates, if in the reasonable judgment of such Lender, such designation or assignment (i) would eliminate or reduce amounts payable pursuant to Section 2.14 or 2.16, as the case may be, in the future and (ii) would not subject such Lender to any cost or expense not actually reimbursed, or required to be reimbursed, by the Borrower and would not otherwise be disadvantageous to such Lender. The Borrower hereby agrees to pay all reasonable costs and expenses incurred by any Lender in connection with any such designation or assignment. (b) Replacement of Lenders. If (x) any Lender requests compensation under Section 2.14, or if the Borrower is required to pay any Indemnified Taxes, Other Taxes or additional amount to any Lender or any Governmental Authority for the account of any Lender pursuant to Section 2.16 and, in each case, such Lender has not designated a different lending office in accordance with clause (a) above, (y) any Lender becomes a Defaulting Lender or (z) any Lender is a Non-Consenting Lender, then, in each case, the Borrower may, at its sole expense and effort, upon notice to such Lender and the Administrative Agent, require such Lender to assign and delegate, without recourse (in accordance with and subject to the restrictions contained in Section 9.04(b)), all its interests, rights and obligations under this Agreement and the other Loan Documents to an assignee that shall assume such obligations (which assignee may be another Lender, if a Lender accepts such assignment); provided that (i) the Borrower shall have received the prior written consent of the Administrative Agent (and, if a Commitment is being assigned, each Issuing Bank or Swingline Lender), which consent shall not be unreasonably withheld, conditioned or delayed, (ii) such Lender shall have received payment of an amount equal to the outstanding principal of its Loans and participations in LC Disbursements and Swingline Loans, accrued interest thereon, accrued fees and all other amounts payable to it hereunder, from the assignee (to the extent of such outstanding principal and accrued interest and fees) or the Borrower (in the case of all other amounts then owed to such Lender) and (iii) in the case of any such assignment resulting from a claim for compensation under Section 2.14 or payments required to be made pursuant to Section 2.16, such assignment is reasonably expected at the time of such assignment request to result in a reduction in such compensation or payments. A Lender shall not be required to make any such assignment and delegation if prior thereto, as a result of a waiver by such Lender or otherwise, the circumstances entitling the Borrower to require such assignment and delegation cease to apply. SECTION 2.19. Defaulting Lenders. 112 Revolving Credit and Term Loan Agreement


 
(a) Defaulting Lender Adjustments. Notwithstanding anything to the contrary contained in this Agreement, if any Lender becomes a Defaulting Lender, then, until such time as such Lender is no longer a Defaulting Lender, to the extent permitted by applicable law: (i) Defaulting Lender Waterfall. Any payment of principal, interest, fees or other amounts received by the Administrative Agent for the account of such Defaulting Lender (whether voluntary or mandatory, at maturity, pursuant to Article VII or otherwise) or received by the Administrative Agent from a Defaulting Lender pursuant to Section 9.08 shall be applied at such time or times as may be determined by the Administrative Agent as follows: first, to the payment of any amounts owing by such Defaulting Lender to the Administrative Agent hereunder; second, to the payment on a pro rata basis of any amounts owing by such Defaulting Lender to any Issuing Bank hereunder, third, if such Defaulting Lender is a Revolving Lender, to Cash Collateralize each Issuing Bank’s Fronting Exposure with respect to such Defaulting Lender (if any) in the manner described in Section 2.09(a), fourth, as the Borrower may request (so long as no Event of Default exists), to the funding of any Loan in respect of which such Defaulting Lender has failed to fund its portion thereof as required by this Agreement, as determined by the Administrative Agent; fifth, if so determined by the Administrative Agent and the Borrower, to be held in a deposit account and released pro rata in order to (x) satisfy such Defaulting Lender’s potential future funding obligations with respect to Loans under this Agreement and (y) if applicable (and if such Defaulting Lender is a Revolving Lender), Cash Collateralize each Issuing Bank’s future Fronting Exposure with respect to such Defaulting Lender with respect to future Letters of Credit issued under this Agreement, in the manner described in Section 2.09(a); sixth, to the payment of any amounts owing to the Lenders or Issuing Banks as a result of any judgment of a court of competent jurisdiction obtained by any Lender or any Issuing Bank against such Defaulting Lender as a result of such Defaulting Lender’s breach of its obligations under this Agreement; seventh, so long as no Event of Default exists, to the payment of any amounts owing to the Borrower as a result of any judgment of a court of competent jurisdiction obtained by the Borrower against such Defaulting Lender as a result of such Defaulting Lender’s breach of its obligations under this Agreement; and eighth, to such Defaulting Lender or as otherwise directed by a court of competent jurisdiction; provided that if (x) such payment is a payment of the principal amount of any Loans or reimbursement obligations in respect of any LC Disbursement for which such Defaulting Lender has not fully funded its appropriate share, and (y) such Loans were made or the related Letters of Credit (if any) were issued at a time when the conditions set forth in Section 4.02 were satisfied or waived, such payment shall be applied solely to pay the Loans of, and reimbursement obligations in respect of any LC Disbursement that is owed to, all applicable Non-Defaulting Lenders on a pro rata basis prior to being applied to the payment of any Loans of, or reimbursement obligations in respect of any LC Disbursement that is owed to, such Defaulting Lender until such time as all Loans and funded and unfunded participations in Letters of Credit (if any) are held by the Lenders pro rata in accordance with the applicable Commitments without giving effect to Section 2.19(a)(iii). Any 113 Revolving Credit and Term Loan Agreement


 
payments, prepayments or other amounts paid or payable to a Defaulting Lender that are applied (or held) to pay amounts owed by a Defaulting Lender or to post Cash Collateral pursuant to this Section 2.19(a)(i) shall be deemed paid to and redirected by such Defaulting Lender, and each Lender irrevocably consents hereto. (ii) Certain Fees. (A) No Defaulting Lender under the Revolving Facility shall be entitled to receive any fee pursuant to Sections 2.11(a) and (b) for any period during which that Lender is a Defaulting Lender (and the Borrower shall not be required to pay any such fee that otherwise would have been required to have been paid to that Defaulting Lender); provided that such Defaulting Lender shall be entitled to receive fees pursuant to Section 2.11(b) for any period during which that Lender is a Defaulting Lender only to the extent allocable to its Applicable Revolving Percentage in respect of the Revolving Facility of the stated amount of Letters of Credit for which such Defaulting Lender (but not the Borrower) has provided Cash Collateral pursuant to Section 2.19(d). (B) With respect to any fees pursuant to Section 2.11(b) not required to be paid to any Defaulting Lender pursuant to clause (A) above, the Borrower shall (x) pay to each Non-Defaulting Lender under the Revolving Facility that portion of any such fee otherwise payable to such Defaulting Lender with respect to such Defaulting Lender’s participation in Letters of Credit or Swingline Loans that has been reallocated to such Non-Defaulting Lender pursuant to clause (iii) below, (y) pay to each Issuing Bank or Swingline Lender the amount of any such fee otherwise payable to such Defaulting Lender to the extent allocable to such Issuing Bank’s Fronting Exposure or Swingline Exposure to such Defaulting Lender, and (z) not be required to pay the remaining amount of any such fee. (iii) Reallocation of Participations to Reduce Fronting Exposure. All or any part of such Defaulting Lender’s participation in Letters of Credit or Swingline Loans shall be reallocated (effective no later than one Business Day after the Administrative Agent has actual knowledge that such Lender has become a Defaulting Lender) among the Revolving Lenders that are Non-Defaulting Lenders in accordance with their respective Applicable Dollar Revolving Percentages, Applicable Multicurrency Revolving Percentages and Applicable Revolving Percentages, as the case may be (in each case calculated without regard to such Defaulting Lender’s Revolving Credit Commitment), but only to the extent that (x) the conditions set forth in Section 4.02 are satisfied at the time of such reallocation (and, unless the Borrower shall have otherwise notified the Administrative Agent at such time, the Borrower shall be deemed to have represented and warranted that such conditions are satisfied at such time), and (y) such reallocation does not cause the aggregate Revolving Credit Exposure of any 114 Revolving Credit and Term Loan Agreement


 
Non-Defaulting Lender that is a Revolving Lender to exceed such Non-Defaulting Lender’s Revolving Credit Commitment. Subject to Section 9.15, no reallocation hereunder shall constitute a waiver or release of any claim of any party hereunder against a Defaulting Lender arising from that Lender having become a Defaulting Lender, including any claim of a Non-Defaulting Lender as a result of such Non-Defaulting Lender’s increased exposure following such reallocation. (iv) Cash Collateral; Repayment of Swingline Loans. If the reallocation described in clause (iii) above cannot, or can only partially, be effected, the Borrower shall not later than two Business Days after demand by the Administrative Agent (at the direction of any Issuing Bank and/or any Swingline Lender), without prejudice to any right or remedy available to it hereunder or under law, (x) first, prepay such Defaulting Lender’s Swingline Exposure and second, Cash Collateralize each Issuing Bank’s Fronting Exposure in accordance with the procedures set forth in Section 2.19(d) or (y) make other arrangements reasonably satisfactory to the Administrative Agent, the Issuing Banks and the Swingline Lenders in their sole discretion to protect them against the risk of non-payment by such Defaulting Lender. (b) Defaulting Lender Cure. If the Borrower, the Administrative Agent, the Swingline Lenders, and the Issuing Banks agree in writing that a Lender is no longer a Defaulting Lender, the Administrative Agent will so notify the parties hereto, whereupon as of the effective date specified in such notice and subject to any conditions set forth therein (which may include arrangements with respect to any Cash Collateral), that such former Defaulting Lender will, to the extent applicable, purchase at par that portion of outstanding Loans of the other Lenders under the applicable Facilities or take such other actions as the Administrative Agent may determine to be necessary to cause the Loans and funded and unfunded participations in Letters of Credit and Swingline Loans to be held pro rata by the Lenders under the applicable Facilities in accordance with the applicable Commitments (without giving effect to Section 2.19(a)(iii)), and if any Cash Collateral has been posted with respect to such Defaulting Lender, the Administrative Agent will promptly return or release such Cash Collateral to the Borrower, whereupon such Lender will cease to be a Defaulting Lender; provided that no adjustments will be made retroactively with respect to fees accrued or payments made by or on behalf of the Borrower while that Lender was a Defaulting Lender; and provided, further, that except to the extent otherwise expressly agreed by the affected parties, no change hereunder from Defaulting Lender to Lender will constitute a waiver or release of any claim of any party hereunder arising from that Lender having been a Defaulting Lender. (c) New Swingline Loans and Letters of Credit. So long as any Revolving Lender is a Defaulting Lender, no Swingline Lender shall be required to fund any Swingline Loan and no Issuing Bank shall be required to issue, extend, renew or increase any Letter of Credit unless it is satisfied that the participations in any existing Letters of Credit as well as the new, extended, renewed or increased Letter of Credit has been or will be fully allocated among the Non-Defaulting Lenders holding Revolving Credit Commitments at such time in a manner consistent with clause (a)(iii) above and such Defaulting Lender shall not participate therein except to the extent such Defaulting Lender’s participation has been or will be fully Cash 115 Revolving Credit and Term Loan Agreement


 
Collateralized in accordance with Section 2.19(d), and Swingline Exposure related to any newly made Swingline Loan and participating interests in any such newly issued or increased Letter of Credit shall be allocated among non-Defaultingsuch Non-Defaulting Lenders of suchthe applicable Class in a manner consistent with Section 2.19(a)(iii) (and Defaulting Lenders shall not participate therein). (d) Cash Collateral. At any time that there shall exist a Defaulting Lender under the Revolving Facility, promptly following the written request of the Administrative Agent or any Issuing Bank (with a copy to the Administrative Agent) the Borrower shall Cash Collateralize each Issuing Bank’s Fronting Exposure and Swingline Exposure, with respect to such Defaulting Lender (determined after giving effect to Section 2.19(a)(iii) and any Cash Collateral provided by such Defaulting Lender) in an amount not less than the Minimum Collateral Amount. (i) Grant of Security Interest. The Borrower, and to the extent provided by any Defaulting Lender, such Defaulting Lender, hereby grants to (and subjects to the control of) the Administrative Agent, for the benefit of the Issuing Banks, and agrees to maintain, a first priority security interest in all such Cash Collateral as security for the Defaulting Lenders’ obligation to fund participations in respect of Letters of Credit, to be applied pursuant to clause (ii) below. If at any time the Administrative Agent determines that such Cash Collateral is subject to any right or claim of any Person other than the Administrative Agent and the Issuing Banks as herein provided, or that the total amount of such Cash Collateral is less than the Minimum Collateral Amount, the Borrower will, promptly upon demand by the Administrative Agent, pay or provide to the Administrative Agent additional Cash Collateral in an amount sufficient to eliminate such deficiency (after giving effect to any Cash Collateral provided by the Defaulting Lender). All Cash Collateral (other than credit support not constituting funds subject to deposit) shall be maintained in blocked, non-interest bearing deposit accounts at SMBC. The Borrower shall pay on demand therefor from time to time all reasonable and customary account opening, activity and other administrative fees and charges in connection with the maintenance and disbursement of Cash Collateral. (ii) Application. Notwithstanding anything to the contrary contained in this Agreement, Cash Collateral provided under this Section 2.19 in respect of Letters of Credit shall be applied to the satisfaction of the Defaulting Lender’s obligation of any Defaulting Lender that is a Revolving Lender to fund participations in respect of Letters of Credit (including, as to Cash Collateral provided by a Defaulting Lender, any interest accrued on such obligation) for which the Cash Collateral was so provided, prior to any other application of such property as may otherwise be provided for herein. (iii) Termination of Requirement. Cash Collateral (or the appropriate portion thereof) provided to reduce Issuing Bank’s Fronting Exposure shall no longer be required to be held as Cash Collateral pursuant to this Section 2.19 following (i) the elimination of the applicable Fronting Exposure (including by 116 Revolving Credit and Term Loan Agreement


 
the termination of Defaulting Lender status of the applicable Revolving Lender or giving effect to Section 2.19(a)(iii)) or (ii) the determination by the Administrative Agent and the Issuing Banks that there exists excess Cash Collateral; provided that, subject to the other provisions of this Section 2.19, the Person providing Cash Collateral and each Issuing Bank may agree that Cash Collateral shall be held to support future anticipated Fronting Exposure; provided, further, that to the extent that such Cash Collateral was provided by the Borrower, such Cash Collateral shall remain subject to the security interest granted pursuant to the Loan Documents. SECTION 2.20. Effect of Benchmark Transition Event. (a) Benchmark Replacement Setting. Notwithstanding anything to the contrary herein or in any other Loan Document, if a Benchmark Transition Event and its related Benchmark Replacement Date have occurred prior to any setting of the then-current Benchmark for a Currency, then (x) if a Benchmark Replacement for the Term SOFR Reference Rate is determined in accordance with clause (1) of the definition of “Benchmark Replacement” for such Benchmark Replacement Date or a Benchmark Replacement for the Term CORRA Reference Rate is determined in accordance with clause (2) of the definition of “Benchmark Replacement” for such Benchmark Replacement Date, such Benchmark Replacement will replace such Benchmark for all purposes hereunder and under any other Loan Document in respect of such Benchmark setting and subsequent Benchmark settings without any amendment to, or further action or consent of any other party to, this Agreement or any other Loan Document and (y) if a Benchmark Replacement is determined in accordance with clause (2) of the definition of “Benchmark Replacement” for such Benchmark Replacement Date, such Benchmark Replacement will replace such Benchmark for such Currency for all purposes hereunder and under any other Loan Document in respect of any Benchmark setting at or after 5:00 p.m. (New York City time) on the fifth (5th) Business Day after the date notice of such Benchmark Replacement is provided to the Lenders without any amendment to, or further action or consent of any other party to, this Agreement or any other Loan Document so long as the Administrative Agent has not received, by such time, written notice of objection to such Benchmark Replacement from Lenders comprising (x) in the case of a Benchmark Replacement for Dollars, the Required Lenders, and (y) in the case of a Benchmark Replacement for any Foreign Currency, the Required Multicurrency Revolving Lenders. If the Benchmark Replacement is Daily Simple SOFR or Daily Compounded CORRA, all interest payments will be payable on a monthly basis on each Monthly Date. (b) Benchmark Replacement Conforming Changes. In connection with the use, administration, adoption or implementation of a Benchmark Replacement, the Administrative Agent (after consulting with the Borrower) will have the right to make Conforming Changes from time to time and, notwithstanding anything to the contrary herein or in any other Loan Document, any amendments implementing such Conforming Changes will become effective without any further action or consent of any other party to this Agreement or any other Loan Document. (c) Notices; Standards for Decisions and Determinations. The Administrative Agent will promptly notify the Borrower and the Lenders of (i) the occurrence of a Benchmark 117 Revolving Credit and Term Loan Agreement


 
Transition Event, (ii) the implementation of any Benchmark Replacement and (iii) the effectiveness of any Conforming Changes in connection with the use, administration, adoption or implementation of a Benchmark Replacement. The Administrative Agent will promptly notify the Borrower of (x) the removal or reinstatement of any tenor of a Benchmark pursuant to clause(d) below and (y) the commencement or conclusion of any Benchmark Unavailability Period. Any determination, decision or election that may be made by the Administrative Agent or, if applicable, any Lender (or group of Lenders) pursuant to this Section 2.20, including any determination with respect to a tenor, rate or adjustment or of the occurrence or non-occurrence of an event, circumstance or date and any decision to take or refrain from taking any action or any selection, will be conclusive and binding absent manifest error and may be made in its or their sole discretion and without consent from any other party to this Agreement or any other Loan Document, except, in each case, as expressly required pursuant to this Section 2.20. (d) Unavailability of Tenor of Benchmark. Notwithstanding anything to the contrary herein or in any other Loan Document, at any time (including in connection with the implementation of a Benchmark Replacement), (i) if the then-current Benchmark for a Currency is a term rate (including the Term SOFR Reference Rate, the Term CORRA Reference Rate or the applicable Adjusted Term Benchmark Rate) and either (A) any tenor for such Benchmark for such Currency is not displayed on a screen or other information service that publishes such rate from time to time as selected by the Administrative Agent in its reasonable discretion or (B) the regulatory supervisor for the administrator of such Benchmark has provided a public statement or publication of information announcing that any tenor for such Benchmark for such Currency is not or will not be representative, then the Administrative Agent may modify the definition of “Interest Period” (or any similar or analogous definition) for any Benchmark settings for such Currency at or after such time to remove such unavailable or non-representative tenor and (ii) if a tenor that was removed pursuant to clause (i) above either (A) is subsequently displayed on a screen or information service for a Benchmark for such Currency (including a Benchmark Replacement) or (B) is not, or is no longer, subject to an announcement that it is not or will not be representative for a Benchmark for such Currency (including a Benchmark Replacement), then the Administrative Agent may modify the definition of “Interest Period” (or any similar or analogous definition) for all Benchmark settings for such Currency at or after such time to reinstate such previously removed tenor. (e) Benchmark Unavailability Period. Upon the Borrower’s receipt of notice of the commencement of a Benchmark Unavailability Period, the Borrower may revoke any pending request for a Term Benchmark Borrowing or RFR Borrowing of, conversion to or continuation of Term Benchmark Loans or RFR Loans in each affected Currency to be made, converted or continued during any Benchmark Unavailability Period and, failing that, (i) any Interest Election Request that requests the conversion of any Borrowing to, or the continuation of any Borrowing as, a Term Benchmark Borrowing, denominated in the affected Currency shall be ineffective and, if the affected Currency is Dollars, such Borrowing (unless prepaid) shall be continued as, or converted to an ABR Borrowing at the end of the applicable Interest Period, (ii) if the affected Currency is Dollars and any Borrowing Request requests a Term Benchmark Borrowing denominated in Dollars, such Borrowing shall be made as an ABR Borrowing, (iii) if the affected Currency is a Foreign Currency other than Canadian Dollars, (A) any Borrowing Request that requests a Term Benchmark Borrowing or RFR Borrowing denominated in the affected Currency shall be made as a Term Benchmark Borrowing with a Term Benchmark Rate 118 Revolving Credit and Term Loan Agreement


 
equal to the Central Bank Rate for the applicable Agreed Foreign Currency; provided, that if the Administrative Agent determines (which determination shall be conclusive and binding absent manifest error) that the Central Bank Rate for the applicable Foreign Currency cannot be determined, such Borrowing Request shall be ineffective, and (B) any outstanding Term Benchmark Borrowing or RFR Borrowing in the affected Currency, at the Borrower’s election, shall either (1) be converted to a Term Benchmark Borrowing with a Term Benchmark Rate equal to the Central Bank Rate for the applicable Agreed Foreign Currency; provided that, if the Administrative Agent determines (which determination shall be conclusive and binding absent manifest error) that the Central Bank Rate for the applicable Agreed Foreign Currency cannot be determined, such Borrowing shall be converted into an ABR Borrowing denominated in Dollars (in an amount equal to the Dollar Equivalent of such affected Currency) immediately in the case of an RFR Borrowing or, in the case of a Term Benchmark Borrowing, at the end of the applicable Interest Period, (2) be converted into an ABR Borrowing denominated in Dollars (in an amount equal to the Dollar Equivalent of such affected Currency) immediately in the case of an RFR Borrowing or, in the case of a Term Benchmark Borrowing, at the end of the applicable Interest Period, or (3) be prepaid in full immediately in the case of an RFR Borrowing or, in the case of a Term Benchmark Borrowing, at the end of the applicable Interest Period, and (iv) if the affected Currency is Canadian Dollars, (A) any Borrowing Request that requests a Term Benchmark Borrowing denominated in Canadian Dollars shall be made as a Term Benchmark Borrowing with a Term Benchmark Rate equal to the Canadian Prime Rate; provided, that if the Administrative Agent determines (which determination shall be conclusive and binding absent manifest error) that the Canadian Prime Rate cannot be determined, such Borrowing Request shall be ineffective, and (B) any outstanding Term Benchmark Borrowing in Canadian Dollars, at the Borrower’s election, shall either (1) be converted to a Term Benchmark Borrowing denominated in Canadian Dollars with a Term Benchmark Rate equal to the Canadian Prime Rate at the end of applicable Interest Period; provided that, if the Administrative Agent determines (which determination shall be conclusive and binding absent manifest error) that the Canadian Prime Rate cannot be determined, such Borrowing shall be converted into an ABR Borrowing denominated in Dollars (in an amount equal to the Dollar Equivalent of such affected Currency) at the end of the applicable Interest Period, (2) be converted into an ABR Borrowing denominated in Dollars (in an amount equal to the Dollar Equivalent of such affected Currency) at the end of the applicable Interest Period, or (3) be prepaid in full at the end of the applicable Interest Period; provided that, if no election is made by the Borrower by the date that is three Business Days after receipt by the Borrower of such notice or, in the case of a Term Benchmark Borrowing, the last day of the current Interest Period for the applicable Term Benchmark Loan, if earlier, the Borrower shall be deemed to have elected clause (iii)(B)(1) or (iv)(B)(1) above, as applicable. During a Benchmark Unavailability Period or at any time that a tenor for the then-current Benchmark is not an Available Tenor, the component of the Alternate Base Rate based upon the then-current Benchmark or such tenor for such Benchmark, as applicable, will not be used in any determination of the Alternate Base Rate. SECTION 2.21. Illegality. If any Change in Law shall make it unlawful or impossible for any Lender to perform any of its obligations hereunder, to make, maintain or fund any RFR Loan or Term Benchmark Loan or to determine or charge interest rates based upon any applicable Daily Simple RFR or Term Benchmark Rate and such Lender shall so notify the Administrative Agent, the Administrative Agent shall give written notice thereof (or telephonic notice, promptly confirmed in writing) to the Borrower and the other Lenders as promptly as 119 Revolving Credit and Term Loan Agreement


 
practicable thereafter, whereupon until such Lender notifies the Administrative Agent and the Borrower that the circumstances giving rise to such notice no longer exist, (i) the Alternate Base Rate shall, if necessary to avoid such illegality, be determined by the Administrative Agent without reference to clause (iii) thereof, (ii) any Interest Election Request that requests the conversion of any Borrowing to, or the continuation of any Borrowing as, a Term Benchmark Borrowing denominated in the affected Currency shall be ineffective and, if the affected Currency is Dollars, such Borrowing (unless prepaid) shall be continued as, or converted to, an ABR Borrowing either (A) at the end of the applicable Interest Period if such Lender may lawfully continue to maintain such Loan to such date or (B) immediately if such Lender shall determine that it may not lawfully continue to maintain such Term Benchmark Loan to such date, (iii) if the affected Currency is Dollars and any Borrowing Request requests a Term Benchmark Borrowing denominated in Dollars, such Borrowing shall be made as an ABR Borrowing, (iv) if the affected Currency is a Foreign Currency other than Canadian Dollars, (A) any Borrowing Request that requests a Term Benchmark Borrowing or RFR Borrowing denominated in the affected Currency shall be made as a Term Benchmark Borrowing with a Term Benchmark Rate equal to the Central Bank Rate for the applicable Agreed Foreign Currency; provided, that if the Administrative Agent determines (which determination shall be conclusive and binding absent manifest error) that the Central Bank Rate for the applicable Agreed Foreign Currency cannot be determined, such Borrowing Request shall be ineffective, and (B) any outstanding Term Benchmark Borrowing or RFR Borrowing in the affected Currency, at the Borrower’s election shall either (1) be converted to a Term Benchmark Borrowing with a Term Benchmark Rate equal to the Central Bank Rate for the applicable Agreed Foreign Currency; provided that, if the Administrative Agent determines (which determination shall be conclusive and binding absent manifest error) that the Central Bank Rate for the applicable Agreed Foreign Currency cannot be determined, such Borrowing shall be converted into an ABR Borrowing denominated in Dollars (in an amount equal to the Dollar Equivalent of such affected Currency) immediately in the case of an RFR Borrowing or, in the case of a Term Benchmark Borrowing, either (x) at the end of the applicable Interest Period if such Lender may lawfully continue to maintain such Loan to such date or (y) immediately if such Lender shall determine that it may not lawfully continue to maintain such Term Benchmark Loan to such date, (2) be converted into an ABR Borrowing denominated in Dollars (in an amount equal to the Dollar Equivalent of such affected Currency) immediately in the case of an RFR Borrowing or, in the case of a Term Benchmark Borrowing, either (x) at the end of the applicable Interest Period if such Lender may lawfully continue to maintain such Loan to such date or (y) immediately if such Lender shall determine that it may not lawfully continue to maintain such Term Benchmark Loan to such date, or (3) be prepaid in full immediately in the case of an RFR Borrowing or, in the case of a Term Benchmark Borrowing, either (x) at the end of the applicable Interest Period if such Lender may lawfully continue to maintain such Loan to such date or (y) immediately if such Lender shall determine that it may not lawfully continue to maintain such Term Benchmark Loan to such date, and (v) if the affected Currency is Canadian Dollars, (A) any Borrowing Request that requests a Term Benchmark Borrowing denominated in Canadian Dollars shall be made as a Term Benchmark Borrowing with a Term Benchmark Rate equal to the Canadian Prime Rate; provided, that if the Administrative Agent determines (which determination shall be conclusive and binding absent manifest error) that the Canadian Prime Rate cannot be determined, such Borrowing Request shall be ineffective, and (B) any outstanding Term Benchmark Borrowing in Canadian Dollars, at the Borrower’s election, shall 120 Revolving Credit and Term Loan Agreement


 
either (1) be converted to a Term Benchmark Borrowing denominated in Canadian Dollars with a Term Benchmark Rate equal to the Canadian Prime Rate at the end of applicable Interest Period; provided that, if the Administrative Agent determines (which determination shall be conclusive and binding absent manifest error) that the Canadian Prime Rate cannot be determined, such Borrowing shall be converted into an ABR Borrowing denominated in Dollars (in an amount equal to the Dollar Equivalent of such affected Currency) either (x) at the end of the applicable Interest Period if such Lender may lawfully continue to maintain such Loan to such date or (y) immediately if such Lender shall determine that it may not lawfully continue to maintain such Term Benchmark Loan to such date, (2) be converted into an ABR Borrowing denominated in Dollars (in an amount equal to the Dollar Equivalent of such affected Currency) either (x) at the end of the applicable Interest Period if such Lender may lawfully continue to maintain such Loan to such date or (y) immediately if such Lender shall determine that it may not lawfully continue to maintain such Term Benchmark Loan to such date, or (3) be prepaid in full at the end of the applicable Interest Period; provided that if no election is made by the Borrower by the date that is three Business Days after receipt by the Borrower of such notice or, in the case of a Term Benchmark Borrowing, the last day of the current Interest Period for the applicable Term Benchmark Loan, if earlier, the Borrower shall be deemed to have elected clause (iv)(B)(1) or (v)(B)(1) above, as applicable. Notwithstanding the foregoing, the affected Lender shall, prior to giving such notice to the Administrative Agent, use reasonable efforts to designate a different lending office if such designation would avoid the need for giving such notice and if such designation would not otherwise be disadvantageous to such Lender in the good faith exercise of its discretion. Upon any such prepayment or conversion, the Borrower shall also pay accrued interest on the amount so prepaid or converted, together with any additional amounts required pursuant to Section 2.15. REPRESENTATIONS AND WARRANTIES The Borrower represents and warrants to the Lenders that: SECTION 3.01. Organization; Powers. Each of the Borrower and its Subsidiaries (other than any Immaterial Subsidiary), (a) is duly organized, validly existing and in good standing under the laws of the jurisdiction of its organization, (b) has all requisite power and authority to carry on its business as now conducted and (c) is qualified to do business in, and is in good standing in, every jurisdiction where such qualification is required of the Borrower or such Subsidiary, as applicable, except where the failure to comply with clauses (b) and (c) would not reasonably be expected to result in a Material Adverse Effect. Authorization; Enforceability. The Transactions are within the Borrower’s corporate powers and have been duly authorized by all necessary corporate and, if required, by all necessary shareholder action. This Agreement has been duly executed and delivered by the Borrower and constitutes, and each of the other Loan Documents when executed and delivered by each Obligor party thereto will constitute, a legal, valid and binding obligation of such Obligor, enforceable against such Obligor in accordance with its terms, except as such enforceability may be limited by (a) bankruptcy, insolvency, reorganization, moratorium or similar laws of general applicability affecting the enforcement of creditors’ rights and (b) the application of general principles of equity (regardless of whether such enforceability is considered in a proceeding in equity or at law). Governmental Approvals; No Conflicts. The Transactions (a) do not require any consent or approval of, registration or filing with, or any other action by, any applicable Governmental Authority, except for (i) such as 121 Revolving Credit and Term Loan Agreement


 
have been or will be obtained or made and are or will be in full force and effect, (ii) filings and recordings in respect of the Liens created pursuant to this Agreement or the Security Documents, and (iii) of which the failure to obtain would not reasonably be expected to have a Material Adverse Effect, (b) will not violate any applicable law or regulation or the charter, by-laws or other organizational documents of the Borrower or any other Obligor or any order of any Governmental Authority applicable to the Borrower or any other Obligor, or their respective property, (c) will not violate or result in a default in any material respect under any indenture, agreement or other instrument binding upon the Borrower or any of its Subsidiaries or assets, or give rise to a right thereunder to require any payment to be made by any such Person and (d) except for the Liens created pursuant to this Agreement or the Security Documents, will not result in the creation or imposition of any Lien (other than Liens permitted by Section 6.02) on any asset of the Borrower or any other Obligor except in the cases of the foregoing clauses (b) and (c), as would not reasonably be expected to have a Material Adverse Effect. Financial Condition; No Material Adverse Effect. (a) Financial Statements. The Borrower has heretofore delivered to the Administrative Agent the audited consolidated statement of assets and liabilities, statement of operations, statement of changes in net assets, statement of cash flows and schedule of investments of the Borrower and its Subsidiaries as of and for the year ended December 31, 20222023, certified by a Financial Officer of the Borrower. Such financial statements present fairly, in all material respects, the consolidated financial position and results of operations and cash flows of the Borrower and its consolidated Subsidiaries as of such date and for such period in accordance with GAAP. (b) No Material Adverse Effect. Since the date of the most recent Applicable Financial Statements, there has not been any event, development or circumstance that has had or would reasonably be expected to have a Material Adverse Effect. SECTION 3.05. Litigation. Except, in each case, as disclosed to the Lenders and the Administrative Agent prior to the Amendment No. 2 Effective Date (including as set forth in any report publicly filed with the SEC prior to the Amendment No. 2 Effective Date), as of the Amendment No. 2 Effective Date, there are no actions, suits, investigations or proceedings by or before any arbitrator or Governmental Authority now pending against or, to the knowledge of any Financial Officer of the Borrower, threatened in writing against or affecting the Borrower or any of its Subsidiaries (i) as to which there is a reasonable possibility of an adverse determination and that, if adversely determined, would reasonably be expected, individually or in the aggregate, to result in a Material Adverse Effect or (ii) that directly involve this Agreement or the Transactions (other than any action brought by the Borrower against a Defaulting Lender). Compliance with Laws and Agreements. Each of the Borrower and its Subsidiaries is in compliance with all laws, regulations and orders of any Governmental Authority applicable to it or its property and all indentures, agreements and other instruments binding upon it or its property, except where the failure to do so, individually or in the aggregate, would not reasonably be expected to result in a Material Adverse Effect. None of the Obligors is subject to any contract or other arrangement, the performance of which by them would reasonably be expected to result in a Material Adverse Effect. Taxes. Each of the Borrower and its Subsidiaries has timely filed or caused to be filed all material Tax returns and reports required to have been filed and has paid or caused to be paid all material Taxes required to have been paid 122 Revolving Credit and Term Loan Agreement


 
by it, except (a) Taxes that are being contested in good faith by appropriate proceedings and for which such Person has set aside on its books adequate reserves maintained in accordance with GAAP or (b) to the extent that the failure to do so could not reasonably be expected to result in a Material Adverse Effect. ERISA. No ERISA Event has occurred or is reasonably expected to occur that, when taken together with all other such ERISA Events for which liability is reasonably expected to occur, would reasonably be expected to result in a Material Adverse Effect. Disclosure. None of the written reports, financial statements, certificates or other written information (other than projections (including projected financial information), other forward looking information and information of a general economic or general industry nature or information relating to third parties that, for the avoidance of doubt, are not Affiliates) furnished by or on behalf of the Borrower to the Administrative Agent in connection with the negotiation of this Agreement and the other Loan Documents or delivered hereunder or thereunder (as modified or supplemented by other information so furnished) when taken together with the Borrower’s public filings and as a whole (and after giving effect to all updates, modifications and supplements) contains any material misstatement of fact or omits to state any material fact (known to any Obligor in the case of materials not furnished by it) necessary to make the statements therein, in the light of the circumstances under which they were made, not materially misleading at the time made; provided that, with respect to projections (including projected financial information) and other forward looking information, the Borrower represents only that such information was prepared in good faith based upon assumptions believed in good faith to be reasonable at the time of the preparation thereof (it being understood that projections are subject to significant and inherent uncertainties and contingencies which may be outside of the Borrower’s control and that no assurance can be given that projections will be realized, and are therefore not to be viewed as fact, and that actual results for the periods covered by projections may differ from the projected results set forth in such projections and that such differences may be material). Investment Company Act; Margin Regulations. (a) Status as Business Development Company. The Borrower has elected to be regulated as a “business development company” within the meaning of the Investment Company Act and has elected to be treated, and has qualified, as a RIC. (b) Compliance with Investment Company Act. The business and other activities of the Borrower and its Subsidiaries, including the making of the Loans hereunder, the application of the proceeds and repayment thereof by the Borrower and the consummation of the Transactions contemplated by the Loan Documents do not result in a violation or breach in any material respect of the provisions of the Investment Company Act or any rules, regulations or orders issued by the SEC thereunder, in each case that are applicable to the Borrower and its Subsidiaries. (c) Investment Policies. The Borrower is in compliance in all respects with the Investment Policies (after giving effect to any Permitted Policy Amendments), except to the extent that the failure to so comply would not reasonably be expected to result in a Material Adverse Effect. (d) Use of Credit. Neither the Borrower nor any of its Subsidiaries is engaged principally, or as one of its important activities, in the business of extending credit for the purpose, whether immediate, incidental or ultimate, of buying or carrying Margin Stock, and no 123 Revolving Credit and Term Loan Agreement


 
part of the proceeds of any extension of credit hereunder will be used to buy or carry any Margin Stock, except as otherwise provided in Section 5.09. SECTION 3.11. Material Agreements and Liens. (a) Material Agreements. Part A of Schedule 3.11 is a complete and correct list, as of the Amendment No. 2 Effective Date, of each material credit agreement, loan agreement, indenture, note purchase agreement, guarantee, letter of credit or other arrangement providing for or otherwise relating to any Indebtedness for borrowed money or any extension of credit (or commitment for any extension of credit) to, or guarantee for borrowed money by, the Borrower or any other Obligor outstanding on the Amendment No. 2 Effective Date and not otherwise publicly disclosed in an aggregate principal amount in excess of $5,000,000 (in each case, other than (x) Indebtedness hereunder or under any other Loan Document and (y) any such agreement or arrangement that is between or among an Obligor and any other Obligors) and the aggregate principal or face amount outstanding or that is, or may become, outstanding under each such arrangement, in each case, as of the Effective Date, is correctly described in Part A of Schedule 3.11. (b) Liens. Part B of Schedule 3.11 is a complete and correct list, as of the Amendment No. 2 Effective Date, of each Lien securing Indebtedness for borrowed money of any Person outstanding on the Amendment No. 2 Effective Date (other than Indebtedness hereunder or under any other Loan Document) covering any property of the Borrower or any of the Subsidiary Guarantors, and the aggregate principal amount of such Indebtedness secured (or that may be secured) by each such Lien and the property covered by each such Lien as of the Amendment No. 2 Effective Date is correctly described in Part B of Schedule 3.11. SECTION 3.12. Subsidiaries and Investments. (a) Subsidiaries. Set forth on Schedule 3.12(a) is a list of the Borrower’s Subsidiaries as of the Amendment No. 2 Effective Date. (b) Investments. Set forth on Schedule 3.12(b) is a complete and correct list, as of the Amendment No. 2 Effective Date, of all Investments (other than Investments of the types referred to in clauses (b), (c), (d) and (g) of Section 6.04) held by the Borrower or any of the Subsidiary Guarantors in any Person on the Amendment No. 2 Effective Date and, for each such Investment, (x) the identity of the Person or Persons holding such Investment and (y) the nature of such Investment. Except as disclosed in Schedule 3.12 as of the Amendment No. 2 Effective Date, each of the Borrower and any of the Subsidiary Guarantors owned, free and clear of all Liens (other than Liens created pursuant to this Agreement or the Security Documents and Permitted Liens), all such Investments as of the Amendment No. 2 Effective Date. SECTION 3.13. Properties. (a) Title Generally. Each of the Borrower and each of the Obligors has good title to, or valid leasehold interests in, all their respective real and personal property material to the conduct of the business of the Borrower and its Subsidiaries, taken as a whole, except for minor defects in title that do not interfere with their respective ability to conduct their respective business, taken as a whole, as currently conducted or to utilize such properties for their intended 124 Revolving Credit and Term Loan Agreement


 
purposes, except where failure to have title or leasehold interests would not reasonably be expected to have a Material Adverse Effect. (b) Intellectual Property. Each of the Borrower and its Subsidiaries (other than any Financing Subsidiary) owns, or is licensed to use, all trademarks, tradenames, copyrights, patents and other intellectual property material to their respective business, taken as a whole, and the use thereof by the Borrower and its Subsidiaries (other than any Financing Subsidiary) does not infringe upon the rights of any other Person, except for any such infringements that, individually or in the aggregate, would not reasonably be expected to result in a Material Adverse Effect. SECTION 3.14. Affiliate Agreements. As of the Amendment No. 2 Effective Date, the Borrower has heretofore delivered (to the extent not otherwise publicly filed with the SEC) to the Administrative Agent true and complete copies of each of the Affiliate Agreements (as in effect on the Amendment No. 2 Effective Date including schedules and exhibits thereto, and any amendments, supplements or waivers executed and delivered thereunder). As of the Amendment No. 2 Effective Date, each of the Affiliate Agreements is in full force and effect. Sanctions. (a) None of the Borrower or any of its Subsidiaries nor, to the knowledge of the Borrower, any of their respective directors, officers or authorized signors, is a Sanctioned Person. (b) The Borrower has implemented and maintains in effect policies and procedures reasonably designed to ensure compliance by the Borrower, its Subsidiaries and their respective directors, officers, employees and investment advisors with Anti-Corruption Laws and applicable Sanctions in all material respects. The Borrower, its Subsidiaries and, to the knowledge of the Borrower, their respective employees, officers, directors and agents (acting on their behalf), are in compliance with Anti-Corruption Laws and applicable Sanctions in all material respects. SECTION 3.16. PATRIOT Act. Each of the Borrower and its Subsidiaries is in compliance, to the extent applicable, with the PATRIOT Act and the Trading with the Enemy Act, as amended, and each of the foreign assets control regulations of the United States Treasury Department (31 CFR, Subtitle B, Chapter V, as amended) and any other enabling legislation or executive order relating thereto. No part of the proceeds of the Loans or any Letters of Credit issued will be used, directly or, to the knowledge of a Responsible Officer of the Borrower, indirectly, for any payments to (i) any governmental official or employee, political party, official of a political party, candidate for political office, or anyone else acting in an official capacity, in order to obtain, retain or direct business or obtain any improper advantage, in violation by the Borrower or its Subsidiaries of the United States Foreign Corrupt Practices Act of 1977, as amended, or in material violation of US or UK regulation implementing the OECD Convention on Combating Bribery of Foreign Public Officials in International Business Transactions (collectively, the “Anti-Corruption Laws”) or (ii) any Person for the purpose of financing the activities of any Person, at the time of such financing (A) subject to, or the subject of, any Sanctions, in each case as would result in a violation of Sanctions, (B) located, organized or resident in a Sanctioned Country, in each case as would result in a violation of Sanctions or (C) 125 Revolving Credit and Term Loan Agreement


 
in any other manner that would result in violation of Sanctions applicable to any party hereto. Collateral Documents. The provisions of the Security Documents are effective to create in favor of the Collateral Agent a legal, valid and enforceable first priority Lien (subject to Liens permitted by Section 6.02) on all right, title and interest of the Borrower and each Subsidiary Guarantor in the Collateral described therein, except for any failure that would not constitute an Event of Default under clause (o) of Article VII. Except for filings and actions completed on or prior to the Amendment No. 2 Effective Date or as contemplated hereby and by the Security Documents, no filing or other action will be necessary to perfect such Liens to the extent required thereunder, except for the failure to make any filing or take any other action that would not constitute an Event of Default under clause (o) of Article VII. EEA Financial Institutions. Neither the Borrower nor any Subsidiary is an EEA Financial Institution. CONDITIONS SECTION 4.01. Effective Date. The effectiveness of this Agreement and of the obligations of the Lenders to make Loans and of the Issuing Banks to issue Letters of Credit hereunder shall not become effective until completion of each of the following conditions precedent (unless a condition shall have been waived in accordance with Section 9.02):Documents. The Administrative Agent shall have received each of the following documents, each of which shall be reasonably satisfactory to the Administrative Agent (and to the extent specified below to each Lender) in form and substance: (i) Executed Counterparts. From each party hereto either (i) a counterpart of this Agreement signed on behalf of such party or (ii) written evidence satisfactory to the Administrative Agent (which may include telecopy or electronic (e.g. pdf) transmission of a signed signature page to this Agreement) that such party has signed a counterpart of this Agreement. (ii) Opinion of Counsel to the Obligors. A customary favorable written opinion (addressed to the Administrative Agent and the Lenders and dated the Effective Date) of Dechert LLP, New York counsel for the Borrower and the Subsidiary Guarantors (and the Borrower hereby instructs such counsel to deliver such opinion to the Lenders and the Administrative Agent). (iii) Corporate Documents. Such documents and certificates as the Administrative Agent or its counsel may reasonably request relating to the organization, existence and good standing of the Obligors, the authorization of the Transactions and any other legal matters relating to the Obligors, this Agreement or the Transactions. (iv) Officer’s Certificate. A certificate, dated the Effective Date and signed by the President, the Chief Executive Officer, a Vice President or a Responsible Officer of the Borrower, confirming compliance with the conditions set forth in Section 4.02. 126 Revolving Credit and Term Loan Agreement


 
(v) Guarantee and Security Agreement. The Guarantee and Security Agreement, duly executed and delivered by each of the parties thereto. (vi) Control Agreement. An account control agreement, duly executed and delivered by the Borrower, the Collateral Agent and the Custodian. (vii) Borrowing Base Certificate. A Borrowing Base Certificate showing a calculation of the Borrowing Base as of the Effective Date with the Value of each Portfolio Investment determined as of March 31, 2023. (b) Liens. The Administrative Agent shall have received results of a recent lien search in each relevant jurisdiction with respect to the Borrower and the Subsidiary Guarantors, confirming that each financing statement in respect of the Liens in favor of the Collateral Agent created pursuant to the Security Documents is otherwise prior to all other financing statements or other interests reflected therein (other than any financing statement or interest in respect of liens permitted under Section 6.02 or Liens to be discharged on or prior to the Effective Date pursuant to documentation reasonably satisfactory to the Administrative Agent). All UCC financing statements and similar documents required to be filed in order to create in favor of the Collateral Agent, for the benefit of the Secured Parties (as such term is defined in the Guarantee and Security Agreement), a first priority perfected security interest in the Collateral (to the extent that such a security interest may be perfected by a filing under the Uniform Commercial Code) shall have been properly filed in each jurisdiction required (or arrangements for such filings acceptable to the Collateral Agent shall have been made). (c) Consents. The Borrower shall have obtained and delivered to the Administrative Agent certified copies of all consents, approvals, authorizations, registrations, or filings required to be made or obtained by the Borrower and the Subsidiary Guarantors in connection with the Transactions and any transaction being financed with the proceeds of the Loans, and such consents, approvals, authorizations, registrations, filings and orders shall be in full force and effect and all applicable waiting periods shall have expired and no investigation or inquiry by any Governmental Authority regarding the Transactions or any transaction being financed with the proceeds of the Loans shall be ongoing. (d) Fees and Expenses. Subject to Section 9.03(a) hereof, the Borrower shall have paid in full to the Administrative Agent and the Lenders all fees and expenses related to the Loan Documents (including the fees set forth in the Initial Fee Letter) owing on the Effective Date. (e) Know Your Customer Documentation. The Administrative Agent and the Lenders shall have received, at least two (2) Business Days prior to the Effective Date (i) upon the reasonable request of the Lenders at least ten (10) Business Days prior to the Effective Date, documentation and other information required by bank regulatory authorities under applicable “know your customer” and anti-money laundering rules and regulations, including the PATRIOT Act and (ii) to the extent that the Borrower qualifies as a “legal entity customer” under the requirements of the Beneficial Ownership Regulation, a Beneficial Ownership Certification in relation to the Borrower. 127 Revolving Credit and Term Loan Agreement


 
(f) Financial Statements. The Lenders shall have received (i) the audited statement of assets and liabilities, statement of operations, statement of changes in net assets, statement of cash flows and schedule of investments of the Borrower and its consolidated Subsidiaries for the fiscal year ended December 31, 2022 and (ii) the unaudited statement of assets and liabilities, statement of operations, statement of changes in net assets, statement of cash flows and schedule of investments of the Borrower and its consolidated Subsidiaries for the fiscal quarter ended March 31, 2023. The Lenders hereby acknowledge receipt of the financial statements referred to in this Section 4.01(f). (g) Valuation Policy. A copy of the Valuation Policy. (h) Due Diligence. Completion of customary legal due diligence, investigation and review, and the satisfaction of the Administrative Agent in all material respects with the results thereof. (i) Other Documents. The Administrative Agent shall have received such other documents as the Administrative Agent or any Lender may reasonably request in form and substance reasonably satisfactory to the Administrative Agent. SECTION 4.02. Each Credit Event. The obligation of each Lender to make any Loan, and of each Issuing Bank to issue, amend, renew or extend any Letter of Credit, is additionally subject to the satisfaction of the following conditions:(i) in the case of a Loan made in connection with a Specified Purchase, the Specified Representations (immediately after giving effect to such merger, consolidation or acquisition) and the Specified Purchase Agreement Representations (immediately prior to giving effect to such merger, consolidation or acquisition) shall be true and correct in all material respects on and as of the date of such Loan, or (ii) in the case of any other Loan or issuance, amendment, renewal or extension of any Letter of Credit, the representations and warranties of the Borrower set forth in this Agreement and in the other Loan Documents shall be true and correct in all material respects (or, in the case of any portion of any representations and warranties already subject to a materiality qualifier, true and correct in all respects) on and as of the date of such Loan or the date of issuance, amendment, renewal or extension of such Letter of Credit, as applicable, or, as to any such representation or warranty that refers to a specific date, as of such specific date; (b) in the case of any Loan or issuance, amendment, renewal or extension of any Letter of Credit (other than a Loan made in connection with a Commitment Increase in connection with a Specified Purchase) at the time of and immediately after giving effect to such Loan or the issuance, amendment, renewal or extension of such Letter of Credit, as applicable, no Default or Event of Default shall have occurred and be continuing; and (c) either (i) the Covered Debt Amount (immediately after giving effect to such extension of credit and any Concurrent Transaction) shall not exceed the Borrowing Base reflected on the Borrowing Base Certificate most recently delivered to the Administrative Agent or (ii) the Borrower shall have delivered an updated Borrowing Base Certificate demonstrating that the Covered Debt Amount (after giving effect to such extension of credit and any Concurrent Transaction) shall not exceed the Borrowing Base after giving effect to such extension of credit and any concurrent acquisitions of Portfolio Investments or, any Concurrent 128 Revolving Credit and Term Loan Agreement


 
Transactions and any payment of outstanding AdvanceLoans under this Agreement or Other Covered Indebtedness, or any other Indebtedness that is included in the Covered Debt Amount. (d) in the case of any Loan or issuance, amendment, renewal or extension of any Letter of Credit, Borrower shall have delivered a Borrowing Request to the Administrative Agent in respect of such Loan or issuance, amendment, renewal or extension of any Letter of Credit, as applicable. Each Borrowing (but not a continuation or conversion thereof) and each issuance, amendment, renewal or extension of a Letter of Credit shall be deemed to constitute a representation and warranty by the Borrower on the date thereof as to the matters specified in the preceding sentence. ARTICLE V AFFIRMATIVE COVENANTS Until all of the Commitments have expired or been terminated and the principal of and interest on each Loan and all fees payable hereunder shall have been paid in full and all Letters of Credit shall have expired, been terminated, Cash Collateralized or backstopped and all LC Disbursements shall have been reimbursed, the Borrower covenants and agrees with the Lenders that: SECTION 5.01. Financial Statements and Other Information. The Borrower will furnish to the Administrative Agent (for distribution to each Lender):within ninety (90) days after the end of each fiscal year of the Borrower (or such longer period permitted pursuant to any orders, declarations, laws, regulations or letters issued by the SEC or any other government or regulatory authority, not to exceed one hundred twenty (120) days after the end of each fiscal year of the Borrower), the audited statement of assets and liabilities, statement of operations, statement of changes in net assets, statement of cash flows and schedule of investments of the Borrower and its consolidated Subsidiaries as of the end of and for such fiscal year, setting forth in each case in comparative form the figures for the previous fiscal year, all certified by independent public accountants of recognized national standing together with an opinion of such accounting firm that such consolidated financial statements present fairly in all material respects the financial condition and results of operations of the Borrower and its consolidated Subsidiaries on a consolidated basis in accordance with GAAP consistently (except as disclosed therein) applied; provided that the requirements set forth in this clause (a) may be fulfilled by providing to the Administrative Agent the report of the Borrower to the SEC on Form 10-K for the applicable fiscal year; (b) within forty five (45) days after the end of each of the first three (3) fiscal quarters of the Borrower (or such longer period permitted pursuant to any orders, declarations, laws, regulations or letters issued by the SEC or any other government or regulatory authority, not to exceed seventy-five (75) days after the end of each of the first three (3) fiscal quarters of each fiscal year of the Borrower), the consolidated statement of assets and liabilities, statement of operations, statement of changes in net assets, statement of cash flows and schedule of investments of the Borrower and its consolidated Subsidiaries as of the end of and for such fiscal 129 Revolving Credit and Term Loan Agreement


 
quarter and the then elapsed portion of the fiscal year, setting forth in each case in comparative form the figures for (or, in the case of the balance sheet, statements of operations, statement of changes in net assets, statement of cash flows and schedule of investments, as of the end of) the corresponding period or periods of the previous fiscal year, all certified by a Financial Officer of the Borrower as presenting fairly in all material respects the financial condition and results of operations of the Borrower and its consolidated Subsidiaries on a consolidated basis in accordance with GAAP consistently (except as disclosed therein) applied, subject to year-end audit adjustments, the absence of footnotes and as otherwise described therein; provided that the requirements set forth in this clause (b) may be fulfilled by providing to the Administrative Agent the report of the Borrower to the SEC on Form 10-Q for the applicable quarterly period; (c) concurrently with any delivery of financial statements under clause (a) or (b) of this Section 5.01, a certificate of a Financial Officer of the Borrower (i) certifying as to whether the Borrower has knowledge that a Default or Event of Default has occurred and is continuing with respect to the Borrower during the applicable period and, if a Default or Event of Default has occurred and is continuing with respect to the Borrower during the most recent period covered by such financial statements (or has occurred and is continuing from a prior period), specifying the details thereof and any action taken or proposed to be taken with respect thereto, (ii) setting forth reasonably detailed calculations demonstrating compliance with Sections 6.01, 6.02, 6.04 and 6.07 and (iii) stating whether any change in GAAP as applied by (or in the application of GAAP by) the Borrower has occurred since the Amendment No. 2 Effective Date (but only if the Borrower has not previously reported such change to the Administrative Agent and if such change has had a material effect on the financial statements or to the extent not previously disclosed on a Form 10-K or Form 10Q previously filed with the SEC), and, if any such change has occurred, specifying the effect (unless such effect has been previously reported), as determined by the Borrower, of such change on the financial statements accompanying such certificate; provided that the requirements set forth in this clause (c)(iii) may be fulfilled by providing to the Administrative Agent the report of the Borrower to the SEC on Form 10-Q for the applicable quarterly period; (d) as soon as available and in any event not later than twenty (20) days after the end of each monthly accounting period (ending on the last day of each calendar month) of the Borrower and its Subsidiaries, a Borrowing Base Certificate as at the last day of such accounting period; (e) promptly but no later than five (5) Business Days after any Responsible Officer of the Borrower shall at any time have knowledge that there is a Borrowing Base Deficiency, a Borrowing Base Certificate as at the date such Responsible Officer of the Borrower has knowledge of such Borrowing Base Deficiency indicating the amount of the Borrowing Base Deficiency as at the date such Responsible Officer of the Borrower obtained knowledge of such deficiency and the amount of the Borrowing Base Deficiency as of the date not earlier than one (1) Business Day prior to the date the Borrowing Base Certificate is delivered pursuant to this clause I; (f) promptly upon receipt thereof copies of all significant written reports submitted to management or the board of directors of the Borrower by the Borrower’s independent public accountants in connection with each annual, interim or special audit or 130 Revolving Credit and Term Loan Agreement


 
review of any type of the financial statements or related internal control systems of the Borrower or any of its Subsidiaries delivered by such accountants to the management or board of directors of the Borrower (other than the periodic reports that the Borrower’s independent auditors provide in the ordinary course to the audit committee of the Borrower’s board of directors); (g) promptly after (and only if) the same become publicly available, copies of all periodic and other reports, proxy statements and other materials sent to all stockholders filed by the Borrower or any of the Subsidiary Guarantors with the SEC, or any Governmental Authority succeeding to any or all of the functions of the SEC, or with any national securities exchange, as the case may be; (h) promptly following any request therefor, such other information regarding the operations, business affairs and financial condition of the Borrower or any of its Subsidiaries, or compliance by the Borrower and the Obligors with the terms of this Agreement and the other Loan Documents, as the Administrative Agent or any Lender may reasonably request, including such documents and information requested by the Administrative Agent or any Lender that are reasonably required in order to comply with “know-your-customer” and other anti-terrorism, anti-money laundering and similar rules and regulations and related policies and procedures; (i) the Borrower and each Lender acknowledge that certain of the Lenders may be Public Lenders and, if documents or notices required to be delivered pursuant to this Section 5.01 or otherwise are being distributed through DebtDomain or another relevant website or other information platform (the “Platform”), any document or notice that the Borrower has indicated contains Non-Public Information shall not be posted by the Administrative Agent on that portion of the Platform designated for such Public Lenders. The Borrower agrees to clearly designate all information provided to the Administrative Agent by or on behalf of the Borrower or any of its Subsidiaries which is suitable to make available to Public Lenders. If the Borrower has not indicated whether a document or notice delivered pursuant to this Section 5.01 contains Non-Public Information, the Administrative Agent reserves the right to post such document or notice solely on that portion of the Platform designated for Lenders who wish to receive material Non-Public Information with respect to the Borrower, its Subsidiaries and their Securities (as such term is defined in Section 5.13 of this Agreement); and (j) notwithstanding anything to the contrary herein, the requirements to deliver documents set forth in Sections 5.01(a), (b) and (g) will be fulfilled by filing by the Borrower of the applicable documents for public availability on the SEC’s Electronic Data Gathering and Retrieval system. SECTION 5.02. Notices of Material Events. The Borrower will furnish to the Administrative Agent (for distribution to each Lender) prompt written notice upon any Responsible Officer obtaining actual knowledge of the following:the occurrence of any Default or Event of Default (unless the Borrower first became aware of such Default from a notice delivered by the Administrative Agent); provided that if such Default is subsequently cured within the time periods set forth herein, the failure to provide notice of such Default shall not itself result in an Event of Default hereunder; 131 Revolving Credit and Term Loan Agreement


 
(b) the filing or commencement of any action, suit or proceeding by or before any arbitrator or Governmental Authority against or affecting the Borrower or any of its Affiliates that has a reasonable likelihood of being adversely determined and which, if adversely determined, would reasonably be expected to result in a Material Adverse Effect; (c) the occurrence of any ERISA Event that, alone or together with any other ERISA Events that have occurred after the Effective Date, would reasonably be expected to result in liability of the Borrower and its Subsidiaries in an aggregate amount exceeding $50,000,000; and (d) any other development (excluding matters of a general economic, financial or political nature to the extent that they would not reasonably be expected to have a disproportionate effect on the Borrower or any of its Subsidiaries) that has resulted in, or would be materially likely to result in, a Material Adverse Effect. Each notice delivered under this Section 5.02 shall be accompanied by a statement of a Responsible Officer or other executive officer of the Borrower setting forth the details of the event or development requiring such notice and any action taken or proposed to be taken with respect thereto. SECTION 5.03. Existence: Conduct of Business. The Borrower will, and will cause each of its Subsidiaries (other than Immaterial Subsidiaries) to, do or cause to be done all things necessary to preserve, renew and keep in full force and effect (i) its legal existence and (ii) the rights, licenses, permits, privileges and franchises material to the conduct of the business of the Borrower and its Subsidiaries, taken as a whole; provided that the foregoing shall not prohibit any merger, consolidation, liquidation or dissolution not prohibited under Section 6.03. Payment of Obligations. The Borrower will, and will cause each of its Subsidiaries (other than Immaterial Subsidiaries) to, pay its obligations, including income tax and other material tax liabilities and material contractual obligations, that, if not paid, would reasonably be expected to result in a Material Adverse Effect before the same shall become delinquent or in default, except where (a) the validity or amount thereof is being contested in good faith by appropriate proceedings, and (b) the Borrower or such Subsidiary has set aside on its books adequate reserves with respect thereto in accordance with GAAP. Maintenance of Properties; Insurance. The Borrower will, and will cause each of its Subsidiaries (other than Immaterial Subsidiaries) to, (a) keep and maintain all property material to the conduct of the business of the Borrower and its Subsidiaries, taken as a whole. in good working order and condition, ordinary wear and tear excepted unless the failure to so keep and maintain could not reasonably be expected to result in a Material Adverse Effect; provided that the foregoing shall not prohibit any merger, consolidation, liquidation or dissolution not prohibited under Section 6.03, and (b) maintain, with financially sound and reputable insurance companies, insurance in such amounts and against such risks as are customarily maintained by companies engaged in the same or similar businesses operating in the same or similar locations. Books and Records; Inspection and Audit Rights. The Borrower will, and will cause each of its Subsidiaries (other than Immaterial Subsidiaries) to, keep books of record and account in accordance with GAAP in all material respects. The Borrower will, and will cause each other Obligor to, permit any representatives designated by the Administrative Agent or any Lender, upon reasonable prior notice to the Borrower, to visit and inspect its properties during normal business hours, to examine and make 132 Revolving Credit and Term Loan Agreement


 
extracts from its books and records (but only to the extent the applicable Obligor is not prohibited from disclosing such information or providing access to such information pursuant to applicable law or an agreement such Obligor entered into with a third party (other than an Affiliate) in the ordinary course of its business), and to discuss its affairs, finances and condition with its officers and independent accountants, all at such reasonable times and as often as reasonably requested, in each case, solely related to the Obligors and to the extent such inspection or requests for such information are reasonable and such information can be provided or discussed without violation of law, rule, regulation or contract; provided that, (i) the Borrower or such other Obligor shall be entitled to have its representatives and advisors present during any inspection of its books and records and during any discussion with its independent accountants and independent auditors and (ii) unless an Event of Default shall have occurred and be continuing, the Borrower’s obligation to reimburse any costs and expenses incurred by the Administrative Agent and the Lenders in connection with any such inspections shall be limited to one inspection per calendar year. Compliance with Laws. The Borrower will, and will cause each of its Subsidiaries (other than Immaterial Subsidiaries) to, comply with all laws, rules, regulations, including the Investment Company Act, and orders of any Governmental Authority applicable to it or its property, except where the failure to do so, individually or in the aggregate, would not reasonably be expected to result in a Material Adverse Effect. The Borrower shall maintain in effect policies and procedures reasonably designed to ensure compliance by the Borrower, its Subsidiaries and their respective directors, officers, employees and investment advisors with Anti-Corruption Laws and applicable Sanctions in all material respects. Certain Obligations Respecting Subsidiaries; Further Assurances. (a) Subsidiary Guarantors. In the event that (i) the Borrower or any Subsidiary Guarantors shall form or acquire any new Subsidiary (other than an Excluded Asset, a Financing Subsidiary, a Foreign Subsidiary, an Immaterial Subsidiary or a Subsidiary of a Foreign Subsidiary) or (ii) any Excluded Asset, Financing Subsidiary or Immaterial Subsidiary that is a Subsidiary shall no longer constitute an “Excluded Asset”, “Financing Subsidiary” or “Immaterial Subsidiary”, as applicable, pursuant to the definition thereof (in which case such Person shall be deemed to be a “new” Subsidiary for purposes of this Section 5.08 as of such date), the Borrower will within thirty (30) days thereof (or such longer period as shall be reasonably agreed to by the Administrative Agent) cause such new Subsidiary to become a “Subsidiary Guarantor” (and, thereby, an “Obligor”) under the Guarantee and Security Agreement pursuant to a Guarantee Assumption Agreement and to deliver such proof of corporate or other action, incumbency of officers, opinions of counsel (unless waived by the Administrative Agent) and other documents as is consistent with those delivered by the Borrower pursuant to Section 4.01 upon the Effective Date or as the Administrative Agent shall have reasonably requested. For the avoidance of doubt, the Borrower may elect to cause any of its Excluded Assets, Foreign Subsidiary or Immaterial Subsidiaries to become an Obligor by causing such Person to become a Subsidiary Guarantor and executing and delivering a Guarantee Assumption Agreement and other deliverables as required for a Subsidiary Guarantor under this Section 5.08(a) (at which point such Person shall be a Subsidiary Guarantor and shall no longer be an Excluded Asset or an Immaterial Subsidiary, as applicable). (b) Ownership of Subsidiaries. The Borrower will, and will cause each of its Subsidiaries (other than Immaterial Subsidiaries) to, take such action from time to time as shall be necessary to ensure that such Subsidiary is a wholly-owned Subsidiary; provided that the 133 Revolving Credit and Term Loan Agreement


 
foregoing shall not prohibit any transaction permitted under Section 6.03 or 6.04, so long as after giving effect to such permitted transaction each of the remaining Subsidiaries of the Borrower is a wholly-owned Subsidiary. (c) Further Assurances. The Borrower will, and will cause each of the Subsidiary Guarantors to, take such action from time to time (including filing appropriate Uniform Commercial Code financing statements and executing and delivering such assignments, security agreements and other instruments) as shall be reasonably requested by the Administrative Agent to effectuate the purposes and objectives of this Agreement, including: (i) to create, in favor of the Collateral Agent for the benefit of the Secured Parties (as such term is defined in the Guarantee and Security Agreement) (and any affiliate thereof that is a party to any Hedging Agreement entered into with such Obligor) and the holders of any Secured Longer-Term Indebtedness or Secured Shorter-Term Indebtedness, perfected security interests and Liens in the Collateral; provided that any such security interest or Lien shall be subject to the relevant requirements of the Security Documents; provided further, that in the case of any Collateral consisting of voting stock of any Controlled Foreign Corporation, such security interest shall be limited to 65% of the issued and outstanding voting stock of such Controlled Foreign Corporation; (ii) in the case of any Portfolio Investment held by an Excluded Asset or an Immaterial Subsidiary, including any cash collection related thereto, ensure that such portfolio investment shall not be held in the account of any Obligor subject to a control agreement among such Obligor, the Collateral Agent and the Custodian delivered in connection with this Agreement or any other Loan Document; provided that, in the case of a participation interest held by any Excluded Asset or an Immaterial Subsidiary (other than a 100% participation interest held for more than ninety (90) days) that was acquired from an Obligor, such Portfolio Investment, including any cash collection related thereto, may be held in any account of any Obligor, so long as, in the case of cash, it is promptly distributed to such Excluded Asset or Immaterial Subsidiary; (iii) in the case of any Portfolio Investment consisting of a Bank Loan (as defined in Section 5.13) that is part of the Collateral and does not constitute all of the credit extended to the underlying borrower under the relevant underlying loan documents and an Excluded Asset or a Immaterial Subsidiary holds any interest in the loans or other extensions of credit under such loan documents, (x) to cause such Excluded Asset or Immaterial Subsidiary to be party to such underlying loan documents as a “lender” having a direct interest (or a participation interest acquired from any Person (including an Obligor)) in such underlying loan documents and the extensions of credit thereunder and (y) to ensure that all amounts owing to such Obligor by the underlying borrower or other obligated party are remitted by such borrower or obligated party (or the applicable administrative agents, collateral agents or equivalent Person) directly to separate accounts of such Obligor and no other amounts owing by such underlying borrower or obligated party are remitted to the accounts of such Obligor; (iv) in the event that any Obligor is acting as an agent or administrative agent under any loan documents with respect to any Bank Loan that is part of the Collateral but does not constitute all of the credit extended to the underlying borrower under the relevant 134 Revolving Credit and Term Loan Agreement


 
underlying loan documents, to ensure that all funds held by such Obligor in such capacity as agent or administrative agent is segregated from all other funds of such Obligor and clearly identified as being held in an agency capacity; and (v) if requested by the Collateral Agent with respect to any Portfolio Investment, to cause all executed credit agreements, loan agreements, the principal security agreement and promissory notes related to such Portfolio Investment, and, to the extent in the Borrower’s possession or reasonably available to the Borrower, all executed amendments, consents, forbearances and other modifications, assignment agreements and any other material loan documents relating to such Portfolio Investment, in each case, to be held by the Collateral Agent or a custodian pursuant to the terms of a custodian agreement reasonably satisfactory to the Collateral Agent (it being acknowledged that the Custodian Agreement is reasonably satisfactory to the Collateral Agent). Notwithstanding anything to the contrary contained herein if any instrument, promissory note, agreement, document or certificate held by the Custodian is destroyed or lost not as a result of any action of such Obligor, then any original of such instrument, promissory note, agreement, document or certificate shall be deemed held by the Custodian for all purposes hereunder; provided that, when such Obligor has actual knowledge of any such destroyed or lost instrument, promissory note, agreement, document or certificate, it shall use commercially reasonable efforts to obtain from the underlying borrower, and deliver to the Custodian, a replacement instrument, promissory note, agreement, document or certificate. SECTION 5.09. Use of Proceeds. The Borrower will use the proceeds of the Loans and the issuances of Letters of Credit only for general corporate purposes of the Borrower and its Subsidiaries, including, without limitation, purchasing shares of its common stock in connection with the redemption (or buyback) of its shares, repaying outstanding Indebtedness not prohibited by the Loan Documents, paying fees and expenses paid or payable in connection with this Agreement and the other Loan Documents, making other distributions, contributions and investments, the acquisition and funding (either directly or through one or more wholly-owned Subsidiaries) of venture loans, leveraged loans, mezzanine loans, high-yield securities, convertible securities, preferred stock, common stock, HedgingSwap Agreements, Designated Swaps, total return swaps, warrants and other Investments; provided that neither the Administrative Agent nor any Lender shall have any responsibility as to the use of any of such proceeds. No part of the proceeds of any extension of credit hereunder will be used to buy or carry any Margin Stock in violation of law (provided that so long as no violation of Regulation U would result therefrom and the Borrower intends to immediately retire any whole or fractional shares of its common stock purchased, (x) the Borrower may use proceeds of the Loans to purchase its common stock in connection with the redemption (or buyback) of its shares and (y) the Borrower may use proceeds of the Loans for any (i) cash consideration paid or payable and (ii) cash paid on account of fractional shares). Margin Stock shall be purchased by the Obligors only with the proceeds of Indebtedness not directly or indirectly secured by Margin Stock, or with the proceeds of equity capital of the Borrower. Without limiting the foregoing, no Obligor will directly or indirectly, use the proceeds of the Loans (A) in furtherance of an offer, payment, promise to pay, or authorization of the payment or giving of money, or anything else of value, to any Person in violation of any Anti-Corruption Laws, (B) for the purpose of funding, financing or facilitating any activities, business or transaction of or with any Sanctioned Person, or in any 135 Revolving Credit and Term Loan Agreement


 
Sanctioned Country, to the extent such activities, businesses or transaction would be prohibited by Sanctions if conducted by a corporation incorporated in the United States, or (C) in any manner that would result in the violation of any Sanctions applicable to any party hereto. Status of RIC and BDC. The Borrower shall, at all times, subject to applicable grace periods set forth in the Code, maintain its status as a RIC under the Code. The Borrower shall at all times maintain its status as a “business development company” under the Investment Company Act. Investment Policies. The Borrower shall at all times be in compliance in all material respects with its Investment Policies (after giving effect to any Permitted Policy Amendments). Portfolio Valuation and Diversification Etc. (a) Industry Classification Groups. For purposes of this Agreement, the Borrower shall assign each Portfolio Investment to an Industry Classification Group. To the extent the Borrower determines that any Portfolio Investment is not adequately correlated with the risks of other Portfolio Investments in an Industry Classification Group, such Portfolio Investment may be assigned by the Borrower to an Industry Classification Group that is more closely correlated to such Portfolio Investment. In the absence of any adequate correlation, the Borrower shall be permitted, upon prior notice to the Administrative Agent (for distribution to each Lender), to create up to three additional industry classification groups for purposes of this Agreement. (b) Portfolio Valuation Etc. (i) Settlement Date Basis. For purposes of this Agreement, all determinations of whether an investment is to be included as a Portfolio Investment shall be determined on a settlement-date basis (meaning that any investment that has been purchased will not be treated as a Portfolio Investment until such purchase has settled, and any Portfolio Investment which has been sold will not be excluded as a Portfolio Investment until such sale has settled); provided that once an investment is included as a Portfolio Investment, solely for valuation purposes, Portfolio Investments may be valued on a traded date basis to the extent required to comply with existing valuation policies and procedures of the Borrower or External Managers; provided, further, that no such investment shall be included as a Portfolio Investment to the extent it has not been paid for in full. (ii) Determination of Values. For the purposes of this Agreement and not to be required to be utilized for any other purpose (including, for the avoidance of doubt, the Borrower’s financial statements, valuations required under the Financial Accounting Standards Board Accounting Standards Codification Topic 820, Fair Value Measurement (ASC 820) or valuations required under the Investment Company Act), the Borrower will conduct reviews of the value to be assigned to each of its Portfolio Investments as follows: (A) Quoted Investments - External Review. With respect to Portfolio Investments (including Cash Equivalents) traded in an active and orderly market (as determined by the Borrower) and for which market quotations are readily available (each, a “Quoted Investment”), the 136 Revolving Credit and Term Loan Agreement


 
Borrower shall value such Quoted Investments in accordance with its Valuation Policy and, solely with respect to Portfolio Investments included in the Borrowing Base, not less frequently than once each calendar quarter, determine the market value of such Quoted Investments which shall, in each case, be determined in accordance with one of the following methodologies (as selected by the Borrower): (w) in the case of public and 144A securities, the average of the bid prices as determined by two (2) Approved Dealers selected by the Borrower, (x) in the case of bank loans, the average of the bid price and the ask price as determined by one (1) Approved Dealer or an Approved Pricing Service which makes reference to at least one approved dealer with respect to such bank loans, in either case, selected by the Borrower, (y) in the case of any Quoted Investment traded on an exchange, the closing price for such Quoted Investment most recently posted on such exchange, and (z) in the case of any other Quoted Investment, the fair market value thereof as determined by an Approved Pricing Service selected by the Borrower; and (B) Unquoted Investments - External Review. With respect to each Portfolio Investment for which market quotations are not readily available (each, an “Unquoted Investment”), the Borrower shall assign a value to each Unquoted Investment included in the Borrowing Base in a manner consistent with its Valuation Policy as of the last day of each fiscal quarter (each, a “Testing Quarter”); provided that the Borrower shall request an Approved Third-Party Appraiser to assist the board of directors of the Borrower (or the External Managers, so long as it has the necessary delegated authority) in determining the fair market value as of the last day of each Testing Quarter of no less than 35% of the aggregate number of all Unquoted Investments included in the Borrowing Base that have not been acquired during such Testing Quarter; provided, further, that: (x) the Value of any such Unquoted Investment acquired during a fiscal quarter shall be deemed to be equal to the cost of such Unquoted Investment until such time as the fair market value of such Unquoted Investment is determined in accordance with the foregoing provisions of this subclause (B); provided that the aggregate amount of Unquoted Investments valued at cost pursuant to this clause (x) shall not exceed 10% of 137 Revolving Credit and Term Loan Agreement


 
the Borrowing Base (calculated prior to the inclusion of such Unquoted Investments valued at cost); and (y) the Value of any Unquoted Investment for which an Approved Third-Party Appraiser has not assisted the Borrower in determining the fair market value of such Unquoted Investment during the four (4) immediately preceding Testing QuarterQuarters shall be zero until the fair market value of such Unquoted Investment shall have been determined by an Approved Third-Party Appraiser. (C) Internal Review. The Borrower shall conduct internal reviews of all Portfolio Investments at least once each calendar week which shall take into account any events of which any Responsible Officer of the Borrower has knowledge that materially and adversely affect the aggregate value of the Portfolio Investments. If the value of any Portfolio Investment as most recently determined by the Borrower pursuant to this Section 5.12(b)(ii)(C) is lower than the value of such Portfolio Investment as most recently determined pursuant to Section 5.12(b)(ii)(A) and (B), such lower value shall be deemed to be the “Value” of such Portfolio Investment for purposes hereof; provided that the Value of any Portfolio Investment of the Borrower and its Subsidiaries shall be increased by the net unrealized gain as at the date such Value is determined of any Hedging Agreement entered into to hedge risks associated with such Portfolio Investment and reduced by the net unrealized loss as at such date of any such Hedging Agreement (such net unrealized gain or net unrealized loss, on any date, to be equal to the aggregate amount receivable or payable under the related Hedging Agreement if the same were terminated on such date). (D) Failure to Determine Values. If the Borrower shall fail to determine the value of any Portfolio Investment as at any date pursuant to the requirements of the foregoing subclause (A), (B) or (C), then the “Value” of such Portfolio Investment as at such date shall be deemed to be zero for purposes of the Borrowing Base until such time as the value of such Portfolio Investment is otherwise determined or reviewed, as applicable, in accordance herewith. (E) Initial Value of Assets. Notwithstanding anything to the contrary contained herein, from the Effective Date until the date when the first valuation reports are required to be delivered hereunder, the Value of any Portfolio Investment included in the Borrowing Base with respect to the Borrower shall be the Value as determined in a manner consistent with Section 5.12(b)(ii)(C) and as delivered to the Collateral Agent on or prior to the Effective Date. For the avoidance of doubt, subject to Section 5.12(b)(ii)(B) the value of any Portfolio Investments determined in accordance with any provision of this Section 5.12 shall be the Value of 138 Revolving Credit and Term Loan Agreement


 
such Portfolio Investment for purposes of this Agreement until a new Value for such Portfolio Investment is subsequently determined in good faith in accordance with this Section 5.12; provided that, the Borrower shall value substantially all Portfolio Investments pursuant to the foregoing requirements no less frequently than once in any rolling twelve-month period. (F) Testing of Values. (x) At the end of each fiscal quarter (such fiscal quarter is referred to herein as, the “Testing Period”), the Administrative Agent shall cause an Agent-Selected Third-Party Appraiser to value such number of Unquoted Investments included in the Borrowing Base (selected by the Administrative Agent) that collectively have an aggregate Value approximately equal to the Calculation Amount; provided, that, unless an Event of Default has occurred and is continuing, such Unquoted Investments selected by the Administrative Agent shall be Investments that are included in the Borrowing Base. The Administrative Agent agrees to notify the Borrower of thesuch Unquoted Investments selected by the Administrative Agent to be tested in each Testing Period, which notification shall be effective only if delivered during the last month of such Testing Period. If there is a difference between the Borrower’s valuation and the Agent-Selected Third-Party Appraiser’s valuation of any such Unquoted Investment, the Value of such Unquoted Investment for Borrowing Base purposes shall be established as set forth in subclause (G) of this Section 5.12(b)(ii). (y) For the avoidance of doubt, the valuation of any Agent-Selected Third-Party Appraiser would be as of the end of the fiscal quarter of such Testing Period and shall be reflected in the Borrowing Base Certificate for such month if such Agent-Selected Third-Party Appraiser delivers such valuation at least seven (7) Business Days before the twentieth (20th) day after the end of the applicable monthly accounting period and, if such valuation is delivered after such time, it shall be included in the Borrowing Base Certificate for the following monthly period and applied to the then applicable balance of the related Portfolio Investment. For illustrative purposes, if the given fiscal quarter is the fourth quarter ending on December 31, 2022, then (A) the Administrative Agent would initiate the testing of Values during the month of December using the values reported in the October 31, 2022 Borrowing Base Certificate delivered by November 20, 2022 for purposes of determining the scope of the testing under clause 139 Revolving Credit and Term Loan Agreement


 
(F)(x) with the anticipation of receiving the valuations from the applicable Agent-Selected Third-Party Appraiser(s) after December 31, 2022 and (B)(xxx) if such valuations were received before the seventh Business Day before January 20, 2023, such valuations would be included in the January 20, 2023 Borrowing Base Certificate covering the month of December, or (yyy) if such valuations were received after such time, they would, subject to clause (G) below, be included in the February 20, 2023 Borrowing Base Certificate for the month of March. For the avoidance of doubt, all calculations of value pursuant to this Section 5.12(b)(ii)(F) shall be determined without application of the Advance Rates. (z) With respect to any Unquoted Investment selected for testing by the Administrative Agent, if the Agent or any Affiliate thereof has received, pursuant to a testing provision similar to this Section 5.12(b)(ii) in any revolving credit facility of an Affiliate of the Borrower, a valuation of such Unquoted Investment for such Testing Period from any Approved Third-Party Appraiser selected by the agent for the lenders under such revolving credit facility (a “Separate Valuation”), the Administrative Agent shall use such Separate Valuation in lieu of causing an Approved Third-Party Appraiser to value such Unquoted Investment, unless it determines in its reasonable discretion and acting in good faith that the use of such Separate Valuation would be adverse to the interests of the Lenders; provided that, for the avoidance of doubt, the Administrative Agent shall not be required to use such Separate Valuation in lieu of causing an Approved Third-Party Appraiser to value such Unquoted Investment if the Administrative Agent has not actually received, for any reason, such Separate Valuation. Any such Separate Valuation used by the Administrative Agent pursuant to the preceding sentence shall be included in the Calculation Amount. (G) Valuation Dispute Resolution. Notwithstanding the foregoing, the Administrative Agent shall at any time have the right to request, in its reasonable discretion, any Unquoted Investment included in the Borrowing Base be independently valued by an Agent-Selected Third-Party Appraiser; provided, that, unless an Event of Default has occurred and is continuing, such Unquoted Investments selected by the Administrative Agent to be independently valued shall be Investments that are included in the Borrowing Base. There shall be no limit on the number of such appraisals requested by the Administrative Agent; provided that, (i) any appraisal shall be conducted in a manner that is not disruptive to the Borrower’s business and (ii) the values determined by 140 Revolving Credit and Term Loan Agreement


 
any appraisal shall be treated as confidential information by the Administrative Agent and the Lenders and shall be deemed to be “Information” hereunder and subject to Section 9.13 hereof. The reasonable and documented out-of-pocket costs of any such valuation shall be at the expense of the Borrower; provided that, so long as no Event of Default has occurred and is continuing, the Borrower’s obligations to reimburse valuation costs incurred by the Administrative Agent pursuant to this Section 5.12(b)(ii)(G) shall be limited to an aggregate annual amount equal to the greater of $200,000 and 0.1% of the aggregate Commitments (the “IVP Supplemental Cap”). The Administrative Agent shall notify the Borrower of its receipt of results from an Agent-Selected Third-Party Appraiser of any appraisal and provide a copy of the results and any related reports to the Borrower. If the difference between the Borrower’s valuation pursuant to subclause (B) of this Section 5.12(b)(ii) and the valuation of any Agent-Selected Third-Party Appraiser pursuant to subclauses (F) or (G) of this Section 5.12(b)(ii) is (1) less than 5% of the Borrower’s value thereof, then the Borrower’s valuation shall be used, (2) between 5% and 20% of the Borrower’s value thereof, then the valuation of such Portfolio Investment shall be the average of the value determined by the Borrower and the value determined by the Agent-Selected Third-Party Appraiser and (3) greater than 20% of the Borrower’s value thereof, then the Borrower and the Administrative Agent shall select an additional Approved Third-Party Appraiser and the valuation of such Portfolio Investment shall be the average of the three valuations (with the average of the Agent-Selected Third-Party Appraiser’s valuation and the Borrower’s valuation to be used until the third valuation is obtained). For the avoidance of doubt, Portfolio Investments that are part of the Collateral but not included in the Borrowing Base as of the most recent Testing Period shall not be subject to testing under this Section 5.12(b)(ii)(G). (iii) Generally Applicable Valuation Provisions. (A) Each Approved Third-Party Appraiser (whether selected by the Borrower or the Administrative Agent) shall apply a recognized valuation methodology that is commonly accepted in the Borrower’s industry for valuing Portfolio Investments of the type being valued and held by the Obligors. The Value of any Portfolio Investment for which an Approved Third-Party Appraiser’s value is used shall be the midpoint of the range (if any) determined by such Approved Third-Party Appraiser. Other procedures relating to the valuation will be reasonably agreed upon by the Administrative Agent and the Borrower. (B) For the avoidance of doubt, subject to Section 5.12(b)(ii)(B) the value of any Portfolio Investments determined in accordance with any provision of this Section 5.12 shall be the Value of such Portfolio Investment for purposes of this Agreement until a new 141 Revolving Credit and Term Loan Agreement


 
Value for such Portfolio Investment is subsequently required to be determined in good faith in accordance with this Section 5.12. (C) The foregoing valuation procedures shall only be required to be used for purposes of calculating the Borrowing Base and shall not be required to be utilized by the Borrower for any other purposes, including, without limitation, the delivery of financial statements or valuations required under ASC820 or the Investment Company Act or otherwise. (D) The Administrative Agent shall notify the Borrower of its receipt of the final results of any such test promptly upon its receipt thereof and shall provide a copy of such results and the related report to the Borrower promptly upon the Borrower’s request. (E) The Administrative Agent and each Lender acknowledges that it may be required to enter into a non-reliance letter, confidentiality agreement or similar agreement requested or required by a proposed appraiser to allow the Administrative Agent or such Lender to review any written valuation report. Notwithstanding anything to the contrary contained herein, there shall be no requirement to disclose any portion of any report submitted by an Approved Third-Party Appraiser without such a non-reliance letter if such non-reliance letter is required by such Approved Third-Party Appraiser as a condition to such disclosure. (c) RIC Diversification Requirements. The Borrower will, on a consolidated basis and at all times, subject to applicable grace or cure periods set forth in the Code, comply with the portfolio diversification requirements set forth in the Code applicable to RICs, to the extent applicable. SECTION 5.13. Calculation of Borrowing Base. For purposes of this Agreement, the “Borrowing Base” shall be determined, as at any date of determination, as the sum of the products obtained by multiplying (x) the Value of each Portfolio Investment in the Collateral Pool (excluding any Cash Collateral held by the Administrative Agent pursuant to Section 2.05(k) or the last paragraph of Section 2.09(a)) and (y) the applicable Advance Rate for such Portfolio Investment; provided that:if, as of such date, the Consolidated Asset Coverage Ratio is (i) greater than or equal to 2.00:1.00, the Advance Rate applicable to that portion of the aggregate Value of the Portfolio Investments included in the Borrowing Base of all issuers in a consolidated group of corporations or other entities (collectively, a “Consolidated Group”) in accordance with GAAP exceeding 6% of the aggregate Value of all Portfolio Investments in the Collateral Pool, shall be 50% of the otherwise applicable Advance Rate; (ii) less than 2.00:1.00 and greater than or equal to 1.75:1.00, the Advance Rate applicable to that portion of the aggregate Value of the Portfolio Investments included in the Borrowing Base of all issuers in a Consolidated Group in accordance with GAAP exceeding 5% of the aggregate Value of all Portfolio Investments in the Collateral Pool, shall be 50% of the otherwise applicable Advance Rate; or (iii) less than 1.75:1.00, the Advance Rate applicable to that portion of the aggregate Value of the Portfolio Investments included in the Borrowing Base of all issuers in a Consolidated Group in accordance with GAAP exceeding 4% of the aggregate Value of all 142 Revolving Credit and Term Loan Agreement


 
Portfolio Investments in the Collateral Pool, shall be 50% of the otherwise applicable Advance Rate; (b) if, as of such date, the Consolidated Asset Coverage Ratio is (i) greater than or equal to 2.00:1.00, the Advance Rate applicable to that portion of the aggregate Value of the Portfolio Investments included in the Borrowing Base of all issuers in a Consolidated Group in accordance with GAAP exceeding 12% of the aggregate Value of all Portfolio Investments in the Collateral Pool shall be 0%; (ii) less than 2.00:1.00 and greater than or equal to 1.75:1.00, the Advance Rate applicable to that portion of the aggregate Value of the Portfolio Investments included in the Borrowing Base of all issuers in a Consolidated Group in accordance with GAAP exceeding 10% of the aggregate Value of all Portfolio Investments in the Collateral Pool shall be 0% or (iii) less than 1.75:1.00, the Advance Rate applicable to that portion of the aggregate Value of the Portfolio Investments included in the Borrowing Base of all issuers in a Consolidated Group in accordance with GAAP exceeding 8% of the aggregate Value of all Portfolio Investments in the Collateral Pool shall be 0%; (c) if, as of such date, the Consolidated Asset Coverage Ratio is (i) greater than or equal to 2.00:1.00, the Advance Rate applicable to that portion of the aggregate Value of the Portfolio Investments included in the Borrowing Base in any single Industry Classification Group that exceeds 25% of the aggregate Value of all Portfolio Investments in the Collateral Pool shall be 0%, provided that, with respect to Portfolio Investments in a single Industry Classification Group from time to time designated by the Borrower to the Administrative Agent, such 25% figure shall be increased to 30%, (ii) less than 2.00:1.00 and greater than or equal to 1.75:1.00, the Advance Rate applicable to that portion of the aggregate Value of the Portfolio Investments included in the Borrowing Base in any single Industry Classification Group that exceeds 20% of the aggregate Value of all Portfolio Investments in the Collateral Pool shall be 0%, provided that, with respect to Portfolio Investments in a single Industry Classification Group from time to time designated by the Borrower to the Administrative Agent, such 20% figure shall be increased to 25%, or (iii) less than 1.75:1.00, the Advance Rate applicable to that portion of the aggregate Value of the Portfolio Investments included in the Borrowing Base in any single Industry Classification Group that exceeds 20% of the aggregate Value of all Portfolio Investments in the Collateral Pool shall be 0%; (d) if, as of such date, the Consolidated Asset Coverage Ratio is (i) greater than or equal to 2.00:1.00, the Advance Rate applicable to that portion of the aggregate Value of Non-Core Investments included in the Borrowing Base shall be 0% to the extent necessary so that no more than 20% of the Borrowing Base is attributable to such investments, (ii) less than 2.00:1.00 and greater than or equal to 1.75:1.00, the Advance Rate applicable to that portion of the aggregate Value of Non-Core Investments included in the Borrowing Base shall be 0% to the extent necessary so that no more than 10% of the Borrowing Base is attributable to such investments or (iii) less than 1.75:1.00, the Advance Rate applicable to that portion of the aggregate Value of Non-Core Investments included in the Borrowing Base shall be 0% to the extent necessary so that no more than 5% of the Borrowing Base is attributable to such investments; (e) no Portfolio Investment may be included in the Borrowing Base unless the Collateral Agent maintains a first priority, perfected Lien (subject to Permitted Liens) on such 143 Revolving Credit and Term Loan Agreement


 
Portfolio Investment and such Portfolio Investment has been Delivered (as defined in the Guarantee and Security Agreement) to the Collateral Agent, and then only for so long as such Portfolio Investment continues to be Delivered as contemplated therein; (f) if, as of such date, the Relevant Asset Coverage Ratio is (i) less than 2.00:1.00 and greater than or equal to 1.75:1.00, the Advance Rate applicable to that portion of the Value of Performing Cash Pay High Yield Securities, Performing Cash Pay Mezzanine Investments and Non-Core Investments included in the Borrowing Base shall be 0% to the extent necessary so that no more than 30% of the Borrowing Base is attributable to such investments; or (ii) less than 1.75:1.00, the Advance Rate applicable to the portion of the Value of Performing Cash Pay High Yield Securities, Performing Cash Pay Mezzanine Investments and Non-Core Investments included in the Borrowing Base shall be 0% to the extent necessary so that no more than 20% of the Borrowing Base is attributable to such investments; (g) the portion of the Borrowing Base attributable to Equity Interests shall not exceed 10% (it being understood that in no event shall Equity Interests of Financing Subsidiaries be included in the Borrowing Base); (h) the portion of the Borrowing Base attributable to Non-Performing Portfolio Investments shall not exceed 10% and the portion of the Borrowing Base attributable to Portfolio Investments that were Non-Performing Portfolio Investments at the time such Portfolio Investments were acquired shall not exceed 5%; (i) the portion of the Borrowing Base attributable to Portfolio Investments invested outside the United States, Canada, the United Kingdom, Australia, Germany, France, Belgium, the Netherlands, Luxembourg, Switzerland, Denmark, Finland, Norway, and Sweden, shall not exceed 5% without the consent of the Administrative Agent; and (j) if, as of such date, (i)(A) the Borrowing Base (without giving effect to any adjustment required pursuant to this paragraph (j), the “Gross Borrowing Base”) is less than 1.5 times the Senior Debt Amount and (B) the Relevant Asset Coverage Ratio is less than 2.00:1.00 and greater than or equal to 1.75:1.00, then the Borrowing Base shall be reduced to the extent necessary such that the contribution of Senior Investments to the Borrowing Base may not be less than 60% of the Covered Debt AmountBorrowing Base, (ii)(A) the Gross Borrowing Base is less than 1.5 times the Senior Debt Amount and (B) the Relevant Asset Coverage Ratio is less than 1.75:1.00, then the Borrowing Base shall be reduced to the extent necessary such that the contribution of Senior Investments to the Borrowing Base may not be less than 75% of the Covered Debt AmountBorrowing Base or (iii)(A) the Gross Borrowing Base is greater than or equal to 1.5 times the Senior Debt Amount and (B) the Relevant Asset Coverage Ratio is less than 1.75:1.00, then the Borrowing Base shall be reduced to the extent necessary such that the contribution of Senior Investments to the Borrowing Base may not be less than 25% of the Covered Debt AmountBorrowing Base. As used in this Section 5.13, the following terms have the following meanings: “Advance Rate” means, as to any Portfolio Investment and subject to adjustment as provided in this Section 5.13, and as provided below based on the Consolidated Asset 144 Revolving Credit and Term Loan Agreement


 
145 Revolving Credit and Term Loan Agreement 85% 50% - 55% 75% 45% Performing DIP Loans 100% 40% Performing Cash Pay First Lien Unitranche Bank Loans 35% Quoted 35% 85% 30% - 30% 75% 25% Consolidated Asset Coverage Ratio > 200% 80% Performing Non-Cash Pay Bank Loans 100% 65% 70% 55% Unquote d 60% 75% 50% - 55% 65% 45% Coverage Ratio as of such date, the following percentages with respect to such Portfolio Investment: Performing Non-Cash Pay High Yield Securities 60% Performing Cash Pay First Lien Last Out Bank Loans 50% Quoted 55% 80% 45% Long-Term U.S. Government Securities 50% 70% 40% 200% > Consolidated Asset Coverage Ratio ≥ 175% 75% Performing Non-Cash Pay Mezzanine 95% 55% 65% 45% Unquote d 50% 70% 40% - 45% 60% 35% Performing Preferred Stock 95% 55% Performing Cash Pay Second Lien Bank Loans 45% Quoted 50% 75% 40% - 45% 65% 35% Consolidated Asset Coverage Ratio < 175% 70% Non-Performing First Lien Bank Loans 95% 45% 60% 45% Unquoted 40% 65% 40% - 35% 55% 35% Non-Performing First Lien Unitranche 45% Performing Cash Pay High Yield Securities 45% 40% 70% 40% Performing Cash Pay First Lien Bank 35% 60% 35% 65% Non-Performing First Lien Last Out Bank 85% 40% 55% 35% Cash, Cash Equivalents and Short-Term US Treasuries 35% 60% 30% 75% 30% 50% 25% Asset Class Non-Performing Second Lien Bank Loans 85% 40% Performing Cash Pay Mezzanine Investments 30% 100% 35% 65% 25% 75% 30% 55% 20% 60%


 
146 Revolving Credit and Term Loan Agreement 25% 25% Non-Performing Common Equity Non-Performing High Yield Securities 0% 25% 0% 25% 0% 20% 0% 0% 20% 0% 20% 20% Structured Finance Obligations and Finance Leases 30% 0% 0% 20% 0% Performing Common Equity 0% 0% 30% 0% 20% Non-Performing DIP Loans 30% 0% 25% 0% Non-Performing Mezzanine Investments 0% 20% 0% 0% 20% 0% 30% “Associated Liens” means, with respect to a borrower under a Bank Loan, any lien securing (a) any delayed draw term loan (i) that is secured by a pari passu or second priority lien on the assets securing such Bank Loan and (ii) for which the payment priority is pari passu with such Bank Loan, or (b) any revolving lending facility associated with such loan (i) that is secured by a pari passu or second priority lien on the assets securing such Bank Loan and (ii) for which the payment priority is pari passu with such Bank Loan. “Bank Loans” means debt obligations (including term loans, notes, revolving loans, debtor-in-possession financings, the funded and unfunded portion of revolving credit lines and letter of credit facilities and other similar loans and investments including interim loans, bridge loans, and senior subordinated loans) which are generally provided under a loan or credit facility (whether or not syndicated), note purchase agreement or other similar financing arrangement facility, in each case, whether or not syndicated. “Capital Stock” has the meaning assigned to such term in Section 1.01. “Cash” has the meaning assigned to such term in Section 1.01. “Cash Equivalents” has the meaning assigned to such term in Section 1.01. “Cash Pay Bank Loan” means First Lien Bank Loans, First Lien Unitranche Bank Loans, First Lien Last Out Bank Loans and Second Lien Bank Loans as to which, at the time of determination, all of the interest on which is payable not less frequently than semi-annually and for which not less than (x) at least two-thirds (2/3rds) of the interest (including accretions and “pay-in-kind” interest) for the current monthly, quarterly or semi-annual period (as applicable) is payable in cash. at least semi-annually or (y) if the immediately preceding clause (x) does not apply, (i) if such Bank Loan is a floating rate obligation, cash interest in an amount greater than or equal to 2.0% per annum above the applicable benchmark rate is payable at least semi-annually or (ii) if such Bank Loan is a fixed rate obligation, cash interest in an amount greater than or equal to 5.5% per annum is payable at least semi-annually; provided that if any such existing Cash Pay Bank Loan no longer satisfies clause (x) of this definition (but for the avoidance of doubt may still qualify as a Cash Pay Bank Loan by satisfying clause (y) of this definition) due to an amendment, deferral, waiver, or restructuring of such Portfolio Investment, in each case, related to the deterioration of the 20%


 
credit profile of the underlying borrower, it shall be classified as a Non-Performing Bank Loan. “Finance Lease” means any transaction representing the obligation of a lessee to pay rent or other amounts under a lease which is required to be classified and accounted for as a capital lease on the balance sheet of such lessee under GAAP. “First Lien Bank Loan” means a Bank Loan that is entitled to the benefit of a first lien and first priority perfected security interest (subject to any Permitted Prior Working Capital Lien and other customary encumbrances) on a substantial portion of the assets (subject to customary exceptions) of the respective borrower and guarantors obligated in respect thereof; provided that any First Lien Bank Loan that is also a First Lien Unitranche Bank Loan shall be treated for purposes of determining the applicable Advance Rate as a First Lien Unitranche Bank Loan; provided, further, that any First Lien Bank Loan that is also a First Lien Last Out Bank Loan shall be treated for purposes of determining the applicable Advance Rate as a First Lien Last Out Bank Loan. For the avoidance of doubt, to the extent that, and only for so long as, any Permitted Prior Working Capital Lien that would otherwise constitute a “Permitted Prior Working Capital Lien” but for the fact that the amount permitted under clause (iii) of the definition thereof is exceeded, then an Obligor’s investment in such applicable Bank Loan shall be treated as a Second Lien Bank Loan for purposes of determining the applicable Advance Rate for such Portfolio Investment under this Agreement. For the avoidance of doubt, to the extent that, and only for so long as, the debt under any Permitted Prior Working Capital Lien and any Associated Lien exceeds the amount permitted under clause (iii) of the definition of “Permitted Prior Working Capital Lien”, an Obligor’s investment in such applicable Bank Loan shall be treated as a Second Lien Bank Loan for purposes of determining the applicable Advance Rate for such Portfolio Investment under the Agreement.the Loan Documents. “First Lien Last Out Bank Loan” means a Bank Loan that is a First Lien Bank Loan, a portion of which is, in effect, subject to debt subordination and superpriority rights of other lenders, in each case, following an event of default (such portion, a “last out” portion); provided that the aggregate principal amount of the “last out” portion of such Bank Loan is at least 50% of the aggregate principal amount of any “first out” portion of such Bank Loan, provided, further, that the underlying obligor with respect to such Bank Loan shall have a ratio of first lien debt (including the “first out” portion of such Bank Loan, but excluding the “last out” portion of such Bank Loan and any “ABL” revolvers and any Superpriority Revolvers) to EBITDA (calculated in a manner consistent with the way such ratio is calculated in the loan documents governing such Bank Loan) that does not exceed 3.25:1.00 and a ratio of aggregate first lien debt (including both the “first out” portion and the “last out” portion of such Bank Loan, but excluding any “ABL” revolvers and any Superpriority Revolvers) to EBITDA (calculated in a manner consistent with the way such ratio is calculated in the loan documents governing such Bank Loan) that does not exceed 5.25 to 1.00. An Obligor investment in the “last out” portion of a First Lien Last Out Bank Loan shall be treated as a First Lien Last Out Bank Loan for purposes of determining the applicable Advance Rate for such Portfolio Investment. For the avoidance of doubt, an Obligor’s investment in the portion of such Bank Loan that is not the last out portion (the “first out” portion) shall be treated as a First Lien Bank Loan for purposes of determining the applicable Advance Rate for such Portfolio Investment under this 147 Revolving Credit and Term Loan Agreement


 
Agreement and an Obligor’s investment in any “last out” portion of a First Lien Bank Loan that does not meet the foregoing criteria shall be treated as a Second Lien Bank Loan. “First Lien Unitranche Bank Loan” means a First Lien Bank Loan with a ratio of first lien (excluding any “ABL” revolvers and any Superpriority Revolvers) debt to EBITDA (calculated in a manner consistent with the way such ratio is calculated in the loan documents governing such Bank Loan) that exceeds 5.25 to 1.00, and where the underlying borrower does not also have a Second Lien Bank Loan outstanding. “High Yield Securities” means debt Securities and Preferred Stock, in each case (a) issued by public or private issuers, (b) issued pursuant to an effective registration statement or pursuant to Rule 144A under the Securities Act (or any successor provision thereunder) or other exemption to the Securities Act and (c) that are not Cash Equivalents, Mezzanine Investments (described under clause (i) of the definition thereof) or Bank Loans. “Long-Term U.S. Government Securities” means U.S. Government Securities maturing more than one yearmonth from the applicable date of determination. “Mezzanine Investments” means (i) debt Securities (including convertible debt Securities (other than the “in-the-money” equity component thereof)) and Preferred Stock, in each case, (a) issued by public or private issuers, (b) issued without registration under the Securities Act, (c) not issued pursuant to Rule 144A under the Securities Act (or any successor provision thereunder) or other exemption to the Securities Act, (d) that are not Cash Equivalents and (e) contractually subordinated in right of payment to other debt of the same issuer and (ii) a Bank Loan that is not a First Lien Bank Loan, First Lien Last Out Bank Loan, First Lien Unitranche Bank Loan, Second Lien Bank Loan or a High Yield Security. “Non-Core Investments” means, collectively, Performing Non-Cash Pay High Yield Securities, Performing Non-Cash Pay Mezzanine Investments, Performing Common Equity and , Performing Preferred Stock, Non-Performing Portfolio Investments, Performing Non-Cash Pay Bank Loans, Performing DIP Loans, Non-Performing Bank Loans, Non-Performing High Yield Securities and Non-Performing Mezzanine Investments. “Non-Performing Bank Loans” means, collectively, Non-Performing First Lien Bank Loans, Non-Performing First Lien Last Out Bank Loans, Non-Performing First Lien Unitranche Loans and Non-Performing Second Lien Bank Loans. “Non-Performing Common Equity” means Capital Stock (other than Preferred Stock) and warrants of an issuer having any debt outstanding that is non-Performing. “Non-Performing First Lien Bank Loans” means First Lien Bank Loans other than Performing Cash Pay First Lien Bank Loans. “Non-Performing First Lien Last Out Bank Loans” means First Lien Last Out Bank Loans other than Performing Cash Pay First Lien Last Out Bank Loans. 148 Revolving Credit and Term Loan Agreement


 
“Non-Performing First Lien Unitranche Bank Loans” means First Lien Unitranche Bank Loans other than Performing Cash Pay First Lien Unitranche Bank Loans. “Non-Performing High Yield Securities” means High Yield Securities other than Performing High Yield Securities. “Non-Performing Mezzanine Investments” means Mezzanine Investments other than Performing Mezzanine Investments. “Non-Performing Portfolio Investment” means Portfolio Investments for which the issuer is in default of any payment obligations of principal or interest in respect thereof after the expiration of any applicable grace period. “Non-Performing Second Lien Bank Loans” means Second Lien Bank Loans other than Performing Cash Pay Second Lien Bank Loans. “Performing” means (a) with respect to any Portfolio Investment that is debt, the issuer of such Portfolio Investment is not, at the time of determination, in default of any payment obligations outstanding with respect to accrued and unpaid interest or principal in respect thereof, after the receipt of any notice and/or the expiration of any applicable grace period and (b) with respect to any Portfolio Investment that is Preferred Stock, the issuer of such Portfolio Investment has not failed to meet any scheduled redemption obligations or to pay its latest declared cash dividend, after the expiration of any applicable grace period. “Performing Cash Pay First Lien Bank Loans” means First Lien Bank Loans which are (i) not Performing DIP Loans, (ii) Cash Pay Bank Loans and (iii) Performing. “Performing Cash Pay First Lien Last Out Bank Loans” means First Lien Last Out Bank Loans which are Cash Pay Bank Loans and are Performing. “Performing Cash Pay First Lien Unitranche Bank Loans” means First Lien Unitranche Bank Loans which are Cash Pay Bank Loans and are Performing. “Performing Cash Pay High Yield Securities” means High Yield Securities (a) as to which, at the time of determination, not less than two-thirds (2/3rds) of the interest (including accretions and “pay-in-kind” interest) for the current monthly, quarterly, semi-annual or annual period (as applicable) is payable in cash and (b) which are Performing. “Performing Cash Pay Mezzanine Investments” means Mezzanine Investments (a) as to which, at the time of determination, not less than two-thirds (2/3rds) of the interest (including accretions and “pay-in-kind” interest) for the current monthly, quarterly, semi-annual or annual period (as applicable) is payable in cash and (b) which are Performing. “Performing Cash Pay Second Lien Bank Loans” means Second Lien Bank Loans which are (i) not Performing DIP Loans, (ii) Cash Pay Bank Loans and (iii) Performing. 149 Revolving Credit and Term Loan Agreement


 
“Performing Common Equity” means Capital Stock (other than Preferred Stock) and warrants of an issuer all of whose outstanding debt is Performing. “Performing First Lien BankDIP Loans” means First Lien Bank Loans which are (i) Cash Pay Bank Loans and (ii)a loan made to a debtor-in-possession pursuant to Section 364 of the Bankruptcy Code having the priority allowed by either Section 364(c) or 364(d) of the Bankruptcy Code that is Performing. “Performing First Lien Last Out Bank Loans” means First Lien Last Out Bank Loans which are Cash Pay Bank Loans and are Performing. “Performing First Lien Unitranche Bank Loans” means First Lien Unitranche Bank Loans which are Cash Pay Bank Loans and are Performing. “Performing High Yield Securities” means High Yield Securities which are Performing. “Performing Joint Venture Investments” means Joint Venture Investments which are Performing. “Performing Mezzanine Investments” means Mezzanine Investments which are Performing. “Performing Non-Cash Pay Bank Loans” means First Lien Bank Loans, First Lien Unitranche Bank Loans, First Lien Last Out Bank Loans and Second Lien Bank Loans that are (a) Performing and (b) not Cash Pay Bank Loans. “Performing Non-Cash Pay High Yield Securities” means Performing High Yield Securities other than Performing Cash Pay High Yield Securities. “Performing Non-Cash Pay Mezzanine Investments” means Performing Mezzanine Investments other than Performing Cash Pay Mezzanine Investments. “Performing Second Lien Bank Loans” means Second Lien Bank Loans which are (i) Cash Pay Bank Loans and (ii) Performing. “Performing Preferred Stock” means Preferred Stock that is Performing. “Permitted Prior Working Capital Lien” means, with respect to any borrower under a Bank Loan, a security interest to secure a senior facility for such borrower and/or any of its parents and/or subsidiaries; provided that (i) such Bank Loan has a second priority lien on the collateral that is subject to the first priority lien of such senior facility (or a pari passu lien on such collateral), (ii) such senior facility is not secured by any other assets (other than a pari passu lien or a second priority lien, subject to the pari passu or first priority lien of the Bank Loan) and does not benefit from any standstill rights or other agreements (other than customary rights) with respect to any other assets and (iii) the maximum outstanding principal amount of such senior capital facility is not greater than the lower of (x) 15% of the aggregate enterprise value of such borrower (as determined at the time of closing of the transaction, and thereafter an enterprise 150 Revolving Credit and Term Loan Agreement


 
value for such borrower determined in a manner consistent with the valuation methodology applied in the valuation for such borrower as determined by the Borrower in a commercially reasonable manner) and (y) 20% of the outstanding amount of the associated first priority lien loan. “Preferred Stock” means, as applied to the Capital Stock of any Person, Capital Stock of such Person of any class or classes (however designated) that ranks prior, as to the payment of dividends or as to the distribution of assets upon any voluntary or involuntary liquidation, dissolution or winding up of such Person, to any shares (or other interests) of other Capital Stock of such Person, and shall include, without limitation, cumulative preferred, non-cumulative preferred, participating preferred and convertible preferred Capital Stock; provided that such Preferred Stock (i) pays a cash dividend on a monthly or quarterly basis and (ii) has a maturity date or is subject to mandatory redemption on a date certain that is not greater than ten (10) years from the date of initial issuance of such Preferred Stock. “Second Lien Bank Loan” means a Bank Loan (other than a First Lien Bank Loan) that is entitled to the benefit of a first and/or second lien and first and/or second priority perfected security interest (subject to customary encumbrances) on a substantial portion of the assets of the respective borrower and guarantors obligated in respect thereof. “Securities” means common and preferred stock, units and participations, member interests in limited liability companies, partnership interests in partnerships, notes, bonds, debentures, trust receipts and other obligations, instruments or evidences of indebtedness, including debt instruments of public and private issuers and tax-exempt securities (including warrants, rights, put and call options and other options relating thereto, representing rights, or any combination thereof) and other property or interests commonly regarded as securities or any form of interest or participation therein, but not including Bank Loans. “Securities Act” means the United States Securities Act of 1933, as amended. “Senior Debt Amount” means, without duplication, the greater of the Covered Debt Amount and the Combined Debt Amount. “Senior Investments” means Cash, Cash Equivalents, Short-Term U.S. Government Securities, Long-Term U.S. Government Securities, Performing Cash Pay First Lien Bank Loans, Performing Cash Pay First Lien Unitranche Bank Loans, and Performing Cash Pay First Lien Last Out Bank Loans. “Senior Securities” means senior securities (as such term is defined and determined pursuant to the Investment Company Act and any orders of the SEC issued to the Borrower thereunder, in each case as in effect as of the Amendment No. 2 Effective Date). “Short-Term U.S. Government Securities” means U.S. Government Securities maturing within one yearmonth of the applicable date of determination. “Structured Finance Obligation” means any obligation issued by a special purpose vehicle and secured directly by, referenced to, or representing ownership of, a pool of receivables or other financial assets of any obligor, including collateralized debt obligations and 151 Revolving Credit and Term Loan Agreement


 
mortgaged-backed securities. For the avoidance of doubt, if an obligation satisfies the definition of “Structured Finance Obligation”, such obligation shall not (a) qualify as any other category of Portfolio Investment and (b) be included in the Borrowing Base. “Superpriority Revolver” means, with respect to any borrower under a Bank Loan, a security interest to secure a senior facility for such borrower and/or any of its parents and/or subsidiaries; provided that (a) such Bank Loan has a second-priority lien on the collateral that is subject to the first-priority lien of such senior facility (or a pari passu lien on such collateral), (b) such senior facility is not secured by any other assets (other than a pari passu lien or a second-priority lien on any collateral that is subject to a pari passu lien or a first-priority lien of such Bank Loan) and does not benefit from any standstill rights or other agreements (other than customary rights) with respect to any other assets and (c) the maximum outstanding principal amount of such senior facility (i) is not greater than 15% of the aggregate enterprise value of such borrower (as determined at the time of closing of the transaction, and thereafter an enterprise value for such borrower determined in a manner consistent with the valuation methodology applied in the valuation for such borrower as determined by the External Managers (so long as the acting External Manager has the necessary delegated authority) or the Borrower’s Board of Directors (or the appropriate committee thereof with the necessary delegated authority) in a commercially reasonable manner, including the use of an Approved Third-Party Appraiser in the case of Unquoted Investments) and (ii) is not greater than the lower of (x) 1.0x EBITDA of the borrower under such Bank Loan, and (y) 20% of the outstanding amount of the associated first-priority lien loan. “U.S. Government Securities” has the meaning assigned to such term in Section 1.01. “Value” means, with respect to any Portfolio Investment, the lower of: (i) (i) the most recent internal market value as determined pursuant to Section 5.12(b)(ii)(C) and (ii) (ii) the most recent external market value as determined pursuant to Sections 5.12(b)(ii)(A) and (B). ARTICLE VI NEGATIVE COVENANTS Until the Commitments have expired or terminated and the principal of and interest on each Loan and all fees payable hereunder have been paid in full and all Letters of Credit have expired, been terminated, Cash Collateralized or backstopped and all LC Disbursements shall have been reimbursed, the Borrower covenants and agrees with the Lenders that: SECTION 6.01. Indebtedness. The Borrower will not, nor will it permit any of the Subsidiary Guarantors to, create, incur, assume or permit to exist any Indebtedness (for clarity, with respect to revolving loan facilities or staged advance loan facilities, “incurrence” shall be deemed to take place only at the time such facility is entered into or the aggregate 152 Revolving Credit and Term Loan Agreement


 
commitments thereunder are increased or extended and, solely for purposes of satisfying the incurrence tests in this Section 6.01, shall be deemed to be fully drawn with respect to any commitments that have not expired or been terminated and are, subject to the satisfaction of customary credit event conditions, available to be drawn; provided that such commitments shall in no event include (i) any delayed draw portion that has not yet been funded (which delayed draw portion shall be “incurred” when funded) or (ii) any accordion capacity that has not yet been exercised), except:Indebtedness created hereunder or under any other Loan Document; (b) Secured Longer-Term Indebtedness and Unsecured Longer-Term Indebtedness so long as, after giving effect to any Concurrent Transaction, (i) no Default or Event of Default exists at the time of the incurrence thereof, (ii) at the time of incurrence thereof, the aggregate amount of such Secured Longer-Term Indebtedness and Unsecured Longer-Term Indebtedness, taken together with other then-outstanding Indebtedness that constitutes senior securities, does not exceed the amount required to comply with the provisions of Section 6.07(c), and (iii) prior to and immediately after giving effect to the incurrence of any Secured Longer-Term Indebtedness or Unsecured Longer-Term Indebtedness, the Covered Debt Amount does not or would not exceed the Borrowing Base then in effect; (c) Other Permitted Indebtedness; (d) Guarantees of Indebtedness otherwise not prohibited hereunder; (e) (i) Indebtedness of the Borrower to or from any other Obligor, (ii) Indebtedness of an Obligor to or from another Obligor or (iii) Indebtedness of the Borrower or any other Obligor to a Financing Subsidiary or a Permitted CLO Issuer to the extent a court determines a transfer of assets (including participations) from such Obligor to such Financing Subsidiary or Permitted CLO Issuer did not constitute a true sale, provided, that with respect to this clause (iii), the holders of such Indebtedness have recourse only to the assets purported to be transferred (or in the case of any participation, the portion of such portfolio investment that such participation interest relates to) to such Financing Subsidiary or Permitted CLO Issuer (other than pursuant to Standard Securitization Undertakings); (f) repurchase obligations arising in the ordinary course of business with respect to U.S. Government Securities; (g) obligations payable to clearing agencies, brokers or dealers in connection with the purchase or sale of securitiesSecurities in the ordinary course of business; (h) Secured Shorter-Term Indebtedness so long as, after giving effect to any Concurrent Transaction, (i) no Default or Event of Default exists at the time of the incurrence thereof, (ii) the aggregate principal amount of such Indebtedness (determined at the time of the incurrence of such Indebtedness) does not exceed the greater of (A) $50,000,000 and (B) 5% of Shareholders’ Equity (measured at the time of incurrence), and (iii) prior to and immediately after giving effect to the incurrence of any such Indebtedness, the Covered Debt Amount does not or would not exceed the Borrowing Base then in effect; 153 Revolving Credit and Term Loan Agreement


 
(i) obligations (including Guarantees) in respect of Standard Securitization Undertakings (other than SPE Subsidiary Recourse Obligations); (j) Permitted SBIC Guarantees; (k) Any SBIC Equity Commitment or analogous commitment with respect to any SBIC Subsidiary; (l) Indebtedness under the Existing Subscription Facility[reserved]; (m) Unsecured Shorter-Term Indebtedness (other than Special Unsecured Indebtedness that would otherwise constitute Unsecured Shorter-Term Indebtedness) so long as, after giving effect to any Concurrent Transaction, (i) no Default or Event of Default exists at the time of the incurrence thereof, (ii) the aggregate principal amount of such Indebtedness (determined at the time of the incurrence of such Indebtedness) does not exceed $350,000,000, (iii) the aggregate principal amount of such Indebtedness (determined at the time of the incurrence of such Indebtedness), taken together with then-outstanding Special Unsecured Indebtedness incurred pursuant to Section 6.01(n), does not exceed $700,000,000, (iv) the aggregate principal amount of such Indebtedness, taken together with other then-outstanding Indebtedness that constitutes senior securities, does not exceed the amount required to comply with the provisions of Section 6.07(c), and (v) prior to and immediately after giving effect to the incurrence of any such Indebtedness, the Covered Debt Amount does not or would not exceed the Borrowing Base then in effect; (n) Special Unsecured Indebtedness so long as, after giving effect to any Concurrent Transaction, (i) no Default or Event of Default exists at the time of the incurrence thereof, (ii) the aggregate principal amount of such Indebtedness (determined at the time of the incurrence of such Indebtedness) does not exceed $500,000,000, (iii) the aggregate principal amount of such Indebtedness (determined at the time of the incurrence of such Indebtedness), taken together with then-outstanding Unsecured Shorter-Term Indebtedness incurred pursuant to Section 6.01(m), does not exceed $700,000,000, (iv) the aggregate principal amount of such Indebtedness, taken together with other then-outstanding Indebtedness that constitutes senior securities, does not exceed the amount required to comply with the provisions of Section 6.07(c), and (v) prior to and immediately after giving effect to the incurrence of any such Indebtedness, the Covered Debt Amount does not or would not exceed the Borrowing Base then in effect; (o) obligations (including guarantees) in respect of any collateral management or collateral servicing arrangement with Permitted CLO Issuers or Financing Subsidiaries; (p) other Indebtedness arising pursuant to a Permitted Advisor Loan in an aggregate outstanding principal amount not to exceed $100,000,000 at any one time outstanding; (q) “Secured Obligations” under and as defined in the Guarantee and Security Agreement of any Obligor or any of its Subsidiaries in connection with any Hedging Agreement permitted under Section 6.04(c) or Designated Swap that is in the case of any such Hedging Agreement or Designated Swap (A) is entered into in the ordinary course of any Obligor’s financial planning and not for speculative purposes, (B) so long as the aggregate outstanding principal amount of such Indebtedness (determined at the time of incurrence thereof), taken 154 Revolving Credit and Term Loan Agreement


 
together with other then-outstanding Indebtedness, does not exceed the amount required to comply with the provisions of Section 6.07(c), (C) prior to and immediately after giving effect to the incurrence of any such Indebtedness, the Covered Debt Amount does not or would not exceed the Borrowing Base then in effect and (D) at any time outstanding, the aggregate exposure of any Obligorthe Obligors with respect to such Indebtedness (that is not covered or collateralized by margin and determined on a netted basis) does not exceed $40,000,000; and (r) other Indebtedness (including SPE Subsidiary Recourse Obligations) in an aggregate outstanding principal amount not to exceed the greater of (i) $50,000,000 and (ii) 5% of Shareholders’ Equity (measured at the time of incurrence) at any one time outstanding. SECTION 6.02. Liens. The Borrower will not, nor will it permit any of the Subsidiary Guarantors to, create, incur, assume or permit to exist any Lien on any property or asset now owned or hereafter acquired by it, or assign or sell any income or revenues (including accounts receivable) or rights in respect of any thereof except:any Lien on any property or asset of the Borrower or any Subsidiary Guarantor existing on the Amendment No. 2 Effective Date and set forth in Part B of Schedule 3.11 and any extensions, renewals and replacements thereof; provided that, (i) no such Lien shall extend to any other property or asset of the Borrower or any of the Subsidiary Guarantors other (x) after-acquired property that is affixed or incorporated into the property descriptions covered by such Lien as of the Amendment No. 2 Effective Date and (y) than proceeds and products thereof, accessions, replacements or additions thereto and improvements thereon, and (ii) any such Lien shall secure only those obligations which it secures on the Amendment No. 2 Effective Date and extensions, renewals and replacements thereof that do not increase the outstanding principal amount thereof or are otherwise permitted by Section 6.01; (b) Liens created pursuant to this Agreement (including Section 2.19) or any of the Security Documents (including Liens in favor of the Designated Indebtedness Holders (as defined in the Guarantee and Security Agreement)); (c) Liens on Special Equity Interests included in the Investments of the Borrower but only to the extent securing obligations in the manner provided in the definition of “Special Equity Interests” in Section 1.01; (d) Liens securing Indebtedness or other obligations in an aggregate outstanding principal amount not exceeding the greater of (i) $50,000,000 and (ii) 5% of Shareholders’ Equity at any one time outstanding (which may cover Portfolio Investments, but only to the extent released from, or otherwise not covered by, the Lien in favor of the Collateral Agent pursuant to Section 10.03 of the Guarantee and Security Agreement), so long as immediately after giving effect to the incurrence of such Indebtedness or other obligations (i) the Borrower would be in compliance with Section 6.07 and (ii) the Covered Debt Amount would not exceed the Borrowing Base; (e) Permitted Liens; (f) Liens on Equity Interests in any SBIC Subsidiary created in favor of the SBA or its designee; 155 Revolving Credit and Term Loan Agreement


 
(g) Liens securing collateral posted as margin to secure obligations under any Indebtedness in connection with Hedging Agreements and Designated Swaps permitted under Section 6.01(q) so long as (i) either (x) the amount by which the Borrowing Base exceeds the Covered Debt Amount immediately prior to the granting of any such Lien under this clause (g) is not diminished as a result of the granting of such Lien or (y) the Adjusted Gross Borrowing Base immediately after giving effect to the granting of any such Lien under this clause (g) is at least 110% of the Covered Debt Amount and (ii) the value of the assets subject to such Liens in the aggregate does not exceed $40,000,000 (it being understood that any Cash, Cash Equivalents or other collateral subject to such Liens shall not be required to be subject to any account control agreement hereunder and shall not be included in the Borrowing Base); (h) obligations payable to clearing agencies, brokers or dealers in connection with the purchase or sale of securitiesSecurities in the ordinary course of business; (i) Liens securing repurchase obligations arising in the ordinary course of business with respect to U.S. Government Securities; (j) (i) Liens on the direct ownership interest of any Obligor in an Excluded Asset to secure obligations owed to a creditor of such Excluded Asset and (ii) Liens on an Obligor’s direct ownership interests in Excluded Assets (“Excluded Asset Liens”) but only to the extent that at the time any such Lien is incurred, no more than 25% of the Value of all Obligors’ direct ownership interests in all Excluded Assets (calculated as of the most recently delivered financial statements) have become subject to an Excluded Asset Lien or have been transferred pursuant to Section 6.03(j); and (k) Liens existing on any property or asset prior to the acquisition thereof by the Borrower or another Obligor (other than any Portfolio Investment); provided that (i) such Lien is not created in contemplation of or in connection with such acquisition and (ii) such Lien does not apply to any other property or assets (other than proceeds thereof or accessions thereto) of the Borrower or such Obligor. SECTION 6.03. Fundamental Changes. The Borrower will not, nor will it permit any of the Subsidiary Guarantors to, enter into any transaction of merger or consolidation or amalgamation, or liquidate, wind up or dissolve or divide itself (or suffer any liquidation, dissolution or division). The Borrower will not, nor will it permit any of the Subsidiary Guarantors to, acquire any business or property from, or Capital Stock of, or be a party to any acquisition of, any Person, except for purchases or acquisitions of Investments and assets in the normal course of the day-to-day business activities of the Borrower and its Subsidiaries and not in violation of the terms and conditions of this Agreement or any other Loan Document. The Borrower will not, nor will it permit any of the Subsidiary Guarantors to, convey, sell, lease, transfer or otherwise dispose of, in one transaction or a series of transactions, any part of its assets, whether now owned or hereafter acquired, but excluding any transaction permitted under Section 6.01(f), 6.05 or 6.12. Notwithstanding the foregoing provisions of this Section: (a) any Subsidiary Guarantor may be merged or consolidated with or into the Borrower or any other Subsidiary Guarantor; provided that if any such transaction shall be 156 Revolving Credit and Term Loan Agreement


 
between a Subsidiary Guarantor and a wholly-owned Subsidiary Guarantor, the wholly-owned Subsidiary Guarantor shall be the continuing or surviving entity; (b) any Subsidiary Guarantor of the Borrower may sell, lease, transfer (including a deemed transfer resulting from a division or plan of division) or otherwise dispose of any or all of its assets (upon voluntary liquidation or otherwise) to the Borrower or any wholly owned Subsidiary Guarantor of the Borrower; (c) the Capital Stock of any Subsidiary of any Obligor may be sold, transferred or otherwise disposed of (including by way of consolidation or merger) (i) to the Borrower or any wholly owned Subsidiary Guarantor of the Borrower or (ii) so long as such transaction results in an Obligor receiving the proceeds of such disposition, to any other Person (excluding any Affiliate of the Borrower that is not an Obligor at any time a Default or an Event of Default has occurred and is continuing); provided that in the case of this clause (ii), if such Subsidiary is a Subsidiary Guarantor or holds any Portfolio Investments, immediately after giving effect to such sale, transfer or disposition and any Concurrent Transactions, the Borrower is in pro forma compliance with Sections 6.07(b) and (c), the Covered Debt Amount does not exceed the Borrowing Base and either (x) the amount of any excess availability under the Borrowing Base immediately prior to such disposition is not diminished as a result of such disposition or (y) the Borrowing Base immediately after giving effect to such disposition is at least 110% of the Covered Debt Amount; (d) the Obligors may sell or dispose of assets (other than to an Immaterial Subsidiary, a Financing Subsidiary, or an Excluded Asset) in the ordinary course of business (including to make expenditures of cash and Cash Equivalents in the normal course of the day-to-day business activities of the Borrower and its Subsidiaries and the use of cash and Cash Equivalents in the ordinary course of business) (e) the Obligors may (i) sell, transfer (including a deemed transfer resulting from a division or plan of division) or otherwise Dispose of assets to an Immaterial Subsidiary, a Financing Subsidiary or an Excluded Asset or (ii) repurchase from any Immaterial Subsidiary, Financing Subsidiary, or Excluded Asset any assets transferred or contributed, directly or indirectly, to such Immaterial Subsidiary, Financing Subsidiary or Excluded Asset, so long as, in each case of clause (i) or clause (ii), (x) after giving effect to such sale, transfer or other disposition (and any Concurrent Transaction) the Covered Debt Amount does not exceed the Borrowing Base and the Borrower delivers to the Administrative Agent a certificate of a Financial Officer to such effect and (y) either (1) the amount by which the Borrowing Base exceeds the Covered Debt Amount immediately prior to such sale, transfer or other disposition is not diminished as a result of such sale, transfer or other disposition or (2) the Adjusted Gross Borrowing Base immediately after giving effect to such sale, transfer or other disposition is at least 110% of the Covered Debt Amount; provided that, for the purposes of this clause (y) and in connection with the organization of any CLO Security, the Borrowing Base and the Covered Debt Amount, as applicable, shall be tested as of the pricing date for such CLO Security; (f) the Borrower may merge or consolidate with, or acquire all or substantially all of the assets of, any other Person (including any Subsidiary Guarantor) so long as (i) the Borrower is the continuing or surviving entity in such transaction and (ii)(x) with 157 Revolving Credit and Term Loan Agreement


 
respect to any merger or consolidation with, or acquisition by an Obligor of all or substantially all of the assets of, any other business development company advised by the External Managers, as of the date of entering into the applicable agreement governing such merger, consolidation or acquisition or (y) with respect to any other merger, consolidation or acquisition at the time thereof, and, in each case, after giving pro forma effect thereto and any Concurrent Transaction, no Event of Default shall have occurred or be continuing; provided that, in no event shall the Borrower enter in any transaction of merger or consolidation or amalgamation, or effect any internal reorganization, if the surviving entity would be organized under any jurisdiction other than a jurisdiction of the United States; (g) the Borrower and each of the Subsidiary Guarantors may sell, lease, transfer (including a deemed transfer resulting from a division or plan of division) or otherwise dispose of equipment or other property or assets that do not consist of Investments so long as the aggregate amount of all such sales, leases, transfer and dispositions does not exceed $15,000,000 in any fiscal year; (h) the Obligors may transfer assets to an Excluded Asset or a Financing Subsidiary for the sole purpose of facilitating the transfer of assets from one Excluded Asset or Financing Subsidiary (or a Subsidiary that was an Excluded Asset or a Financing Subsidiary immediately prior to such disposition) to another Excluded Asset or Financing Subsidiary, directly or indirectly through such Obligor (such assets, the “Transferred Assets”); provided that (i) no Event of Default exists and is continuing at such time, (ii) the Covered Debt Amount shall not exceed the Borrowing Base at such time and (iii) the Transferred Assets were transferred to such Obligor by the transferor Financing Subsidiary on the same Business Day that such assets are transferred by such Obligor to the transferee Excluded Asset or Financing Subsidiary and (y) in connection with a Back-to-Back Transaction; (i) the Borrower may dissolve or liquidate any Subsidiary Guarantor so long as in connection with such dissolution or liquidation, any and all of the assets of such Subsidiary Guarantor shall be distributed or otherwise transferred to an Obligor; (j) the Obligors may sell, transfer or otherwise dispose of direct ownership interests in any Excluded Asset to any Subsidiary that is not an Obligor, if immediately after giving effect to such sale, transfer or other disposition and any Concurrent Transactions, no more than 25% of the Value of all Obligors’ direct ownership interests in all Excluded Assets (calculated as of the date of the most recently delivered financial statements on or prior to the date of such sale, transfer or other disposition) are subject to Excluded Asset Liens or have been sold, transferred or otherwise disposed of to a Subsidiary that is not an Obligor pursuant to this clause (k); provided that, notwithstanding that a transfer may violate such 25% limitation, such transfer shall nevertheless be permitted if it is required by law, rule, regulation or interpretive position of the SEC; (k) the Borrower or the other Obligors may dissolve or liquidate (i) any Immaterial Subsidiary or (ii) any other Subsidiary so long as, with respect to this clause (ii), (A) in connection with such dissolution or liquidation, any and all of the assets of such Subsidiary shall be distributed or otherwise transferred to an Obligor (or, if such Subsidiary is an Excluded Asset, to another Excluded Asset) and (B) such dissolution or liquidation is not materially 158 Revolving Credit and Term Loan Agreement


 
adverse to the Lenders and the Borrower determines in good faith that such dissolution or liquidation is in its best interests; and (l) the Borrower may deposit and use cash to (i) purchase shares of common stock of the Borrower in connection with a tender offer to the extent such purchase would be, at the time approved by the board of directors of the Borrower, permitted pursuant to Section 6.05 or (ii) repay Indebtedness incurred pursuant to Section 6.01(q); provided that in no event shall the Borrower enter into any transaction of merger or consolidation or amalgamation, or effect any internal reorganization, if the surviving entity would be organized under any jurisdiction other than a jurisdiction of the United States. SECTION 6.04. Investments. The Borrower will not, nor will it permit any of the Subsidiary Guarantors to, acquire, make or enter into, or hold, any Investments except:operating deposit and securities accounts with banks; (b) Investments by the Borrower and the Subsidiary Guarantors in the Borrower and the Subsidiary Guarantors; (c) Hedging Agreements, derivative arrangements, credit default swaps and total return swaps entered into in the ordinary course of any Obligor’s business for financial planning and not for speculative purposes; (d) Investments by the Obligors to the extent such Investments areany such Investment is permitted under the Investment Company Act (if applicable) and in compliance in all material respects with the Borrower’s Investment Policies, in each case as in effect as of the date such Investments are acquired;Investment is acquired; provided that, in cases where such Investment is a Portfolio Investment, if such Portfolio Investment is not included in the Collateral immediately after giving effect to such Investment and any Concurrent Transaction, then (i) the Covered Debt Amount does not exceed the Borrowing Base and (ii) either (x) the amount of any excess availability under the Borrowing Base immediately prior to such Portfolio Investment is not diminished as a result of such Portfolio Investment or (y) the Gross Borrowing Base immediately after giving effect to such Portfolio Investment is at least 110% of the Covered Debt Amount; (e) Investments in Financing Subsidiaries, any Excluded Asset or any other Subsidiary that is not a Subsidiary Guarantor in the form of Designated Swaps, determined at the time any such Investment is made so long as, (i) after giving effect to such Investment and any Concurrent Transaction, either (A) the amount by which the Gross Borrowing Base exceeds the Covered Debt Amount immediately prior to such Investment (or, if earlier, a commitment to make such Investment) is not diminished as a result of such Investment or (B) the Adjusted Gross Borrowing Base immediately after giving effect to such Investment is at least 110% of the Covered Debt Amount and (ii) the Borrower is in compliance with the financial covenant set forth in Section 6.07(c); (f) additional Investments up to but not exceeding $50,000,000 in the aggregate at any time outstanding; 159 Revolving Credit and Term Loan Agreement


 
(g) Investments in Cash and Cash Equivalents; (h) Investments existing on the Amendment No. 2 Effective Date and described on Schedule 3.12(b); (i) Investments in the form of Guarantees permitted pursuant to Section 6.01; (j) Joint Venture Investments to the extent that such Joint Venture Investments are permitted under the Investment Company Act and the Borrower’s Investment Policies as in effect as of the date such Joint Venture Investments are acquired; provided that no Obligor shall be permitted to make an Investment in a Joint Venture Investment that is a Non-Performing Joint Venture Investment unless, immediately after giving effect to such Investment, the Covered Debt Amount does not exceed the Borrowing Base; (k) [Reservedreserved]; and (l) Investments consisting of: (i) repurchases of Securities of the Borrower and its Subsidiaries from current and former directors, employees or limited partners of the Borrower and its Subsidiaries (including current and former directors and employees who are limited partners); and (ii) issuance of common stock of the Borrower to officers, directors and employees of the Borrower or its Subsidiaries. For purposes of clauses (e) and (f) of this Section 6.04, the aggregate amount of an Investment at any time shall be deemed to be equal to (A) the aggregate amount of cash, together with the aggregate fair market value of property, loaned, advanced (including posted as margin under any Designated Swap), contributed, transferred or otherwise invested that gives rise to such Investment minus (B) the aggregate amount of the Return of Capital and dividends, distributions or other payments received in cash in respect of such Investment and the values (valued in accordance with Section 5.12(b)) of other Investments received in respect of such Investment; provided that in no event shall the aggregate amount of such Investment be deemed to be less than zero; the amount of an Investment shall not in any event be reduced by reason of any write-off of such Investment nor increased by any increase in the amount of earnings retained in the Person in which such Investment is made that have not been dividended, distributed or otherwise paid out. SECTION 6.05. Restricted Payments. The Borrower will not, nor will it permit any of the Subsidiary Guarantors to, declare or make, or agree to pay or make, directly or indirectly, any Restricted Payment, except that the Borrower may declare and pay:dividends with respect to the Capital Stock of the Borrower payable solely in additional shares of the Borrower’s common stock (which may include fractional shares payable in cash; provided that, such cash dividend would otherwise be permitted pursuant to another clause of this Section 6.05); (b) dividends and distributions with respect to any taxable year (or calendar year, as relevant) that do not exceed 110% of the higher of (i) the net investment income of the Borrower for the applicable taxable year, determined in accordance with GAAP and as specified in the most recent annual financial statements delivered to the Administrative Agent pursuant to Section 5.01(a) and (ii) the amount that the Borrower would have been required to distributeestimates in good faith to: (A) allow the Borrower to satisfy the minimum distribution 160 Revolving Credit and Term Loan Agreement


 
requirements that would be imposed by Section 852(a) of the Code to maintain its eligibility to be taxed as a RIC for any such taxable year, (B) reduce to zero for any such taxable year the Borrower’s liability for federal income taxes imposed on (x) its investment company taxable income pursuant to Section 852(b)(1) of the Code and (y) its net capital gain pursuant to Section 852(b)(3) of the Code, and (C) reduce to zero the Borrower’s liability for federal excise taxes for any such calendartaxable year (or for the previous taxable year) imposed pursuant to Section 4982 of the Code; (c) dividends and distributions in any taxable year in an amount not to exceed the amount, determined in good faith by the Borrower, that is required (i) to maintain the status of the Borrower as a RIC or (ii) to avoid U.S. federal income tax and excise taxes at the corporate level for such taxable year, or the immediately preceding taxable year under Section 852(b) and Section 4982 of the Code; (d) other Restricted Payments so long as (i) on the date of such other Restricted Payment and after giving effect thereto, and upon giving pro forma effect thereto and to any Concurrent Transaction, (x) the Covered Debt Amount does not exceed 90% of the Adjusted Gross Borrowing Base and (y) no Default or Event of Default shall have occurred and be continuing or would result therefrom and (ii) on the date of such other Restricted Payment (or such later date that the Administrative Agent may agree in its sole discretion) the Borrower delivers to the Administrative Agent a Borrowing Base Certificate as at such date demonstrating compliance with subclause (x) after giving effect to such Restricted Payment. For purposes of preparing such Borrowing Base Certificate, (A) the fair market value of Quoted Investments shall be the most recent quotation available for such Quoted Investment and (B) the fair market value of Unquoted Investments shall be the Value set forth in the Borrowing Base Certificate most recently delivered by the Borrower to the Administrative Agent pursuant to Section 5.01(d); provided that the Borrower shall reduce or increase, as applicable, the Value of any Unquoted Investment, in a manner consistent with the valuation methodology set forth in Section 5.12, to the extent necessary to take into account any events of which the Borrower has knowledge that adversely or positively, as applicable, affect the value of such Investment; and (e) any settlement in respect of a conversion feature in any convertible security that may be issued by the Borrower to the extent made through the delivery of common stock (except in the case of interest (which may be payable in cash)). Nothing herein shall be deemed to prohibit the payment of Restricted Payments by any Subsidiary of the Borrower to the Borrower or to any other Subsidiary Guarantor. SECTION 6.06. Certain Restrictions on Subsidiaries. The Borrower will not permit any of its Subsidiaries (other than Financing Subsidiaries, Foreign Subsidiaries or any Excluded Asset with respect to its assets) to enter into or suffer to exist any indenture, agreement, instrument or other arrangement (other than the Loan Documents) that prohibits or restrains, in each case in any material respect, or imposes materially adverse conditions upon, the incurrence or payment of Indebtedness, the declaration or payment of dividends, the making of loans, advances, guarantees or Investments or the sale, assignment, transfer or other disposition of property to the Borrower by any Subsidiary (other than a Financing Subsidiary or Foreign Subsidiary); provided that the foregoing shall not apply to (i) indentures, agreements, 161 Revolving Credit and Term Loan Agreement


 
instruments or other arrangements pertaining to other Indebtedness permitted hereby (provided that such restrictions would not adversely affect in any material respect the exercise of rights or remedies of the Administrative Agent or the Lenders hereunder or under the Security Documents or restrict any Subsidiary Guarantor in any manner from performing its obligations under the Loan Documents) and (ii) indentures, agreements, instruments or other arrangements pertaining to any lease, sale or other disposition of any asset not prohibited by this Agreement or any Lien not prohibited by this Agreement on such asset so long as the applicable restrictions only apply to the assets subject to such lease, sale, other disposition or Lien. Certain Financial Covenants. (a) Minimum Shareholders’ Equity. The Borrower will not permit Shareholders’ Equity at the last day of any fiscal quarter of the Borrower to be less than three-hundred and sixtysix hundred forty-one million one hundred forty-one thousand eight hundred Dollars ($360,000,000.00641,141,800.00), plus 25% of the net cash proceeds of the sale of Equity Interests by the Borrower after the Amendment No. 2 Effective Date (other than proceeds (x) of sales of Equity Interests by and among the Borrower and its Subsidiaries and (y) deemed received in connection with any distribution or dividend reinvestment plan). (b) [reserved]. (c) Consolidated Asset Coverage Ratio. The Borrower will not permit the Consolidated Asset Coverage Ratio of the Borrower to be less than 150% at any time. SECTION 6.08. Transactions with Affiliates. The Borrower will not, and will not permit any of its Subsidiaries (other than Financing Subsidiaries, Foreign Subsidiaries, Excluded Assets or Immaterial Subsidiaries) to enter into any transactions with any of its Affiliates, even if otherwise permitted under this Agreement, except (a) transactions at prices and on terms and conditions, taken as a whole, not materially less favorable to the Borrower or such Subsidiary than could be obtained on an arm’s-length basis from unrelated third parties, (b) transactions between or among the Borrower and its Subsidiaries not involving any other Affiliate, (c) Restricted Payments permitted by Section 6.05, (d) the transactions provided in the Affiliate Agreement,(e) transactions described on Schedule 6.08 or permitted under Section 6.03 (including dispositions or repurchases permitted thereunder) or Section 6.04, (f) any Investment that results in the creation of an Affiliate, (g) transactions between or among the Obligors and any SBIC Subsidiary or any “downstream affiliate” (as such term is used under the rules promulgated under the Investment Company Act) company of an Obligor at prices and on terms and conditions, taken as a whole, not materially less favorable to the Obligors than could be obtained at the time on an arm’s-length basis from unrelated third parties, (h) transactions with one or more Affiliates (including co-investments) permitted by an exemptive order granted by the SEC (as may be amended from time to time), any no action letter or as otherwise permitted by applicable law, rule or regulation and SEC staff interpretations thereof, (i) transactions approved by a majority of the independent members of the board of directors of the Borrower, (k) the payment of compensation and reimbursement of expenses and indemnification to officers and directors in the ordinary course of business including payments in respect of D&O insurance, (l) transactions between or among the Obligors and any Excluded Asset (i) at prices and on terms and conditions not less favorable to the Obligors than could be obtained at the time on an arm’s-length basis from unrelated third parties, (ii) arising from, in connection with or related to Standard Securitization Undertakings or (iii) arising from, in connection with or related to 162 Revolving Credit and Term Loan Agreement


 
Back-to-Back Transactions to the extent not otherwise prohibited hereunder, (m) under or related to the Permitted Advisor Loan and permitted hereunder, and (n) the Borrower may issue and sell Equity Interests to its Affiliates. Lines of Business. The Borrower will not, nor will it permit any of its Obligors to, engage to any material extent in any business in a manner that would violate its Investment Policies. The Borrower will not, nor will it permit any Obligor to, amend or modify the Investment Policies (other than a Permitted Policy Amendment). The Borrower will not (a) modify, supplement or waive in any material respect the Valuation Policy (other than any modification, supplement or waiver (w) required under GAAP, (x) required by any applicable law, rule or regulation or Governmental Authority, or (y) when taken as a whole is not materially adverse to the Lenders when compared to its Valuation Policy in effect as of the Amendment No. 2 Effective Date) or (b) fail to comply with the Valuation Policy in any material respect. No Further Negative Pledge. The Borrower will not, and will not permit any of the Subsidiary Guarantors to, enter into any agreement, instrument, deed or lease which prohibits or limits in any material respect the ability of any Obligor to create, incur, assume or suffer to exist any Lien upon any of its properties, assets or revenues, whether now owned or hereafter acquired, or which requires the grant of any security for an obligation if security is granted for another obligation, except the following: (a) this Agreement, the other Loan Documents and documents with respect to Indebtedness permitted under Section 6.01(b), (h), (m) or (n); (b) covenants in documents creating Liens permitted by Section 6.02 (including covenants with respect to the Designated Obligations or Designated Indebtedness Holders under (and, in each case, as defined in) the Security Documents) prohibiting further Liens on the assets encumbered thereby; (c) (i) customary restrictions contained in leases, subleases, licenses or asset sale agreements otherwise not prohibited hereby so long as such restrictions relate solely to the assets subject thereto, (ii) customary provisions restricting subletting or assignment of any lease governing a leasehold interest of the Borrower or any of its Subsidiaries, (iii) customary provisions restricting assignment of any agreement entered into in the ordinary course of business, (iv) customary provisions restricting the creation of Liens on assets subject to any asset sale permitted under Section 6.03 or (v) customary provisions for the transfer of an asset pending the close of the sale of such asset; (d) any such agreement with a financier to an Excluded Asset that imposes such restrictions only on ownership and economic interests in such Excluded Asset; (e) any such agreement that imposes restrictions on investments or other interests in Financing Subsidiaries or Foreign Subsidiaries (but no other assets of any Obligor); (f) any such agreement that imposes restrictions on Liens in Joint Venture Investments (solely to the extent such restrictions relate to Joint Venture Investments); (g) any other agreement that does not restrict in any manner (directly or indirectly) Liens created pursuant to the Loan Documents on any Collateral securing the “Secured Obligations” under and as defined in the Guarantee and Security Agreement and does not require (other than pursuant to a grant of a Lien under the Loan Documents) the direct or indirect granting of any Lien securing any Indebtedness or other obligation (other than such “Secured Obligations”) by virtue of the granting of Liens on or pledge of property of any Obligor to secure the obligations in respect of the Loans or any HedgingSwap Agreement secured under the Guarantee and Security Agreement; (h) for the avoidance of doubt, any such document, agreement or instrument that imposes customary restrictions on any Equity Interests or Portfolio Investments; and (i) the underlying governing agreements of any equity interest that impose such restrictions only on such equity interests. Modifications of Longer-Term Indebtedness Documents. The Borrower will not, and will not permit any other Obligor to, consent to any modification, supplement or waiver of:any of the 163 Revolving Credit and Term Loan Agreement


 
provisions of any agreement, instrument or other document evidencing or relating to any Secured Longer-Term Indebtedness or Unsecured Longer-Term Indebtedness that would result in such Indebtedness not meeting the requirements of the definition of “Secured Longer-Term Indebtedness” and “Unsecured Longer-Term Indebtedness”, as applicable, set forth in Section 1.01 of this Agreement, unless (i) in the case of Secured Longer-Term Indebtedness, such Indebtedness would have been permitted to be incurred as Secured Shorter-Term Indebtedness or Unsecured Longer-Term Indebtedness at the time of such modification, supplement or waiver and the Borrower so designates such Indebtedness as “Secured Shorter-Term Indebtedness” or “Unsecured Longer-Term Indebtedness” (whereupon such Indebtedness shall be deemed to constitute “Secured Shorter-Term Indebtedness” or “Unsecured Longer-Term Indebtedness” for all purposes of this Agreement) and (ii) in the case of Unsecured Longer-Term Indebtedness, such Indebtedness would have been permitted to be incurred as Unsecured Shorter-Term Indebtedness or Secured Longer-Term Indebtedness at the time of such modification, supplement or waiver and the Borrower so designates such Indebtedness as “Unsecured Shorter-Term Indebtedness” or “Secured Longer-Term Indebtedness” (whereupon such Indebtedness shall be deemed to constitute “Unsecured Shorter-Term Indebtedness” or “Secured Longer-Term Indebtedness” for all purposes of this Agreement); (b) any of the Affiliate Agreements (other than the Permitted Advisor Loan), unless such modification, supplement or waiver is not materially less favorable to the Borrower than could be obtained on an arm’s-length basis from unrelated third parties, in each case, without the prior consent of the Administrative Agent (with the approval of the Required Lenders); or (c) the Permitted Advisor Loan, unless such modification, supplement or waiver is not material and adverse to the interests and rights of the Administrative Agent, the Collateral Agent, the Issuing Banks or the Lenders hereunder. Without limiting the foregoing, the Borrower may, at any time and from time to time, without the consent of the Administrative Agent or the Required Lenders, freely amend, restate, terminate, or otherwise modify any documents, instruments and agreements evidencing, securing or relating to Indebtedness permitted pursuant to Section 6.01(e), including increases in the principal amount thereof, modifications to the advance rates and/or modifications to the interest rate, fees or other pricing terms so long as following any such action such Indebtedness continues to be permitted under Section 6.01(e). SECTION 6.12. Payments of Longer-Term Indebtedness. The Borrower will not, nor will it permit any of the Subsidiary Guarantors to, purchase, redeem, retire or otherwise acquire for value, or set apart any money for a sinking, defeasance or other analogous fund for the purchase, redemption, retirement or other acquisition of or make any voluntary payment or prepayment of the principal of or interest on, or any other amount owing in respect of, any Secured Longer-Term Indebtedness, Unsecured Longer-Term Indebtedness, Special Unsecured Indebtedness, (other than (x) payments and prepayments under any Permitted Advisor Loan or (y) the refinancing of Secured Longer-Term Indebtedness, Unsecured Longer-Term Indebtedness, Special Unsecured Indebtedness, or such other Indebtedness with Indebtedness permitted under Section 6.01 (including, for the avoidance of doubt, as incurred by an Excluded 164 Revolving Credit and Term Loan Agreement


 
Asset or other Subsidiary) or with the proceeds of any issuance of Equity Interests of the Borrower or any of its Subsidiaries), except for:regularly scheduled payments, prepayments or redemptions of principal and interest in respect thereof required pursuant to the instruments evidencing such Indebtedness and the payment when due of the types of fees and expenses that are customarily paid in connection with such Indebtedness (it being understood that: (w) the conversion features into Permitted Equity Interests under Permitted Convertible Indebtedness; (x) the triggering of such conversion and/or settlement thereof solely with Permitted Equity Interests; (y) any cash payment on account of interest or expenses on such Permitted Convertible Indebtedness (or any cash payment on account of fractional shares issued upon conversion provisions of such Permitted Convertible Indebtedness) made by the Borrower or any of its Subsidiaries in respect of such triggering and/or settlement thereof and (z) for the avoidance of doubt, any customary mandatory prepayment provisions required by the terms thereof, shall be permitted under this clause (a)); (b) so long as no Default or Event of Default shall exist or be continuing, any payment, prepayment, retirement, repurchase, acquisition or redemption that, if it were deemed to be a Restricted Payment for purposes of Section 6.05, would be permitted to be made pursuant to the provisions set forth in Section 6.05(d); (c) (x) other payments, purchases, redemptions, retirements, acquisitions or prepayments of Secured Longer-Term Indebtedness, Unsecured Longer-Term Indebtedness or Special Unsecured Indebtedness (other than any payment or prepayment of any Permitted Advisor Loan) solely from the proceeds of any issuance of Equity Interests, so long as both before and after giving effect to such voluntary payment or prepayment, and upon giving pro forma effect thereto, (i) the Covered Debt Amount does not exceed 90% of the Adjusted Gross Borrowing Base and (ii) no Default or Event of Default shall exist or be continuing; and (y) other payments or prepayments with respect to any Permitted Advisor Loan, so long as (i) at the time of and immediately after giving effect to such payment or prepayment, as applicable, and any Concurrent Transactions, no Default or Event of Default shall have occurred and be continuing and (ii) the Adjusted Gross Borrowing Base immediately after giving effect to such payment or prepayment, as applicable, is at least 115% of the Covered Debt Amount; (d) mandatory payments, required prepayments, retirements, or mandatory redemptions of any convertible notes constituting Unsecured Longer-Term Indebtedness (other than any Permitted Advisor Loan) or Special Unsecured Indebtedness in Cash (including any cash payment elected to be paid in connection with the settlement by the Borrower of any conversion at the option of any holder of such convertible notes pursuant to the conversion features thereunder), so long as both before and after giving effect to such payment, and upon giving pro forma effect thereto and to any Concurrent Transaction, (i) no Event of Default shall exist or be continuing and (ii) the Covered Debt Amount does not exceed the Borrowing Base; (e) Voluntaryvoluntary payments or prepayments of Secured Longer-Term Indebtedness, so long as both before and after giving effect to such voluntary payment or prepayment and any Concurrent Transaction, and upon giving pro forma effect thereto and to any Concurrent Transaction (i) the Borrower is in pro forma compliance with the financial 165 Revolving Credit and Term Loan Agreement


 
covenant set forth in Section 6.07(c), (ii) the Covered Debt Amount does not exceed the Borrowing Base, and (iii) no Default shall exist or be continuing; (f) [reserved]; (g) [reserved]; and (h) payments, purchases, redemptions, retirements, acquisitions or prepayments required to comply with the requirements of Section 2.10(c). SECTION 6.13. Accounting Changes. The Borrower will not, nor will it permit any of its Subsidiaries to, make any change in (a) accounting policies or reporting practices, except as permitted under GAAP or required by law or rule or regulation of any Governmental Authority, or (b) its fiscal year. ARTICLE VII EVENTS OF DEFAULT If any of the following events (each, an “Event of Default”) shall occur and be continuing: (a) the Borrower shall (i) fail to pay any principal of any Loan or any reimbursement obligation in respect of any LC Disbursement when and as the same shall become due and payable, whether at the due date thereof or at a date fixed for prepayment thereof or otherwise (including, for the avoidance of doubt, any failure to pay all principal on the Loans in full on the Final Maturity Date) or (ii) fail to deposit any amount into the Letter of Credit Collateral Account as required by Section 2.09(a) on the Revolving Commitment Termination Date; (b) the Borrower shall fail to pay any interest on any Loan or any fee or any other amount (other than an amount referred to in clause (a) of this Article VII) payable under this Agreement or under any other Loan Document, when and as the same shall become due and payable, and such failure shall continue unremedied for a period of three (3) or more Business Days; (c) any representation, warranty or certification made or deemed made by or on behalf of the Borrower or any of its Subsidiaries in or in connection with this Agreement or any other Loan Document or any amendment or modification hereof or thereof, or in any report, certificate, financial statement or other document furnished pursuant to or in connection with this Agreement or any other Loan Document or any amendment or modification hereof or thereof, shall prove to have been incorrect when made or deemed made in any material respect as of the date on which such representation or warranty is made or deemed made, or when furnished, and if susceptible to cure, the failure of such representation or warranty to be true and accurate in any material respects, or the adverse effect of the failure of such representation or warranty shall not have been cured within thirty (30) days after the earlier of (i) written notice thereof by the 166 Revolving Credit and Term Loan Agreement


 
Administrative Agent (given at the request of any Lender) to the Borrower and (ii) knowledge thereof by a Responsible Officer of the Borrower; (d) the Borrower shall fail to observe or perform any covenant, condition or agreement contained in (i) Section 5.03 (with respect to the Borrower’s existence) or Sections 5.08(a) and (b), Section 5.09, or in Article VI or any Obligor shall default in the performance of any of its obligations contained in Section 3 of the Guarantee and Security Agreement (subject to the cure period specified in clause (b) above) and, except as set forth in the proviso below, Section 7 of the Guarantee and Security Agreement or (ii) Sections 5.01(e), (f) or (g) or Section 5.02 and such failure, in the case of this clause (ii), shall continue unremedied for a period of five (5) or more Business Days after the earlier of (i) written notice thereof by the Administrative Agent (given at the request of any Lender) to the Borrower and (ii) knowledge thereof by a Responsible Officer of the Borrower; provided that the failure of an Obligor to “Deliver” (as defined in the Guarantee and Security Agreement) any particular Portfolio Investment to the extent required by Section 7.01 of the Guarantee and Security Agreement shall result in such Portfolio Investment not being included in the Borrowing Base but shall not (in and of itself) be, or result in, a Default or an Event of Default; (e) a Borrowing Base Deficiency shall occur and continue unremedied for a period of five or more Business Days after delivery of a Borrowing Base Certificate demonstrating such Borrowing Base Deficiency pursuant to Section 5.01(e); provided that, it shall not be an Event of Default hereunder if the Borrower shall present the Administrative Agent with a reasonably feasible plan to enable such Borrowing Base Deficiency to be cured within thirty (30) Business Days (which thirty (30) Business Day period shall include the five Business Days permitted for delivery of such plan), so long as such Borrowing Base Deficiency is cured within such 30-Business Day period; provided, further, that such thirty (30) Business Day period shall be extended to a forty-five (45) Business Day period solely to the extent as provided in Section 2.10(c)(i) in order to cure any failure to satisfy Section 5.13(j); (f) the Borrower or any other Obligor, as applicable, shall fail to observe or perform any covenant, condition or agreement contained in this Agreement (other than those specified in clause (a), (b), (d), (e) or (r) of this Article VII) or any other Loan Document and such failure shall continue unremedied for a period of thirty (30) or more days after the earlier of (i) written notice thereof given by the Administrative Agent (given at the request of any Lender) to the Borrower and (ii) knowledge thereof by a Responsible Officer of the Borrower; (g) the Borrower or any of its Subsidiaries shall fail to make any payment (whether of principal or interest and regardless of amount) in respect of any Material Indebtedness, when and as the same shall become due and payable, taking into account any applicable grace period; (h) any event or condition occurs that (i) results in any Material Indebtedness becoming due prior to its scheduled maturity or (ii) shall continue unremedied for any applicable period of time sufficient to enable or permit the holder or holders of any Material Indebtedness or any trustee or agent on its or their behalf to, as a result of an event of default under such Material Indebtedness, cause any Material Indebtedness to become due, or to require the prepayment, repurchase, redemption or defeasance thereof, prior to its scheduled maturity (for 167 Revolving Credit and Term Loan Agreement


 
the avoidance of doubt, other than as permitted under Section 6.12 and that is not a result of a breach, default or other violation or failure in respect of such Material Indebtedness by the Borrower or any Subsidiary) after giving effect to any applicable grace period), unless, in the case of this clause (ii), such event or condition is no longer continuing or has been waived in accordance with the terms of such Material Indebtedness such that the holder or holders thereof or any trustee or agent on its or their behalf are no longer enabled or permitted to cause such Material Indebtedness to become due, or to require the prepayment, repurchase, redemption or defeasance thereof, prior to its scheduled maturity; provided that this clause (h) shall not apply to (1) secured Indebtedness that becomes due as a result of the voluntary sale or transfer of the property or assets securing such Indebtedness; (2) convertible debt that becomes due as a result of a conversion or redemption event, other than to the extent it becomes due or is paid in cash (other than interest, expenses or fractional shares, which may be paid in cash in accordance with conversion provisions of convertible indebtedness) as a result of an “event of default” (as defined in the documents governing such convertible Material Indebtedness); (3) for the avoidance of doubt, Other Covered Indebtedness to the extent of required prepayment, repurchase, redemption or defeasance effected pursuant to Section 2.10(c); or (4) in the case of clause (h)(ii), any Indebtedness of a Financing Subsidiary to the extent the event or condition giving rise to the circumstances in clause (h)(ii) was not a payment or insolvency default; (i) an involuntary proceeding shall be commenced or an involuntary petition shall be filed seeking (i) liquidation, reorganization or other relief in respect of the Borrower or any of its Subsidiaries (other than Immaterial Subsidiaries) or its debts, or of a substantial part of its assets, under any Federal, state or foreign bankruptcy, insolvency, receivership or similar law now or hereafter in effect or (ii) the appointment of a receiver, trustee, custodian, sequestrator, conservator or similar official for the Borrower or any of its Subsidiaries (other than Immaterial Subsidiaries) or for a substantial part of its assets, and, in any such case, such proceeding or petition shall continue undismissed and unstayed for a period of sixty (60) or more days or an order or decree approving or ordering any of the foregoing shall be entered; (j) the Borrower or any of its Subsidiaries (other than Immaterial Subsidiaries) shall (i) voluntarily commence any proceeding or file any petition seeking liquidation, reorganization or other relief under any Federal, state or foreign bankruptcy, insolvency, receivership or similar law now or hereafter in effect, (ii) consent to the institution of, or fail to contest in a timely and appropriate manner, any proceeding or petition described in clause (i) of this Article VII, (iii) apply for or consent to the appointment of a receiver, trustee, custodian, sequestrator, conservator or similar official for the Borrower or any of its Subsidiaries (other than Immaterial Subsidiaries) or for a substantial part of its assets, (iv) file an answer admitting the material allegations of a petition filed against it in any such proceeding, (v) make a general assignment for the benefit of creditors or (vi) take any action for the purpose of effecting any of the foregoing; (k) the Borrower or any of its Subsidiaries (other than Immaterial Subsidiaries) shall become unable, admit in writing its inability or fail generally to pay its debts as they become due; (l) one or more judgments for the payment of money in an aggregate amount in excess of $50,000,000 shall be rendered against the Borrower or any of its Subsidiaries (other 168 Revolving Credit and Term Loan Agreement


 
than Immaterial Subsidiaries) or any combination thereof and the same shall remain undischarged for a period of thirty (30) consecutive days following the entry of such judgment during which thirty (30) day period such judgment shall not have been vacated, stayed, discharged or bonded pending appeal, or liability for such judgment amount shall not have been admitted by an insurer or reputable standing or execution shall not be effectively stayed, or any action shall be legally taken by a judgment creditor to attach or levy upon any assets of the Borrower or any of its Subsidiaries (other than Immaterial Subsidiaries) to enforce any such judgment; (m) an ERISA Event shall have occurred that, when taken together with all other ERISA Events that have occurred, could reasonably be expected to result in a Material Adverse Effect; (n) a Change in Control shall occur; (o) the Liens created by the Security Documents shall, at any time with respect to Portfolio Investments in the Collateral having an aggregate Value in excess of 5% of the aggregate Value of all Portfolio Investments in the Collateral, not be valid and perfected (to the extent perfection by filing, registration, recordation, possession or control is required herein or therein) in favor of the Collateral Agent, free and clear of all other Liens (other than Liens permitted under Section 6.02 or under the respective Security Documents) except to the extent that any such loss of perfection results from the failure of the Collateral Agent to maintain possession of the certificates representing the securities pledged under the Loan Documents; provided that, if such default is as a result of any action of the Administrative Agent or the Collateral Agent or a failure of the Administrative Agent or Collateral Agent to take any action within their control, then there shall be no Default or Event of Default hereunder unless such default shall continue unremedied for a period of 10 consecutive Business Days after such Borrower receives written notice of such default thereof from the Administrative Agent unless the continuance thereof is a result of a failure of the Administrative Agent or the Collateral Agent to take an action within their control; (p) except for expiration or termination in accordance with its terms, any of the Loan Documents shall for whatever reason be terminated or cease to be in full force and effect in any material respect, or the enforceability thereof shall be contested by the Borrower or any other Obligor; or (q) the Obligors shall at any time, without the consent of the Required Lenders fail to comply with the covenant contained in Section 5.11, and such failure shall continue unremedied for a period of thirty (30) or more days after the earlier of (i) written notice thereof given by the Administrative Agent (given at the request of any Lender) to the Borrower and (ii) knowledge thereof by a Responsible Officer of the Borrower; then, and in every such event (other than an event with respect to the Borrower described in clause (i) or (j) of this Article VII), and at any time thereafter during the continuance of such event, the Administrative Agent may, and at the request of the Required Lenders shall, by notice to the Borrower, take either or both of the following actions, at the same or different times: (i) terminate the Commitments, and thereupon the Commitments shall terminate immediately, 169 Revolving Credit and Term Loan Agreement


 
and (ii) declare the Loans then outstanding to be due and payable in whole (or in part, in which case any principal not so declared to be due and payable may thereafter be declared to be due and payable), and thereupon the principal of the Loans so declared to be due and payable, together with accrued interest thereon and all fees and other obligations of the Borrower accrued hereunder and under the other Loan Documents, shall become due and payable immediately, without presentment, demand, protest or other notice of any kind, all of which are hereby waived by the Borrower; and in case of any event with respect to the Borrower described in clause (i) or (j) of this Article VII, the Commitments shall automatically terminate and the principal of the Loans then outstanding, together with accrued interest thereon and all fees and other obligations of the Borrower accrued hereunder and under the other Loan Documents, shall automatically become due and payable, without presentment, demand, protest or other notice of any kind, all of which are hereby waived by the Borrower. In the event that the Loans shall be declared, or shall become, due and payable pursuant to the immediately preceding paragraph then, upon notice from the Administrative Agent or Revolving Lenders with LC Exposure representing more than 50% of the total LC Exposure demanding the deposit of Cash Collateral pursuant to this paragraph, the Borrower shall promptly, but in any event within three (3) Business Days, deposit into the Letter of Credit Collateral Account cash in an amount equal to the LC Exposure as of such date plus any accrued and unpaid interest thereon; provided that the obligation to deposit such cash shall become effective immediately, and such deposit shall become immediately due and payable, without demand or other notice of any kind, upon the occurrence of any Event of Default with respect to the Borrower described in clause (i) or (j) of this Article VII. ARTICLE VIII THE ADMINISTRATIVE AGENT SECTION 8.01. Appointment of the Administrative Agent. Each of the Lenders and the Issuing Banks hereby irrevocably appoints the Administrative Agent as its agent hereunder and under the other Loan Documents and authorizes the Administrative Agent to take such actions on its behalf and to exercise such powers as are delegated to the Administrative Agent by the terms hereof or thereof, together with such actions and powers as are reasonably incidental thereto. Each of the Lenders and the Issuing Banks hereby irrevocably appoints the Collateral Agent as its agent hereunder and under the other Loan Documents and authorizes the Collateral Agent to take such actions on its behalf and to exercise such powers as are delegated to the Collateral Agent by the terms hereof or thereof (including Section 9 of the Guarantee and Security Agreement), and to take such actions on its behalf and to exercise such powers as are delegated to the Collateral Agent by the terms hereof or thereof, together with such actions and powers as are reasonably incidental thereto. The Collateral Agent shall be a third-party beneficiary of this Section 8.01 and shall have all of the rights, benefits and privileges of a third-party beneficiary, including an independent right of action to enforce such rights, benefits and privileges directly, without the consent or joinder of any other Person. Capacity as Lender. The Person serving as the Administrative Agent hereunder shall have the same rights and powers in its capacity as a Lender as any other Lender and may exercise the same as though it were not the Administrative Agent, and such Person and its Affiliates may accept deposits from, lend money to and generally engage in any kind of business with the Borrower or any Subsidiary or 170 Revolving Credit and Term Loan Agreement


 
other Affiliate thereof as if it were not the Administrative Agent hereunder. Limitation of Duties; Exculpation. The Administrative Agent shall not have any duties or obligations except those expressly set forth herein and in the other Loan Documents. Without limiting the generality of the foregoing, (a) the Administrative Agent shall not be subject to any fiduciary or other implied duties, regardless of whether a Default has occurred and is continuing, (b) the Administrative Agent shall not have any duty to take any discretionary action or exercise any discretionary powers, except discretionary rights and powers expressly contemplated hereby or by the other Loan Documents that the Administrative Agent is required to exercise in writing by the Required Lenders, and (c) except as expressly set forth herein and in the other Loan Documents, the Administrative Agent shall not have any duty to disclose, and shall not be liable for the failure to disclose, any information relating to the Borrower or any of its Subsidiaries that is communicated to or obtained by the bank serving as the Administrative Agent or any of its Affiliates in any capacity. The Administrative Agent shall not be liable to any Lender or the Issuing Bank for any action taken or not taken by it with the consent or at the request of the Required Lenders (or such other number or percentage of the Lenders as shall be expressly provided for herein or in the other Loan Documents) or in the absence of its own gross negligence or willful misconduct. The Administrative Agent shall be deemed not to have knowledge of any Default unless and until written notice thereof is given to the Administrative Agent by the Borrower or a Lender, and the Administrative Agent shall not be responsible for or have any duty to ascertain or inquire into (i) any statement, warranty or representation made in or in connection with this Agreement or any other Loan Document, (ii) the contents of any certificate, report or other document delivered hereunder or thereunder or in connection herewith or therewith, (iii) the performance or observance of any of the covenants, agreements or other terms or conditions set forth herein or therein, (iv) the validity, enforceability, effectiveness or genuineness of this Agreement, any other Loan Document or any other agreement, instrument or document, or (v) the satisfaction of any condition set forth in Article IV or elsewhere herein or therein, other than to confirm receipt of items expressly required to be delivered to the Administrative Agent. Reliance. The Administrative Agent shall be entitled to rely upon, and shall not incur any liability for relying upon, any notice, request, certificate, consent, statement, instrument, document or other writing (including any electronic message, Internet or intranet website posting or other distribution) believed by it to be genuine and to have been signed or sent by the proper Person. The Administrative Agent also may rely upon any statement made to it orally or by telephone and believed by it to be made by the proper Person, and shall not incur any liability for relying thereon. The Administrative Agent may consult with legal counsel (who may be counsel for the Borrower), independent accountants and other experts selected by it, and shall not be liable for any action taken or not taken by it in accordance with the advice of any such counsel, accountants or experts. Sub-Agents. The Administrative Agent may perform any and all of its duties and exercise its rights and powers by or through any one or more sub-agents appointed by the Administrative Agent. The Administrative Agent and any such sub-agent may perform any and all of its duties and exercise its rights and powers through their respective Related Parties. The exculpatory provisions of the preceding paragraphs shall apply to any such sub-agent and to the Related Parties of the Administrative Agent and any such sub-agent, and shall apply to their respective activities in connection with the syndication of the credit facility provided for herein as well as activities as the Administrative Agent. The Administrative Agent shall not be responsible for the negligence or misconduct of any sub-agents except to the extent that a court of competent jurisdiction determines in a final and non-appealable judgment that the 171 Revolving Credit and Term Loan Agreement


 
Administrative Agent acted with fraud, gross negligence or willful misconduct in the selection of such sub-agents. Resignation; Successor Administrative Agent. The Administrative Agent may resign at any time by providing not less than thirty (30) days advance written notice to the Lenders, the Issuing Banks and the Borrower. Upon any such resignation, the Required Lenders shall have the right, with the consent of the Borrower not to be unreasonably withheld or delayed (or, if an Event of Default has occurred and is continuing in consultation with the Borrower), to appoint a successor which is not a natural person, a Defaulting Lender or a Competitor. If no successor shall have been so appointed by the Required Lenders and shall have accepted such appointment within thirty (30) days after the retiring Administrative Agent gives notice of its resignation, then the retiring Administrative Agent’s resignation shall nonetheless become effective at the end of such thirty (30) days period (except that in the case of any collateral security held by the Administrative Agent on behalf of the Lenders or the Issuing Banks under any of the Loan Documents, the retiring or removed Administrative Agent shall continue to hold such collateral security until such time as a successor Administrative Agent is appointed) and (1) the retiring Administrative Agent shall be discharged from its duties and obligations hereunder and (2) the Required Lenders shall perform the duties of the Administrative Agent (and all payments and communications provided to be made by, to or through the Administrative Agent shall instead be made by or to each Lender directly) until such time as the Required Lenders appoint a successor agent as provided for above in this paragraph. Upon the acceptance of its appointment as Administrative Agent hereunder by a successor, such successor shall succeed to and become vested with all the rights, powers, privileges and duties of the retiring (or retired) Administrative Agent and the retiring Administrative Agent shall be discharged from its duties and obligations hereunder (if not already discharged therefrom as provided above in this paragraph). The fees payable by the Borrower to a successor Administrative Agent shall be the same as those payable to its predecessor unless otherwise agreed between the Borrower and such successor. After the Administrative Agent’s resignation hereunder, the provisions of this Article VIII and Section 9.03 shall continue in effect for its benefit in respect of any actions taken or omitted to be taken by it while it was acting as Administrative Agent.Any resignation by SMBC as Administrative Agent pursuant to this Section 8.06 shall also constitute its resignation as an Issuing Bank and a Swingline Lender. Upon the acceptance of a successor’s appointment as Administrative Agent hereunder, (a) such successor shall succeed to and become vested with all of the rights, powers, privileges and duties of the retiring Issuing Bank and Swingline Lender, (b) the retiring Issuing Bank and Swingline Lender shall be discharged from all of their respective duties and obligations hereunder or under the other Loan Documents, and (c) the successor Issuing Bank shall issue letters of credit in substitution for the Letters of Credit, if any, outstanding at the time of such succession or make other arrangements satisfactory to the retiring Issuing Bank to effectively assume the obligations of the retiring Issuing Bank with respect to such Letters of Credit. SECTION 8.07. Reliance by Lenders. Each Lender acknowledges that it has, independently and without reliance upon the Administrative Agent or any other Lender and based on such documents and information as it has deemed appropriate, made its own credit analysis and decision to enter into this Agreement. Each Lender also acknowledges that it will, independently and without reliance upon the Administrative Agent or any other Lender and based on such documents and information as it shall from time to time deem appropriate, continue to make its own decisions in taking or not taking action under or based upon this Agreement, any other Loan Document or any related agreement or any document furnished 172 Revolving Credit and Term Loan Agreement


 
hereunder or thereunder. The Administrative Agent shall have no duty or responsibility, either initially or on a continuing basis, to make any such investigation or any such appraisal on behalf of Lenders or to provide any Lender with any credit or other information with respect thereto, whether coming into its possession before the making of the Loans or at any time or times thereafter, and the Administrative Agent shall have no responsibility with respect to the accuracy of or the completeness of any information provided to Lenders.Each Lender, by delivering its signature page to this Agreement or any Assignment and Assumption and funding any Loan shall be deemed to have acknowledged receipt of, and consented to and approved, each Loan Document and each other document required to be approved by the Administrative Agent, Required Lenders or Lenders. SECTION 8.08. Modifications to Loan Documents. Except as otherwise provided in Section 2.20 or Section 9.02(b) or (c) of this Agreement or the Security Documents with respect to this Agreement, the Administrative Agent may, with the prior consent of the Required Lenders (but not otherwise), consent to any modification, supplement or waiver under any of the Loan Documents; provided that, without the prior consent of each Lender, the Administrative Agent shall not (except as provided herein or in the Security Documents) release all or substantially all of the Collateral or otherwise terminate all or substantially all of the Liens under any Security Document providing for collateral security, agree to additional obligations being secured by all or substantially all of such collateral security (except in connection with securing additional obligations equally and ratably with the Loans and other obligations hereunder in accordance with the Guarantee and Security Agreement), or alter the relative priorities of the obligations entitled to the benefits of the Liens created under the Security Documents with respect to all or substantially all of the Collateral, except that no such consent shall be required, and the Administrative Agent is hereby authorized, (i) to release any Subsidiary Guarantor (and any property of such Subsidiary Guarantor) from its guarantee obligations to the extent it may be released in accordance with Section 10.03 of the Guarantee and Security Agreement, (ii) to release any Lien covering property that is the subject of either a Disposition of property not prohibited hereunder or a Disposition to which the Required Lenders have consented, (iii) release from any Guarantee and Security Agreement any “Subsidiary Guarantor” (and any property of such Subsidiary Guarantor) that is designated as an “SPE Subsidiary” by the Borrower or becomes an Excluded Asset or an Immaterial Subsidiary in accordance with this Agreement and the Guarantee and Security Agreement or which is no longer required to be a “Subsidiary Guarantor” pursuant to this Agreement or the Guarantee and Security Agreement, (iv) for the avoidance of doubt, execute and deliver agreements, instruments and other documents reasonably requested by the Borrower to implement collateral sharing with respect to Secured Longer-Term Indebtedness and Secured Shorter-Term Indebtedness, (v) following the (a) cancellation, expiration or termination of any commitment to extend credit or issue Letters of Credit under this Agreement or any other Loan Document, (b) final payment in full of all principal of and interest on each Loan, any LC Disbursements, any fees and any other amounts then due and owing under this Agreement or any other Loan Document and (c) termination of this Agreement, to release all Liens and guarantees by Obligors, and (vi) to allocate the Liens created under the Security Documents to any Designated Indebtedness Obligations or Hedging Agreement Obligations (as such terms are defined in the Guarantee and Security agreement) in accordance with the Guarantee and Security Agreement. Erroneous Payments. 173 Revolving Credit and Term Loan Agreement


 
(a) If the Administrative Agent notifies a Lender, an Issuing Bank or an Indemnitee, or any Person who has received funds on behalf of a Lender, an Issuing Bank or an Indemnitee (any such Lender, Issuing Bank, Indemnitee or other recipient, a “Payment Recipient”), that the Administrative Agent has determined in its sole discretion (whether or not after receipt of any notice under immediately succeeding clause (b)) that any funds received by such Payment Recipient from the Administrative Agent or any of its Affiliates were erroneously transmitted to, or otherwise erroneously or mistakenly received by, such Payment Recipient (whether or not known to such Lender, Issuing Bank, Indemnitee or other Payment Recipient on its behalf) (any such funds, whether transmitted or received as a payment, prepayment or repayment of principal, interest, fees, distribution or otherwise, individually and collectively, an “Erroneous Payment”) and demands, in writing, the return of such Erroneous Payment (or a portion thereof), such Erroneous Payment shall at all times remain the property of the Administrative Agent and shall be segregated by the Payment Recipient and held in trust for the benefit of the Administrative Agent, and such Lender, Issuing Bank or Indemnitee shall (or, with respect to any Payment Recipient who received such funds on its behalf, shall cause such Payment Recipient to) promptly, but in no event later than two (2) Business Days thereafter, return to the Administrative Agent the amount of any such Erroneous Payment (or portion thereof) as to which such a demand was made, in same day funds (in the currency so received), together with interest thereon in respect of each day from and including the date such Erroneous Payment (or portion thereof) was received by such Payment Recipient to the date such amount is repaid to the Administrative Agent in same day funds at the greater of the Federal Funds Effective Rate and a rate determined by the Administrative Agent in accordance with banking industry rules on interbank compensation from time to time in effect. A notice of the Administrative Agent to any Payment Recipient under this clause (a) shall be conclusive, absent manifest error. (b) Without limiting the immediately preceding clause (a), each Lender, Issuing Bank or Indemnitee, or any Person who has received funds on behalf of a Lender, Issuing Bank or Indemnitee, hereby further agrees that if it receives a payment, prepayment or repayment (whether received as a payment, prepayment or repayment of principal, interest, fees, distribution or otherwise) from the Administrative Agent (or any of its Affiliates) (x) that is in a different amount than, or on a different date from, that specified in a notice of payment, prepayment or repayment sent by the Administrative Agent (or any of its Affiliates) with respect to such payment, prepayment or repayment, (y) that was not preceded or accompanied by a notice of payment, prepayment or repayment sent by the Administrative Agent (or any of its Affiliates), or (z) that such Lender, Issuing Bank or Indemnitee, or other such recipient, otherwise becomes aware was transmitted, or received, in error or by mistake (in whole or in part) in each case: (i) (A) in the case of immediately preceding clause (x) or (y), an error shall be presumed to have been made (absent written confirmation from the Administrative Agent to the contrary) or (B) an error has been made (in the case of immediately preceding clause (z)), in each case, with respect to such payment, prepayment or repayment; and (ii) such Lender, Issuing Bank or Indemnitee shall (and shall cause any other recipient that receives funds on its respective behalf to) promptly (and, in all events, within one Business Day of its knowledge of such error) notify the 174 Revolving Credit and Term Loan Agreement


 
Administrative Agent of its receipt of such payment, prepayment or repayment, the details thereof (in reasonable detail) and that it is so notifying the Administrative Agent pursuant to this Section 8.09(b). (c) Each Lender, Issuing Bank and Indemnitee hereby authorizes the Administrative Agent to set off, net and apply any and all amounts at any time owing to such Lender, Issuing Bank or Indemnitee under any Loan Document, or otherwise payable or distributable by the Administrative Agent to such Lender, Issuing Bank or Indemnitee from any source, against any amount due to the Administrative Agent under clause (a) above or under the indemnification provisions of this Agreement. (d) In the event that an Erroneous Payment (or portion thereof) is not recovered by the Administrative Agent for any reason, after demand therefor by the Administrative Agent in accordance with clause (a) above, from any Lender or Issuing Bank that has received such Erroneous Payment (or portion thereof) (and/or from any Payment Recipient who received such Erroneous Payment (or portion thereof) on its respective behalf) (such unrecovered amount, an “Erroneous Payment Return Deficiency”), upon the Administrative Agent’s notice to such Lender or Issuing Bank at any time, (i) such Lender or Issuing Bank shall be deemed to have assigned its Loans (but not its Commitments) of the relevant Class with respect to which such Erroneous Payment was made (the “Erroneous Payment Impacted Class”) in an amount equal to the Erroneous Payment Return Deficiency (or such lesser amount as the Administrative Agent may specify) (such assignment of the Loans (but not Commitments) of the Erroneous Payment Impacted Class, the “Erroneous Payment Deficiency Assignment”) at par plus any accrued and unpaid interest (with the assignment fee to be waived by the Administrative Agent in such instance), and is hereby (together with the Borrower) deemed to execute and deliver an Assignment and Assumption (or, to the extent applicable, an agreement incorporating an Assignment and Assumption by reference pursuant to a Platform as to which the Administrative Agent and such parties are participants) with respect to such Erroneous Payment Deficiency Assignment, and such Lender or Issuing Bank shall deliver any notes evidencing such Loans to the Borrower or the Administrative Agent, (ii) the Administrative Agent as the assignee Lender shall be deemed to have acquired the Erroneous Payment Deficiency Assignment, (iii) upon such deemed acquisition, the Administrative Agent as the assignee Lender shall become a Lender or Issuing Bank, as applicable, hereunder with respect to such Erroneous Payment Deficiency Assignment and the assigning Lender or assigning Issuing Bank shall cease to be a Lender or Issuing Bank, as applicable, hereunder with respect to such Erroneous Payment Deficiency Assignment, excluding, for the avoidance of doubt, its obligations under the indemnification provisions of this Agreement and its applicable Commitments which shall survive as to such assigning Lender or assigning Issuing Bank and (iv) the Administrative Agent may reflect in the Register its ownership interest in the Loans subject to the Erroneous Payment Deficiency Assignment. So long as any sale of Loans complies with the terms of Section 9.04(b), the Administrative Agent may, in its discretion, sell any Loans acquired pursuant to an Erroneous Payment Deficiency Assignment and upon receipt of the proceeds of such sale, the Erroneous Payment Return Deficiency owing by the applicable Lender or Issuing Bank shall be reduced by the net proceeds of the sale of such Loan (or portion thereof), and the Administrative Agent shall retain all other rights, remedies and claims against such Lender or Issuing Bank (and/or against any recipient that receives funds on its respective behalf). For the avoidance of doubt, no Erroneous Payment Deficiency Assignment will reduce the Commitments of any 175 Revolving Credit and Term Loan Agreement


 
Lender or Issuing Bank and such Commitments shall remain available in accordance with the terms of this Agreement. In addition, each party hereto agrees that, except to the extent that the Administrative Agent has sold a Loan (or portion thereof) acquired pursuant to an Erroneous Payment Deficiency Assignment, and irrespective of whether the Administrative Agent may be equitably subrogated, the Administrative Agent shall be contractually subrogated to all the rights and interests of the applicable Lender, Issuing Bank or Indemnitee under the Loan Documents with respect to each Erroneous Payment Return Deficiency (the “Erroneous Payment Subrogation Rights”). (e) The parties hereto agree that an Erroneous Payment shall not pay, prepay, repay, discharge or otherwise satisfy any Revolving Credit Exposure or other obligations owed by the Borrower or any other Obligor; provided that this Section 8.09(e) shall not be interpreted to increase (or accelerate the due date for), or have the effect of increasing (or accelerating the due date for), the obligations of the Borrower or any other Obligor relative to the amount (and/or timing for payment) of the obligations that would have been payable had such Erroneous Payment not been made by the Administrative Agent; provided, further, that for the avoidance of doubt, this Section 8.09(e) shall not apply to the extent any such Erroneous Payment is, and solely with respect to the amount of such Erroneous Payment that is, comprised of funds received by the Administrative Agent or other applicable Secured Parties (as such term is defined in the Guarantee and Security Agreement) from the Borrower or any other Obligor for the purpose of making payment in respect of the Revolving Credit Exposure. (f) To the extent permitted by applicable law, no Payment Recipient shall assert any right or claim to an Erroneous Payment, and hereby waives, and is deemed to waive, any claim, counterclaim, defense or right of set-off or recoupment with respect to any demand, claim or counterclaim by the Administrative Agent for the return of any Erroneous Payment received, including without limitation any defense based on “discharge for value” or any similar doctrine. (g) Each party’s obligations, agreements and waivers under this Section 8.09 shall survive the resignation or replacement of the Administrative Agent, any transfer of rights or obligations by, or the replacement of, a Lender or Issuing Bank, the termination of the Commitments and/or the repayment, satisfaction or discharge of all obligations (or any portion thereof) under any Loan Document. ARTICLE IX MISCELLANEOUS SECTION 9.01. Notices; Electronic Communications. (a) Notices Generally. Except in the case of notices and other communications expressly permitted to be given by telephone, all notices and other communications provided for herein shall be in writing and shall be delivered by hand or overnight courier service, mailed by certified or registered mail or sent by telecopy or e-mail, as follows: 176 Revolving Credit and Term Loan Agreement


 
(i) if to the Borrower, to it at: Nuveen Churchill Direct Lending Corp. 430375 Park Avenue, 14th9th Floor New York, NY 1002210152 Attention: Shai Vichness Telephone: (212) 478-9238 Email: shai.vichness@churchillam.com with a copy to (which shall not constitute a notice hereunder): Dechert LLP 1095 Avenue of the Americas New York, New York 10036 Attention: Christopher Desmond Telephone: (617) 728-7170 Email: Christopher.Desmond@dechert.com (ii) if to the Administrative Agent or SMBC in its capacity as a Swingline Lender, to it at: Sumitomo Mitsui Banking Corporation 1 North Lexington Avenue White Plains, NY 10601 Attention: Melvin Laxton II Telephone: 914-872-5881 Email: Melvin_Laxton@smbcgroup.com with a copy to: Sumitomo Mitsui Banking Corporation 277 Park Avenue New York, NY 10172 Attention: Agency Services Fax: 212-224-4433 Email: agencyservices@smbcgroup.com and cmragency@smbcgroup.com with a copy to: Sumitomo Mitsui Banking Corporation 277 Park Avenue New York, NY 10172 Attention: Kevin Smith Fax: 212-224-4547 Email: kevin_smith@smbcgroup.com 177 Revolving Credit and Term Loan Agreement


 
(iii) if to SMBC, in its capacity as Issuing Bank, to it at: Sumitomo Mitsui Banking Corporation 277 Park Avenue New York, NY 10172 Attention: Trade Credit Services Fax: 212-224-4310 Email: trade_credit_svc@smbcgroup.com (iv) if to any other Lender, to it at its address (or telecopy number or e-mail) set forth in its Administrative Questionnaire. Any party hereto may change its address, e-mail or telecopy number for notices and other communications hereunder by notice to the other parties hereto. All notices and other communications given to any party hereto in accordance with the provisions of this Agreement shall be deemed to have been given on the date of receipt. Notices delivered through electronic communications to the extent provided in paragraph (b) below, shall be effective as provided in said paragraph (b). (b) Electronic Communications. Notices and other communications to the Lenders and the Issuing Banks hereunder may be delivered or furnished by electronic communication (including e-mail and Internet or intranet websites) pursuant to procedures approved by the Administrative Agent; provided that the foregoing shall not apply to notices to any Lender or any Issuing Bank pursuant to Section 2.06 if such Lender or such Issuing Bank, as applicable, has notified the Administrative Agent that it is incapable of receiving notices under such Article by electronic communication. The Administrative Agent or the Borrower may, in its discretion, agree to accept notices and other communications to it hereunder by electronic communications pursuant to procedures approved by it; provided that approval of such procedures may be limited to particular notices or communications. (i) Notices and other communications sent to an e-mail address shall be deemed received upon the sender’s receipt of an acknowledgement from the intended recipient (such as by the “return receipt requested” function, as available, return e-mail or other written acknowledgement); provided that if such notice or other communication is not sent during the normal business hours of the recipient, such notice or communication shall be deemed to have been sent at the opening of business on the next Business Day for the recipient, and (ii) notices or communications posted to an Internet or intranet website shall be deemed received upon the deemed receipt by the intended recipient at its e-mail address as described in the foregoing clause (i) of notification that such notice or communication is available and identifying the website address therefor. Each party hereto understands that the distribution of material through an electronic medium is not necessarily secure and that there are confidentiality and other risks associated with such distribution and agrees and assumes the risks associated with such electronic distribution, except to the extent caused by the willful misconduct, fraud or gross negligence of the Administrative Agent, any Lender or their respective Related Parties, as determined by a final, non-appealable judgment of a court of competent jurisdiction. The 178 Revolving Credit and Term Loan Agreement


 
Platform and any electronic communications media approved by the Administrative Agent as provided herein are provided “as is” and “as available”. None of the Administrative Agent or its Related Parties warrant the accuracy, adequacy, or completeness of such media or the Platform and each expressly disclaims liability for errors or omissions in the Platform and such media. No warranty of any kind, express, implied or statutory, including any warranty of merchantability, fitness for a particular purpose, non-infringement of third-party rights or freedom from viruses or other code defects is made by the Administrative Agent and any of its Related Parties in connection with the Platform or the electronic communications media approved by the Administrative Agent as provided for herein. (c) Private Side Information Contacts. Each Public Lender agrees to cause at least one individual at or on behalf of such Public Lender to at all times have selected the “Private Side Information” or similar designation on the content declaration screen of the Platform in order to enable such Public Lender or its delegate, in accordance with such Public Lender’s compliance procedures and applicable law, including United States federal and state securities laws, to make reference to information that is not made available through the “Public Side Information” portion of the Platform and that may contain Non-Public Information with respect to the Borrower, its Subsidiaries or their Securities for purposes of United States federal or state securities laws. In the event that any Public Lender has determined for itself to not access any information disclosed through the Platform or otherwise, such Public Lender acknowledges that (i) other Lenders may have availed themselves of such information and (ii) neither the Borrower nor the Administrative Agent has any responsibility for such Public Lender’s decision to limit the scope of the information it has obtained in connection with this Agreement and the other Loan Documents. (d) Documents to be Delivered under Sections 5.01 and 5.12. For so long as an DebtDomain or an equivalent website is available to each of the Lenders hereunder, the Borrower may satisfy its obligation to deliver documents to the Administrative Agent or the Lenders under Sections 5.01 and 5.12 by delivering either an electronic copy or a notice identifying the website where such information is located for posting by the Administrative Agent on DebtDomain or such equivalent website; provided that the Administrative Agent shall have no responsibility to maintain access to DebtDomain or an equivalent website. SECTION 9.02. Waivers; Amendments. (a) No Deemed Waivers Remedies Cumulative. No failure or delay by the Administrative Agent, any Issuing Bank or any Lender in exercising any right or power hereunder shall operate as a waiver thereof nor shall any single or partial exercise of any such right or power, or any abandonment or discontinuance of steps to enforce such a right or power, preclude any other or further exercise thereof or the exercise of any other right or power. The rights and remedies of the Administrative Agent, the Issuing Banks and the Lenders hereunder are cumulative and are not exclusive of any rights or remedies that they would otherwise have. No waiver of any provision of this Agreement or consent to any departure by the Borrower therefrom shall in any event be effective unless the same shall be permitted by paragraph (b) of this Section 9.02, and then such waiver or consent shall be effective only in the specific instance and for the purpose for which given. Without limiting the generality of the foregoing, the making of a Loan or issuance of a Letter of Credit shall not be construed as a waiver of any 179 Revolving Credit and Term Loan Agreement


 
Default, regardless of whether the Administrative Agent, any Lender or any Issuing Bank may have had notice or knowledge of such Default at the time. (b) Amendments to this Agreement. Except as provided in Section 2.20 and the definition of “Modification Offer”, neither this Agreement nor any provision hereof may be waived, amended or modified except pursuant to an agreement or agreements in writing entered into by the Borrower and the Required Lenders or by the Borrower and the Administrative Agent with the consent of the Required Lenders; provided that no such agreement shall: (i) increase the Commitment of any Lender without the written consent of such Lender, (ii) reduce the principal amount of any Loan or LC Disbursement or reduce the rate of interest thereon (other than with respect to the election of or the failure to elect the default rate in accordance with Section 2.12(d)), or reduce any fees payable hereunder, without the written consent of each Lender directly and adversely affected thereby, (iii) postpone the scheduled date of payment of the principal amount of any Loan or LC Disbursement, or any interest thereon, or any fees payable hereunder, or reduce the amount of waive or excuse any such payment, or postpone the scheduled date of expiration of any Commitment, without the written consent of each Lender directly and adversely affected thereby, (iv) change Section 2.17(b), (c) or (d) in a manner that would alter the pro rata sharing of payments required thereby without the written consent of each Lender directly and adversely affected thereby, (v) change any of the provisions of this Section 9.02 or the definition of “Required Lenders” or any other provision hereof specifying the number or percentage of Lenders required to waive, amend or modify any rights hereunder or make any determination or grant any consent hereunder, without the written consent of each Lender directly and adversely affected thereby; or (but any change to the definition of “Required Revolving Lenders” shall only require the written consent of each Lender with a Revolving Credit Exposure or Revolving Credit Commitment at such time, and any change to the definition of “Required Term Loan Lenders” shall only require the written consent of each Lender with a Term Loan Commitment or an outstanding Term Loan at such time); (vi) subject to clause (f) below, change any of the provisions of the definition of “Agreed Foreign Currencies” or any other provision specifying the Foreign Currencies in which Multicurrency Revolving Loans may be made hereunder, or make any determination or grant any consent hereunder with respect to the definition of “Agreed Foreign Currencies”, in each case, without the consent of each Multicurrency Revolving Lender; 180 Revolving Credit and Term Loan Agreement


 
(vii) amend, waive or otherwise modify any term or provision that directly affects the rights or duties of the Lenders under the Revolving Facility and does not directly affect the rights or duties of the Lenders under any Term Loan Facility, in each case, without the written consent of the Required Revolving Lenders; (viii) amend, waive or otherwise modify any term or provision that directly affects the rights or duties of the Lenders under any Term Loan Facility and does not directly affect the rights or duties of the Lenders under the Revolving Facility, in each case, without the written consent of the Required Term Loan Lenders under such Term Loan Facility; or (ix) contractually subordinate the payment priority of the Secured Obligations or contractually subordinate the Liens granted to the Collateral Agent (for the benefit of the Secured Parties) in the Collateral, without the written consent of each Lender; provided further that (x) no such agreement shall amend, modify or otherwise affect the rights or duties of the Administrative Agent or the Issuing Banks or the Swingline Lender hereunder without the prior written consent of the Administrative Agent, any Issuing Bank, or the Swingline Lender as the case may be, and (y) the consent of Lenders (other than Defaulting Lenders) holding not less than two-thirds of the Revolving Credit Exposure and unused Revolving Credit Commitments (other than of Defaulting Lenders) will be required (A) for any adverse change (from the Lenders’ perspective) affecting the provisions of this Agreement relating to the determination of the Borrowing Base (excluding changes to the provisions of Sections 5.12(b)(ii)(F) and (G), but including changes to the provisions of Section 5.12(c) and the definitions set forth in Section 5.13), and (B)z) the consent of Lenders holding not less than two-thirds of the sum of Revolving Credit Exposure, unused Revolving Credit Commitments and Terms Loans will be required for any release of any material portion of the Collateral other than for fair value or as otherwise permitted hereunder or under the other Loan Documents. In addition, whenever a waiver, amendment or modification requires the consent of a Lender “affected” thereby, such waiver, amendment or modification shall, upon consent of such Lender, become effective as to such Lender whether or not it becomes effective as to any other Lender, so long as the Required Lenders consent to such waiver, amendment or modification as provided above. Anything in this Agreement to the contrary notwithstanding, no waiver or modification of any provision of this Agreement or any other Loan Document that could reasonably be expected to adversely affect the Lenders of any Class in a manner that does not affect all Classes equally shall be effective against the Lenders of such Class unless the Required Lenders of such Class shall have concurred with such waiver or modification; provided, however, that for the avoidance of doubt, except as expressly required herein, in no other circumstances shall the concurrence of the Required Lenders of a particular Class be required for 181 Revolving Credit and Term Loan Agreement


 
any waiver, amendment or modification of any provision of this Agreement or any other Loan Document. (c) Amendments to Security Documents. Except to the extent otherwise expressly set forth in the Guarantee and Security Agreement or the other Loan Documents, no Security Document nor any provision thereof may be waived, amended or modified, nor may the Liens thereof be spread to secure any additional obligations (including any increase in Loans hereunder, but excluding any such increase pursuant to a Commitment Increase under Section 2.08(e) andor 2.08(f), any Secured Longer-Term Indebtedness or Secured Shorter-Term Indebtedness) except pursuant to an agreement or agreements in writing entered into by the Borrower, and by the Collateral Agent with the consent of the Required Lenders or the spreading of such Liens to any Hedging Agreement Obligations; provided that, except as permitted by the Loan Documents, (i) without the written consent of each Lender, no such agreement shall release all or substantially all of the Obligors from their respective obligations under the Security Documents, (ii) without the written consent of each Lender, no such agreement shall amend or waive Section 8.06 of the Guarantee and Security Agreement and (iii) without the written consent of each Lender, no such agreement shall release all or substantially all of the collateral security or otherwise terminate all or substantially all of the Liens under the Security Documents (except for fair value as otherwise permitted under the Loan Documents), alter the relative priorities of the obligations entitled to the Liens created under the Security Documents (except in connection with securing additional obligations equally and ratably with the Loans and other obligations hereunder, including any Secured Longer-Term Indebtedness or Secured Shorter-Term Indebtedness) with respect to all or substantially all of the collateral security provided thereby, contractually subordinate the payment priority of the Secured Obligations or contractually subordinate the Liens granted to the Collateral Agent (for the benefit of the Secured Parties) in the Collateral, or release all or substantially all of the guarantors under the Guarantee and Security Agreement from their guarantee obligations thereunder, except that no such consent shall be required, and the Administrative Agent is hereby authorized (and so agrees with the Borrower) to direct the Collateral Agent under the Guarantee and Security Agreement, (w) to release from the Guarantee and Security Agreement any “Subsidiary Guarantor” (and any property of such Subsidiary Guarantor) that is designated as a “Financing Subsidiary”, a “Foreign Subsidiary”, an “Immaterial Subsidiary” or a “Subsidiary of a Foreign Subsidiary” or becomes an Excluded Asset in accordance with this Agreement or which is otherwise no longer required to be a “Subsidiary Guarantor” in accordance with this Agreement and the Guarantee and Security Agreement, (x) to release any Lien covering property (and to release any such guarantor) that is the subject of either a Disposition of property (including, without limitation, in connection with the origination of any CLO Security or any Back-to-Back Transaction) not prohibited hereunder or a Disposition to which the Required Lenders or the required number or percentage of Lenders have consented, (y) to release any Lien and/or guarantee obligation (A) in accordance with Section 10.03 of the Guarantee and Security Agreement and (B) in connection with any property becoming subject to a participation or repurchase transaction that is not prohibited hereunder or under the Guarantee and Security Agreement, and (z) to release (and to acknowledge the release of) all Liens and guarantees of Obligors upon the termination of this Agreement (including in connection with a complete refinancing). The Lien releases described in the immediately foregoing clauses (w) through (z) shall be automatic without any further action by any party. 182 Revolving Credit and Term Loan Agreement


 
(d) Replacement of Non-Consenting Lender. If, in connection with any proposed change, waiver, amendment, consent, discharge or termination to any of the provisions of this Agreement as contemplated by this Section 9.02, the consent of the Required Lenders shall have been obtained but the consent of one or more Lenders (each a “Non-Consenting Lender”) whose consent is required for such proposed change, waiver, amendment, consent, discharge or termination is not obtained, then (so long as no Event of Default has occurred and is continuing) the Borrower shall have the right, at its sole cost and expense, to replace each such Non-Consenting Lender or Lenders with one or more replacement Lenders pursuant to Section 2.18(b) so long as at the time of such replacement, each such replacement Lender consents to the proposed change, waiver, discharge or termination. (e) If the Administrative Agent and the Borrower acting together identify any ambiguity, omission, mistake, typographical error or other defect in any provision of this Agreement or any other Loan Document, then the Administrative Agent and the Borrower shall be permitted to amend, modify or supplement such provision to cure such ambiguity, omission, mistake, typographical error or other defect, and such amendment, modification or supplement shall become effective without any further action or consent of any other party to this Agreement. (f) Re-designation of Non-Consenting Multicurrency Revolving Lender. (i) If, in connection with any request by the Borrower to add a Foreign Currency as an Agreed Foreign Currency hereunder, the consent of the Required Multicurrency Revolving Lenders shall have been obtained but the consent of one or more Multicurrency Revolving Lenders (each a “Non-Consenting Multicurrency Revolving Lender”) is not obtained, then the Borrower shall have the right upon four (4) Business Days’ prior written notice to the Administrative Agent and each Non-Consenting Multicurrency Revolving Lender to re-designate each Non-Consenting Multicurrency Revolving Lender as a Dollar Revolving Lender hereunder with a Dollar Revolving Credit Commitment equal to the Multicurrency Revolving Credit Commitment of such Non-Consenting Multicurrency Revolving Lender in effect immediately prior to such re-designation; provided that, no re-designation of any Multicurrency Revolving Lender’s Multicurrency Revolving Credit Commitment shall be permitted hereunder if (A) the conditions set forth in Section 4.02 are not satisfied both before and after giving effect to such re-designation, (B) without such Issuing Bank’s consent to be re-designated pursuant to this clause (i), any Non-Consenting Multicurrency Revolving Lender is an Issuing Bank that has an outstanding Letter of Credit denominated in an Agreed Foreign Currency as of the date of such re-designation notice or (C) after giving effect to such re-designation and the re-allocation described in clause (ii) below, (I) any Lender’s Revolving Dollar Credit Exposure or Revolving Multicurrency Credit Exposure, as applicable, exceeds such Lender’s Dollar Revolving Credit Commitment or Multicurrency Revolving Credit Commitment, as applicable, (II) the aggregate Revolving Dollar Credit Exposure of all of the Dollar Revolving Lenders exceeds the aggregate Dollar Revolving Credit Commitments, (III) the aggregate Revolving Multicurrency Credit Exposure of all of the Multicurrency Revolving Lenders exceeds the aggregate Multicurrency Revolving Credit Commitments or (IV) the aggregate Revolving Credit Exposure exceeds the aggregate 183 Revolving Credit and Term Loan Agreement


 
Revolving Credit Commitments; provided, further, that, in the event any Non-Consenting Multicurrency Revolving Lender is an Issuing Bank that has agreed to issue Letters of Credit in Agreed Foreign Currencies (but does not have any Letters of Credit denominated in Agreed Foreign Currencies as of the date of such re-designation notice), such Issuing Bank shall, on and after the re-designation date, only be required to issue Letters of Credit denominated in Dollars up to the amount set forth opposite the name of such Issuing Bank on Schedule 2.05 (or such greater amount as such Issuing Bank may agree in its sole discretion). (ii) On the date of and immediately after giving effect to any such re-designation of the Commitment of the Non-Consenting Multicurrency Revolving Lenders pursuant to clause (i) above, the Borrower shall (A) prepay the outstanding Loans in full, (B) simultaneously borrow new Loans in an amount equal to and in the same Currencies as such prepayment; provided that with respect to subclauses (A) and (B), (x) the prepayment to, and borrowing from, any Lender shall be effected by book entry to the extent that any portion of the amount prepaid to such Lender will be subsequently borrowed from such Lender and (y) the Lenders shall make and receive payments among themselves, in a manner acceptable to the Administrative Agent, so that, after giving effect thereto, (I) the Multicurrency Revolving Loans denominated in Agreed Foreign Currencies and the Multicurrency Revolving Loans denominated in Dollars are, in each case, held ratably by the Multicurrency Revolving Lenders in accordance with their respective Multicurrency Revolving Credit Commitments, (II) the Dollar Revolving Loans are held ratably by the Dollar Revolving Lenders in accordance with their respective Dollar Revolving Credit Commitments and, (III) to the extent possible, the Revolving Loans are held ratably by the Lenders in accordance with their respective Applicable Revolving Percentage, and (IV) to the extent possible, the Term Loans are held ratably by the Term Lenders in accordance with their respective Applicable Term Percentage of the applicable Type of Term Loan and (C) pay to the Lenders the amounts, if any, payable under Section 2.15 as a result of any such prepayment. Concurrently therewith, the Multicurrency Revolving Lenders and Dollar Revolving Lenders shall be deemed to have adjusted their participation interests in any outstanding Letters of Credit under the Multicurrency Revolving Credit Commitments and the Dollar Revolving Credit Commitments, respectively, so that such interests are held ratably in accordance with clauses (I), (II) and (III). SECTION 9.03. Expenses; Indemnity; Damage Waiver. (a) Costs and Expenses. The Borrower shall pay (i) all reasonable and documented out-of-pocket costs and expenses incurred by the Administrative Agent, the Collateral Agent and their Affiliates, including the reasonable and documented out-of-pocket fees, charges and disbursements of one outside counsel for the Administrative Agent and the Collateral Agent (but only one counsel for all such Persons together, plus, if necessary, one single local counsel per appropriate jurisdiction), in connection with the syndication of the credit facilities provided for herein, the preparation and administration of this Agreement and the other Loan Documents and any amendments, modifications or waivers of the provisions hereof or thereof (whether or not the transactions contemplated hereby or thereby shall be consummated), (ii) all reasonable and documented out-of-pocket expenses incurred by any Issuing Bank in 184 Revolving Credit and Term Loan Agreement


 
connection with the issuance, amendment, renewal or extension of any Letter of Credit by such Issuing Bank or any demand for payment thereunder, (iii) all reasonable and documented out-of-pocket costs and expenses incurred by the Administrative Agent, any Issuing Bank or any Lender, including, but limited in the case of legal expenses to, the reasonable and documented out-of-pocket fees, charges and disbursements of one outside counsel and, if necessary, one single local counsel per appropriate jurisdiction for the Administrative Agent and each Issuing Bank and Swingline Lender as well as one outside counsel for the Lenders and, in the case of actual conflict of interest where the Administrative Agent, any Issuing Bank or any Lender affected by such conflict informs the Borrower of such conflict and thereafter retains its own counsel, another firm of counsel for any such affected Person, in connection with the enforcement or protection of its rights in connection with this Agreement and the other Loan Documents, including its rights under this Section 9.03, or in connection with the Loans made or Letters of Credit issued hereunder, including all such documented out-of-pocket expenses incurred during any workout, restructuring or negotiations in respect thereof and (iv) and all reasonable and documented out-of-pocket costs, expenses, taxes, assessments and other charges (other than Taxes or Other Taxes which shall only be indemnified by the Borrower to the extent provided in Section 2.16, other than any Taxes that represent losses, claims, damages, etc. arising from any non-Tax claim) reasonably incurred by the Collateral Agent in connection with any filing, registration, recording or perfection of any security interest contemplated by any Security Document or any other document referred to therein, limited in the case of legal expenses to the reasonable and documented out-of-pocket fees, charges and disbursements of one outside counsel for the Collateral Agent. For the avoidance of doubt, to the extent no Event of Default has occurred and is continuing, the Borrower shall not be responsible for the reimbursement of any costs, fees or expenses of the Agent-Selected Third-Party Appraiser incurred pursuant to Section 5.12(b)(ii)(F) in excess of the IVP Supplemental Cap. (b) Indemnification by the Borrower. The Borrower shall indemnify the Administrative Agent, the Lead Arranger, each Issuing Bank, Swingline Lender, and each Lender, and each Related Party of any of the foregoing Persons (each such Person being called an “Indemnitee”) against, and hold each Indemnitee harmless from, any and all losses, claims, damages, liabilities, actions, judgments, suits, costs, expenses and disbursements of any kind or nature whatsoever (including, but limited in the case of legal expenses to, the reasonable and documented out-of-pocket fees and disbursements of one outside counsel for all Indemnitees (and, if reasonably necessary, of one local counsel in any relevant jurisdiction for the Administrative Agent, Issuing Banks and Lenders taken as a whole, and, in the case of an actual conflict of interest where the Administrative Agent, any Issuing Bank or any Lender affected by such conflict informs the Borrower of such conflict and thereafter retains its own counsel, another firm of counsel for any such affected Person)) (collectively, “Losses”) in connection with any investigative, administrative or judicial proceeding or hearing commenced or threatened by any Person, whether or not any such Indemnitee shall be designated as a party or a potential party thereto, and any fees or expenses incurred by Indemnitees in enforcing this indemnity, whether based on any federal, state or foreign laws, statutes, rules or regulations (including securities and commercial laws, statutes, rules or regulations and laws, statutes, rules or regulations relating to environmental, occupational safety and health or land use matters), on common law or equitable cause or on contract or otherwise and related expenses or disbursements of any kind (other than Taxes or Other Taxes which shall only be indemnified by the Borrower to the extent provided in Section 2.16, other than any Taxes that represent losses, claims, damages, etc. arising from any 185 Revolving Credit and Term Loan Agreement


 
non-Tax claim), including, but limited in the case of legal expenses to, the fees, charges and disbursements of outside counsel for any such affected Indemnitee for the Indemnitees collectively as specified above, incurred by or asserted against any Indemnitee arising out of, in connection with, or as a result of (i) the execution or delivery of this Agreement or any agreement or instrument contemplated hereby, the performance by the parties hereto of their respective obligations hereunder or the consummation of the Transactions or any other transactions contemplated hereby, (ii) any Loan or Letter of Credit or the use of the proceeds therefrom (including any refusal by an Issuing Bank to honor a demand for payment under a Letter of Credit if the documents presented in connection with such demand do not strictly comply with the terms of such Letter of Credit) or (iii) any actual or prospective claim, litigation, investigation or proceeding relating to any of the foregoing, whether based on contract, tort or any other theory and whether brought by the Borrower or a third party and regardless of whether any Indemnitee is a party thereto; provided that, such indemnity shall not as to any Indemnitee, be available to the extent that such Losses are (A) determined by a court of competent jurisdiction by final and nonappealable judgment to have resulted from (i) fraud, willful misconduct or gross negligence of such Indemnitee or its Related Parties or (ii) a claim brought by the Borrower or any other Obligor against such Indemnitee for breach in bad faith of such Indemnitee’s obligations under this Agreement or the other Loan Documents, (B) result from the settlement of any such claim, investigation, litigation or other proceedings described in clause (iii) above unless the Borrower has consented to such settlement (which consent shall not be unreasonably withheld or delayed) (provided that nothing in this clause (B) shall restrict the right of any person to settle any claim for which it has waived its right of indemnity by the Borrower) or (C) result from a claim arising from disputes between Indemnitees (other than any dispute involving (x) claims against the Administrative Agent, the Collateral Agent, any Issuing Bank or the Lead Arranger in their respective capacities as such or (y) claims arising out of any act or omission by the Borrower or any of its Affiliates). Notwithstanding the foregoing, it is understood and agreed that indemnification for Taxes is subject to the provisions of Section 2.16, other than any Taxes that represent losses, claims, damages, etc. arising from any non-Tax claim. The Borrower shall not be liable to any Indemnitee for any special, indirect, consequential or punitive damages (as opposed to direct or actual damages (which may include special, indirect, consequential or punitive damages asserted against any such party hereto by a third party)) arising out of, in connection with, or as a result of this Agreement or any agreement or instrument contemplated hereby, the Transactions, any Loan or Letter of Credit or the use of proceeds thereof, asserted by an Indemnitee against the Borrower or any other Obligor; provided that, the foregoing limitation shall not be deemed to impair or affect the obligations of the Borrower under the preceding provisions of this subsection with respect to damages not expressly described in the foregoing limitation. (c) Reimbursement by Lenders. To the extent that the Borrower fails to pay any amount required to be paid by it to the Administrative Agent, any Issuing Bank or any Swingline Lender under paragraph (a) or (b) of this Section 9.03, each Lender (or, in the case of amounts required to be paid to any Issuing Bank or Swingline Lender, each Revolving Lender) severally agrees to pay to the Administrative Agent or the applicable Issuing Bank or Swingline Lender, as the case may be, such Lender’s Applicable Percentage (or, in the case of amounts required to be paid to any Issuing Bank or Swingline Lender, such Lender’s 186 Revolving Credit and Term Loan Agreement


 
Applicable Revolving Percentage) of such unpaid amount, determined as of the time that the applicable unreimbursed expense or indemnity payment is sought) of such unpaid amount; provided that the unreimbursed expense or indemnified loss, claim, damage, liability or related expense, as the case may be, was incurred by or asserted against the Administrative Agent or the applicable Issuing Bank or such Swingline Lender in its capacity as such. (d) Waiver of Consequential Damages, Etc. To the extent permitted by applicable law, no party hereto shall assert, and each party hereto hereby waives, any claim against any other party (or any Related Party to such party), on any theory of liability, for special, indirect, consequential or punitive damages (as opposed to direct or actual damages) arising out of, in connection with, or as a result of, this Agreement or any agreement or instrument contemplated hereby, the Transactions, any Loan or Letter of Credit or the use of the proceeds thereof. Provided that such Indemnitee has complied with its obligations under Section 9.13, no Indemnitee shall be liable for any damages arising from the use by unintended recipients of any information or other materials distributed by it through telecommunications, electronic or other information transmission systems in connection with this Agreement or the other Loan Documents or the transactions contemplated hereby or thereby, except to the extent caused by the fraud, willful misconduct or gross negligence of such Indemnitee or its Related Parties, as determined by a final, non-appealable judgment of a court of competent jurisdiction. (e) Payments. All amounts due under this Section 9.03 shall be payable promptly after written demand therefor. SECTION 9.04. Successors and Assigns. (a) Assignments Generally. The provisions of this Agreement shall be binding upon and inure to the benefit of the parties hereto and their respective successors and assigns permitted hereby (including any Affiliate of an Issuing Bank that issues any Letter of Credit), except that (i) the Borrower may not assign or otherwise transfer any of its rights or obligations hereunder without the prior written consent of each Lender (and any attempted assignment or transfer by the Borrower without such consent shall be null and void) and (ii) no Lender may assign or otherwise transfer its rights or obligations hereunder except in accordance with this Section 9.04 (and any attempted assignment or transfer by any Lender which is not in accordance with this Section 9.04 shall be treated as provided in the second sentence of Section 9.04(b)(iii)). Nothing in this Agreement, expressed or implied, shall be construed to confer upon any Person (other than the parties hereto, their respective successors and assigns permitted hereby (including any Affiliate of an Issuing Bank that issues any Letter of Credit) and, to the extent expressly contemplated hereby, the Related Parties of each of the Administrative Agent, the Issuing Banks and the Lenders) any legal or equitable right, remedy or claim under or by reason of this Agreement. (b) Assignments by Lenders. (i) Assignments Generally. Subject to the conditions set forth in clause (ii) below, any Lender may assign to one or more assignees (other than any natural persons (or a holding company, investments vehicle, investment vehicle or trust for, or owned and operated by or for the primary benefit of a natural Person) 187 Revolving Credit and Term Loan Agreement


 
or any Defaulting Lender or Competitor orof the Borrower or any of its Affiliates) all or a portion of its rights and obligations under this Agreement (including all or a portion of its applicable Commitments and theor Loans and LC Exposure, as applicable, at the time owing to it) (provided that, so long no Event of Default under clause (a), (b), (i), (j) or (k) of Article VII has occurred and is continuing, the assignee shall have executed a Lender non-disclosure agreement substantially in the form attached hereto as Exhibit F (a “Lender NDA”), with such changes requested by such assignee as may be reasonably approved by the Borrower, with the Borrower prior to such assignee’s receipt of any confidential information of the Borrower), and with the prior written consent (such consent not to be unreasonably withheld or delayed) of: (A) the Borrower; provided that no consent of the Borrower shall be required for an assignment to a Lender, an Affiliate of a Lender, or, if an Event of Default under clause (a), (b), (i), (j) or (k) of Article VII has occurred and is continuing, any other assignee; provided, further, that the Borrower shall be deemed to have consented to any such assignment unless it shall have objected thereto by written notice to the Administrative Agent within ten (10) Business Days after having received notice thereof; and (B) the Administrative Agent and each Issuing Bank; provided (x) that no consent of the Administrative Agent or the Issuing Banks shall be required for an assignment by a Lender to another Lender or an Affiliate of such Lender and (y) that no consent of the Issuing Banks shall be required for an assignment by a Term Loan Lender to any other Person of its rights in respect of any Term Loan Facility. (ii) Certain Conditions to Assignments. Assignments shall be subject to the following additional conditions: (A) except in the case of an assignment to a Lender or an Affiliate of a Lender or an assignment of the entire remaining amount of the assigning Lender’s Commitment or Loans and LC Exposure, as applicable, of a Class, the amount of the Commitment or Loans and LC Exposure, as applicable, of such Class of the assigning Lender subject to each such assignment (determined as of the date the Assignment and Assumption with respect to such assignment is delivered to the Administrative Agent) shall not be less than U.S. $5,000,000 unless each of the Borrower and the Administrative Agent otherwise consents; provided that, no such consent of the Borrower shall be required if an Event of Default under clause (a), (b), (i), (j) or (k) of Article VII has occurred and is continuing; (B) each partial assignment of any Class of Commitments or Loans and LC Exposure, as applicable, shall be made as an assignment of a proportionate part of all the assigning Lender’s rights and obligations 188 Revolving Credit and Term Loan Agreement


 
under this Agreement in respect of such Class of Commitments, or Loans and LC Exposure; (C) the parties to each assignment shall execute and deliver to the Administrative Agent an Assignment and Assumption (or any other form approved by the Administrative Agent and the Borrower), together with a processing and recordation fee of U.S. $3,500 (which fee shall not be payable in connection with an assignment to a Lender or to an Affiliate of a Lender), for which the Borrower and the Subsidiary Guarantors shall not be obligated; (D) the assignee, if it shall not already be a Lender of the applicable Class, shall deliver to the Administrative Agent an Administrative Questionnaire; (E) the assignee shall deliver to the Borrower and the Administrative Agent those documents specified in Section 2.16(f); and (F) any assignment by a Multicurrency Revolving Lender shall (unless the Borrower otherwise consents in writing) be made only to an assignee that has agreed to make Revolving Loans pursuant to its Multicurrency Revolving Credit Commitment and is able to fund and receive payments in the Agreed Foreign Currencies for which Revolving Loans may be made at the time of such proposed assignments without the need to obtain any authorization referred to in clause (b) of the definition of “Agreed Foreign Currency”. (iii) Effectiveness of Assignments. Subject to acceptance and recording thereof pursuant to paragraph (c) of this Section 9.04, from and after the effective date specified in each Assignment and Assumption the assignee thereunder shall be a party hereto and, to the extent of the interest assigned by such Assignment and Assumption, have the rights and obligations of a Lender under this Agreement, and the assigning Lender thereunder shall, to the extent of the interest assigned by such Assignment and Assumption, be released from its obligations under this Agreement (and, in the case of an Assignment and Assumption covering all of the assigning Lender’s rights and obligations under this Agreement, such Lender shall cease to be a party hereto but shall continue to be entitled to the benefits of Sections 2.14, 2.15, 2.16 and 9.03 with respect to facts and circumstances occurring prior to the effective date of such assignment). Any assignment or transfer by a Lender of rights or obligations under this Agreement that does not comply with this Section 9.04 shall be treated for purposes of this Agreement as a sale by such Lender of a participation in such rights and obligations in accordance with paragraph (f) of this Section 9.04 (but only to the extent such assignment or other transfer otherwise complies with the provisions of such paragraph). Notwithstanding anything to the contrary herein, in connection with any assignment of rights and obligations of any Defaulting Lender hereunder, no such assignment shall be effective unless and until, in 189 Revolving Credit and Term Loan Agreement


 
addition to the other conditions set forth in Section 9.04(b)(ii) or otherwise, the parties to the assignment shall make such additional payments to the Administrative Agent in an aggregate amount sufficient, upon distribution thereof as appropriate (which may be outright payment, purchases by the assignee of participations or subparticipations, or other compensating actions, including funding, with the consent of the Borrower and the Administrative Agent, the Applicable Percentage of Loans previously requested but not funded by the Defaulting Lender, to each of which the applicable assignee and assignor hereby irrevocably consent), to (x) pay and satisfy in full all payment liabilities then owed by such Defaulting Lender to the Administrative Agent, each Issuing Bank and each Lender hereunder (and interest accrued thereon), and (y) acquire (and fund as appropriate) its full Applicable Percentage of all all such Defaulting Lender’s Loans and participations in Letters of Credit. Notwithstanding the foregoing, in the event that any assignment of rights and obligations of any Defaulting Lender hereunder shall become effective under applicable law without compliance with the provisions of this paragraph (iii), then the assignee of such interest shall be deemed to be a Defaulting Lender for all purposes of this Agreement until such compliance occurs. The Administrative Agent agrees to provide the Borrower with official copies of the Register upon reasonable request. (c) Maintenance of Registers by Administrative Agent. The Administrative Agent, acting for this purpose as an agent of the Borrower, shall maintain at one of its offices in New York City a copy of each Assignment and Assumption delivered to it and a register for the recordation of the names and addresses of the Lenders, and the Commitments of, and principal amount (and stated interest) of the Loans and LC Disbursements, as applicable, owing to, each Lender pursuant to the terms hereof from time to time (the “Registers” and each individually, a “Register”). The entries in the Registers shall be conclusive absent manifest error, and the Borrower, the Administrative Agent, the Issuing Banks and the Lenders may treat each Person whose name is recorded in the Registers pursuant to the terms hereof as a Lender hereunder for all purposes of this Agreement, notwithstanding notice to the contrary. The Registers shall be available for inspection by the Borrower, any Issuing Bank and any Lender, at any reasonable time and from time to time upon reasonable prior notice. (d) Acceptance of Assignments by Administrative Agent. Upon its receipt of a duly completed Assignment and Assumption executed by an assigning Lender and an assignee, the assignee’s completed Administrative Questionnaire (unless the assignee shall already be a Lender hereunder), the processing and recordation fee referred to in paragraph (b) of this Section 9.04 and any written consent to such assignment required by paragraph (b) of this Section 9.04, the Administrative Agent shall accept such Assignment and Assumption and record the information contained therein in the Register. No assignment shall be effective for purposes of this Agreement unless it has been recorded in the Register as provided in this paragraph (d). (e) Special Purposes Vehicles. Notwithstanding anything to the contrary contained herein, any Lender (a “Granting Lender”) may grant to a special purpose funding vehicle (an “SPC”) owned or administered by such Granting Lender, identified as such in writing from time to time by such Granting Lender to the Administrative Agent and the Borrower, the option to provide all or any part of any Loan that such Granting Lender would otherwise be 190 Revolving Credit and Term Loan Agreement


 
obligated to make; provided that, (i) nothing herein shall constitute a commitment to make any Loan by any SPC, (ii) if an SPC elects not to exercise such option or otherwise fails to provide all or any part of such Loan, such Granting Lender shall, subject to the terms of this Agreement, make such Loan pursuant to the terms hereof, (iii) the rights of any such SPC shall be derivative of the rights of such Granting Lender, and such SPC shall be subject to all of the restrictions upon such Granting Lender herein contained, and (iv) no SPC shall be entitled to the benefits of Sections 2.14 (or any other increased costs protection provision), 2.15 or 2.16. Each SPC shall be conclusively presumed to have made arrangements with its Granting Lender for the exercise of voting and other rights hereunder in a manner which is acceptable to the SPC, the Administrative Agent, the Lenders and the Borrower, and each of the Administrative Agent, the Lenders and the Obligors shall be entitled to rely upon and deal solely with the Granting Lender with respect to Loans made by or through its SPC. The making of a Loan by an SPC hereunder shall utilize the Commitment of the Granting Lender to the same extent, and as if, such Loan were made by the Granting Lender. Each party hereto hereby agrees (which agreement shall survive the termination of this Agreement) that, prior to the date that is one year and one day after the payment in full of all outstanding senior indebtedness of any SPC, it will not institute against, or join any other person in instituting against, such SPC, any bankruptcy, reorganization, arrangement, insolvency or liquidation proceedings or similar proceedings under the laws of the United States or any State thereof, in respect of claims arising out of this Agreement; provided that the Granting Lender for each SPC hereby agrees to indemnify, save and hold harmless each other party hereto for any Loss arising out of their inability to institute any such proceeding against its SPC. In addition, notwithstanding anything to the contrary contained in this Section 9.04, any SPC may (i) without the prior written consent of the Borrower and the Administrative Agent and without paying any processing fee therefor, assign all or a portion of its interests in any Loans to its Granting Lender or to any financial institutions providing liquidity and/or credit facilities to or for the account of such SPC to fund the Loans made by such SPC or to support the securities (if any) issued by such SPC to fund such Loans (but nothing contained herein shall be construed in derogation of the obligation of the Granting Lender to make Loans hereunder); provided that, neither the consent of the SPC nor of any such assignee shall be required for amendments or waivers hereunder except for those amendments or waivers for which the consent of participants is required under paragraph (f) below, and (ii) disclose on a confidential basis (in the same manner described in Section 9.13(b)) any non-public information relating to its Loans to any rating agency, commercial paper dealer or provider of a surety, guarantee or credit or liquidity enhancement to such SPC. (f) Participations. Any Lender may, with the consent of the Borrower (such consent not to be unreasonably withheld or delayed), sell participations to one or more banks or other entities (other than any Competitor or any natural persons (or a holding company, investments vehicle, investment vehicle or trust for, or owned and operated by or for the primary benefit of a natural Person)) (a “Participant”) in all or a portion of such Lender’s rights and obligations under this Agreement and the other Loan Documents (including all or a portion of its applicable Commitments and the Loans and LC Disbursements, as applicable, owing to it); provided that, (i) the consent of the Borrower shall not be required for a participation to a Lender or an Affiliate of a Lender (in each case, that is not a Competitor of the Borrower or any of its Affiliates) or so long as an Event of Default under clause (a), (b), (i), (j) or (k) of 191 Revolving Credit and Term Loan Agreement


 
Article VII has occurred and is continuing, (ii) such Lender’s obligations under this Agreement and the other Loan Documents shall remain unchanged, (iii) such Lender shall remain solely responsible to the other parties hereto for the performance of such obligations and (iv) the Borrower, the Administrative Agent, the Issuing Banks and the other Lenders shall continue to deal solely and directly with such Lender in connection with such Lender’s rights and obligations under this Agreement and the other Loan Documents. Any agreement or instrument pursuant to which a Lender sells such a participation shall provide that such Lender shall retain the sole right to enforce this Agreement and the other Loan Documents and to approve any amendment, modification or waiver of any provision of this Agreement or any other Loan Document; provided that such agreement or instrument may provide that such Lender will not, without the consent of the Participant, agree to any amendment, modification or waiver described in the first proviso to Section 9.02(b) that affects such Participant. Subject to paragraph (g) of this Section 9.04, the Borrower agrees that each Participant shall be entitled to the benefits of Sections 2.14, 2.15 and 2.16, subject to the requirements and limitations therein, to the same extent as if it were a Lender and had acquired its interest by assignment pursuant to paragraph (b) of this Section 9.04; provided that such Participant agrees that it (i) shall be subject to the provisions of Section 2.18 as if it were an assignee and (ii) shall not be entitled to receive any greater payment under Sections 2.14, 2.15 or 2.16, with respect to any participation, than its participating Lender would have been entitled to receive, except to the extent such entitlement to receive a greater payment results from a Change in Law that occurs after the Participant acquired the applicable participation; provided, further, that no Participant shall be entitled to the benefits of Section 2.16 unless the Borrower is notified of the participation granted to such Participant and such Participant shall have complied with the requirements of Section 2.16 as if such Participant is a Lender. Each Lender that sells a participation agrees, at the Borrower’s request and expense, to use reasonable efforts to cooperate with the Borrower to effectuate the provisions of Section 2.18(b) with respect to any Participant. To the extent permitted by law, each Participant also shall be entitled to the benefits of Section 9.08 as though it were a Lender; provided that such Participant agrees to be subject to Section 2.17(d) as though it were a Lender hereunder. Each Lender that sells a participation shall, acting solely for this purpose as a non-fiduciary agent of the Borrower, maintain a register on which it enters the name and address of each Participant and the principal amounts (and stated interest) of each Participant’s interest in the applicable Commitments, Loans, Letters of Credit or other obligations under the Loan Documents (the “Participant Register”); provided that no Lender shall have any obligation to disclose all or any portion of the Participant Register (including the identity of any Participant or any other information relating to a Participant’s interest in any Commitments, Loans, Letters of Credit or its other obligations under any Loan Document) to any person except to the extent that such disclosures are necessary to establish that such Commitment, Loan, Letter of Credit or other obligation is in registered form under Section 163 of the Code and any related United States Treasury Regulations. The entries in the Participant Register shall be conclusive absent manifest error, and such Lender shall treat each Person whose name is recorded in the Participant Register as the owner of such participation for all purposes of this Agreement notwithstanding any notice to the contrary. For the avoidance of doubt, Administrative Agent (in its capacity as Administrative Agent) shall have no responsibility for maintaining a Participant Register. (g) Limitations on Rights of Participants. A Participant shall not be entitled to receive any greater payment under Section 2.14, 2.15 or 2.16 than the applicable Lender would have been entitled to receive with respect to the participation sold to such Participant, unless the 192 Revolving Credit and Term Loan Agreement


 
sale of the participation to such Participant is made with the Borrower’s prior written consent. A Participant that would be a Foreign Lender if it were a Lender shall not be entitled to the benefits of Section 2.16 unless the Borrower is notified of the participation sold to such Participant and such Participant agrees, for the benefit of the Borrower, to comply with Sections 2.16(e) and (f) as though it were a Lender and in the case of a Participant claiming exemption for portfolio interest under Section 871(h) or 881(c) of the Code, the applicable Lender shall provide the Borrower with satisfactory evidence that the participation is in registered form and shall permit the Borrower to review such register as reasonably needed for the Borrower to comply with its obligations under applicable laws and regulations. (h) Certain Pledges. Any Lender may at any time pledge or assign a security interest in all or any portion of its rights under this Agreement to secure obligations of such Lender, including any such pledge or assignment to a Federal Reserve Bank or any other central bank having jurisdiction over such Lender, and this Section 9.04 shall not apply to any such pledge or assignment of a security interest; provided that no such pledge or assignment of a security interest shall release a Lender from any of its obligations hereunder or substitute any such assignee for such Lender as a party hereto. (i) No Assignments to the Borrower or Affiliates. Anything in this Section 9.04 to the contrary notwithstanding, no Lender may assign or participate any interest in any Loan or LC Exposure held by it hereunder to the Borrower or any of its Affiliates or Subsidiaries without the prior consent of each Lender. SECTION 9.05. Survival. All covenants, agreements, representations and warranties made by the Borrower herein and in the certificates or other instruments delivered in connection with or pursuant to this Agreement shall be considered to have been relied upon by the other parties hereto and shall survive the execution and delivery of this Agreement and the making of any Loans and issuance of any Letters of Credit, regardless of any investigation made by any such other party or on its behalf and notwithstanding that the Administrative Agent, any Issuing Bank or any Lender may have had notice or knowledge of any Default or incorrect representation or warranty at the time any credit is extended hereunder, and shall continue in full force and effect as long as the principal of or any accrued interest on any Loan or any fee or any other amount payable under this Agreement is outstanding and unpaid or any Letter of Credit is outstanding and so long as the Commitments have not expired or terminated. The provisions of Sections 2.14, 2.15, 2.16 and 9.03 and Article VIII shall survive and remain in full force and effect regardless of the consummation of the transactions contemplated hereby, the repayment of the Loans, the expiration or termination, Cash Collateralization or backstop of the Letters of Credit and the Commitments or the termination of this Agreement or any provision hereof. Counterparts; Integration; Effectiveness; Electronic Execution. (a) Counterparts; Integration; Effectiveness. This Agreement may be executed in counterparts (and by different parties hereto on different counterparts), each of which shall constitute an original, but all of which when taken together shall constitute a single contract. This Agreement and any separate letter agreements with respect to fees payable to the Administrative Agent constitute the entire contract between and among the parties relating to the subject matter hereof and supersede any and all previous agreements and understandings, oral or written, relating to the subject matter hereof. Except as provided in Section 4.01, this Agreement 193 Revolving Credit and Term Loan Agreement


 
shall become effective when it shall have been executed by the Administrative Agent and when the Administrative Agent shall have received counterparts hereof which, when taken together, bear the signatures of each of the other parties hereto, and thereafter shall be binding upon and inure to the benefit of the parties hereto and their respective successors and permitted assigns. Delivery of an executed counterpart of a signature page to this Agreement by telecopy or electronically (e.g., pdf) shall be effective as delivery of a manually executed counterpart of this Agreement. (b) Electronic Execution of Loan Documents. The words “execution,” “signed,” “signature,” and words of like import in this Agreement and the other Loan Documents including any Assignment and Assumption shall be deemed to include electronic signatures or electronic records, each of which shall be of the same legal effect, validity or enforceability as a manually executed signature or the use of a paper-based recordkeeping system, as the case may be, to the extent and as provided for in any applicable law, including the Federal Electronic Signatures in Global and National Commerce Act, the New York State Electronic Signatures and Records Act, or any other similar state laws based on the Uniform Electronic Transactions Act. SECTION 9.07. Severability. Any provision of this Agreement held to be invalid, illegal or unenforceable in any jurisdiction shall, as to such jurisdiction, be ineffective to the extent of such invalidity, illegality or unenforceability without affecting the validity, legality and enforceability of the remaining provisions hereof; and the invalidity of a particular provision in a particular jurisdiction shall not invalidate such provision in any other jurisdiction. Right of Setoff. If an Event of Default shall have occurred and be continuing, each Lender and each of its Affiliates is hereby authorized at any time and from time to time (with the prior consent of the Administrative Agent or the Required Lenders), to the fullest extent permitted by law, to set off and apply any and all deposits (general or special, time or demand, provisional or final) at any time held and other obligations at any time owing by such Lender or Affiliate to or for the credit or the account of the Borrower against any of and all the obligations of the Borrower now or hereafter existing under this Agreement held by such Lender, irrespective of whether or not such Lender shall have made any demand under this Agreement and although such obligations may be unmatured; provided that in the event that any Defaulting Lender shall exercise any such right of setoff, (x) all amounts so set off shall be paid over immediately to the Administrative Agent for further application in accordance with the provisions of Sections 2.17(d) and, pending such payment, shall be segregated by such Defaulting Lender from its other funds and deemed held in trust for the benefit of the Administrative Agent, the Issuing Banks, and the Lenders, and (y) the Defaulting Lender shall provide promptly to the Administrative Agent a statement describing in reasonable detail the amounts owing to such Defaulting Lender hereunder as to which it exercised such right of setoff. The rights of each Lender under this Section 9.08 are in addition to other rights and remedies (including other rights of setoff) which such Lender may have. Each Lender agrees to notify the Borrower and the Administrative Agent promptly after any such setoff and application; provided that the failure to give such notice shall not affect the validity of such setoff and application. Governing Law; Jurisdiction; Etc. (a) Governing Law. This Agreement and, unless otherwise specified therein, each other Loan Document shall be construed in accordance with and governed by the law of the State of New York. 194 Revolving Credit and Term Loan Agreement


 
(b) Submission to Jurisdiction. Each party to this Agreement hereby irrevocably and unconditionally submits, for itself and its property, to the exclusive jurisdiction of the Supreme Court of the State of New York sitting in New York County and of the United States District Court of the Southern District of New York sitting in New York County, and any appellate court from any thereof, in any action or proceeding (whether in contract, tort, or otherwise and whether at law or in equity) arising out of or relating to this Agreement and any other Loan Document, or for recognition or enforcement of any judgment, and each of the parties hereto hereby irrevocably and unconditionally agrees that all claims in respect of any such action or proceeding may be heard and determined in such New York State or, to the extent permitted by law, in such Federal court. Each of the parties hereto agrees that a final judgment in any such action or proceeding shall be conclusive and may be enforced in other jurisdictions by suit on the judgment or in any other manner provided by law. Nothing in this Agreement shall affect any right that the Administrative Agent, any Issuing Bank or any Lender may otherwise have to bring any action or proceeding relating to this Agreement against the Borrower or its properties in the courts of any jurisdiction. (c) Waiver of Venue. The Borrower hereby irrevocably and unconditionally waives, to the fullest extent it may legally and effectively do so, any objection which it may now or hereafter have to the laying of venue of any suit, action or proceeding arising out of or relating to this Agreement in any court referred to in paragraph (b) of this Section 9.09. Each of the parties hereto hereby irrevocably waives, to the fullest extent permitted by law, the defense of an inconvenient forum to the maintenance of such action or proceeding in any such court. (d) Service of Process. Each party to this Agreement (i) irrevocably consents to service of process in the manner provided for notices in Section 9.01 and (ii) agrees that service as provided in the manner provided for notices in Section 9.01 is sufficient to confer personal jurisdiction over such party in any proceeding in any court and otherwise constitutes effective and binding service in every respect. Nothing in this Agreement will affect the right of any party to this Agreement to serve process in any other manner permitted by law. SECTION 9.10. WAIVER OF JURY TRIAL. EACH PARTY HERETO HEREBY WAIVES, TO THE FULLEST EXTENT PERMITTED BY APPLICABLE LAW, ANY RIGHT IT MAY HAVE TO A TRIAL BY JURY IN ANY LEGAL PROCEEDING DIRECTLY OR INDIRECTLY ARISING OUT OF OR RELATING TO THIS AGREEMENT, ANY OTHER LOAN DOCUMENT OR THE TRANSACTIONS CONTEMPLATED HEREBY (WHETHER BASED ON CONTRACT, TORT OR ANY OTHER THEORY). EACH PARTY HERETO (A) CERTIFIES THAT NO REPRESENTATIVE, AGENT OR ATTORNEY OF ANY OTHER PARTY HAS REPRESENTED, EXPRESSLY OR OTHERWISE, THAT SUCH OTHER PARTY WOULD NOT, IN THE EVENT OF LITIGATION, SEEK TO ENFORCE THE FOREGOING WAIVER AND (B) ACKNOWLEDGES THAT IT AND THE OTHER PARTIES HERETO HAVE BEEN INDUCED TO ENTER INTO THIS AGREEMENT BY, AMONG OTHER THINGS, THE MUTUAL WAIVERS AND CERTIFICATIONS IN THIS SECTION 9.10. Judgment Currency. This is an international loan transaction in which the specification of Dollars or any Foreign Currency, as the case may be (the “Specified Currency”), and payment in New York City or the country of the Specified Currency, as the case may be (the “Specified Place”), is of the essence, and the Specified Currency shall be the currency of account in all events relating to Loans denominated in the Specified Currency. The payment obligations 195 Revolving Credit and Term Loan Agreement


 
of the Borrower under this Agreement shall not be discharged or satisfied by an amount paid in another currency or in another place, whether pursuant to a judgment or otherwise, to the extent that the amount so paid on conversion to the Specified Currency and transfer to the Specified Place under normal banking procedures does not yield the amount of the Specified Currency at the Specified Place due hereunder. If for the purpose of obtaining judgment in any court it is necessary to convert a sum due hereunder in the Specified Currency into another currency (the “Second Currency”), the rate of exchange that shall be applied shall be the rate at which in accordance with normal banking procedures the Administrative Agent could purchase the Specified Currency with the Second Currency on the Business Day next preceding the day on which such judgment is rendered. The obligation of the Borrower in respect of any such sum due from it to the Administrative Agent or any Lender (for purposes of this Section 9.11, an “Entitled Person”) hereunder or under any other Loan Document shall, notwithstanding the rate of exchange actually applied in rendering such judgment be discharged only to the extent that on the Business Day following receipt by such Entitled Person of any sum adjudged to be due hereunder in the Second Currency such Entitled Person may in accordance with normal banking procedures purchase and transfer to the Specified Place the Specified Currency with the amount of the Second Currency so adjudged to be due; and the Borrower hereby, as a separate obligation and notwithstanding any such judgment, agrees to indemnify such Entitled Person against, and to pay such Entitled Person on demand, in the Specified Currency, the amount (if any) by which the sum originally due to such Entitled Person in the Specified Currency hereunder exceeds the amount of the Specified Currency so purchased and transferred. Headings. Article and Section headings and the Table of Contents used herein are for convenience of reference only, are not part of this Agreement and shall not affect the construction of, or be taken into consideration in interpreting, this Agreement. Treatment of Certain Information; No Fiduciary Duty; Confidentiality. (a) Treatment of Certain Information; No Fiduciary Duty; No Conflicts. The Borrower acknowledges that from time to time financial advisory, investment banking and other services may be offered or provided to the Borrower or one or more of its Subsidiaries (in connection with this Agreement or otherwise) by any Lender or by one or more subsidiaries or affiliates of such Lender and the Borrower hereby authorizes each Lender to share any information delivered to such Lender by the Borrower and its Subsidiaries pursuant to this Agreement, or in connection with the decision of such Lender to enter into this Agreement, to any such subsidiary or affiliate, it being understood that any such subsidiary or affiliate receiving such information shall be bound by the provisions of paragraph (b) of this Section 9.13 as if it were a Lender hereunder. Such authorization shall survive the repayment of the Loans, the expiration or termination of the Letters of Credit and the Commitments or the termination of this Agreement or any provision hereof. Each Lender shall use all information delivered to such Lender by the Borrower and its Subsidiaries pursuant to this Agreement, or in connection with the decision of such Lender to enter into this Agreement, in connection with providing services to the Borrower. The Administrative Agent, each Lender and their Affiliates (collectively, solely for purposes of this paragraph (a), the “Lenders”), may have economic interests that conflict with those of the Borrower or any of its Subsidiaries, their stockholders and/or their affiliates. The Borrower, on behalf of itself and each of its Subsidiaries, agrees that nothing in the Loan Documents or otherwise will be deemed to create an advisory, fiduciary or agency relationship or fiduciary or other implied duty between any Lender, on the one hand, and the Borrower or any of its Subsidiaries, its stockholders or its affiliates, on the other. The Borrower and each of its 196 Revolving Credit and Term Loan Agreement


 
Subsidiaries each acknowledges and agrees that (i) the transactions contemplated by this Agreement and the other Loan Documents (including the exercise of rights and remedies hereunder and thereunder) are arm’s-length commercial transactions between the Lenders, on the one hand, and the Borrower and its Subsidiaries, on the other, and (ii) in connection therewith and with the process leading thereto, (x) no Lender has assumed an advisory or fiduciary responsibility in favor of the Borrower or any of its Subsidiaries, any of their stockholders or affiliates with respect to the transactions contemplated hereby (or the exercise of rights or remedies with respect thereto) or the process leading thereto (irrespective of whether any Lender has advised, is currently advising or will advise the Borrower or any of its Subsidiaries, their stockholders or their affiliates on other matters) or any other obligation to the Borrower or any of its Subsidiaries except the obligations expressly set forth in the Loan Documents and (y) each Lender is acting solely as principal and not as the agent or fiduciary of the Borrower or any of its Subsidiaries, their management, stockholders, creditors or any other Person. The Borrower and each of its Subsidiaries each acknowledges and agrees that it has consulted its own legal and financial advisors to the extent it deemed appropriate and that it is responsible for making its own independent judgment with respect to such transactions and the process leading thereto. The Borrower and each of its Subsidiaries each agrees that it will not claim that any Lender has rendered advisory services of any nature or respect, or owes a fiduciary or similar duty to the Borrower or any of its Subsidiaries, in connection with such transaction or the process leading thereto. (b) Confidentiality. Each of the Administrative Agent, the Lenders, the Swingline Lenders and the Issuing Banks agrees to maintain the confidentiality of the Information (as defined below), except that Information may be disclosed (i) to its Affiliates and to its and its Affiliates’ respective partners, directors, officers, employees, agents, advisors and other representatives (it being understood that the Persons to whom such disclosure is made will be informed of the confidential nature of such Information and instructed to keep such Information confidential on terms consistent with this clause (b) and on a reasonable need to know basis), (ii) to the extent requested by any regulatory authority purporting to have jurisdiction over it (including any self-regulatory authority), (iii) to the extent required by applicable laws or regulations or by any subpoena or similar legal process (provided that, except in the case of any ordinary course examination by a regulatory, self-regulatory or governmental agency, it will use commercially reasonable efforts to notify the Borrower of any such disclosure prior to making such disclosure to the extent legally permitted and timely practicable), (iv) to any other party hereto, (v) in connection with the exercise of any remedies hereunder or under any other Loan Document or any action or proceeding relating to this Agreement or any other Loan Document or the enforcement of rights hereunder or thereunder, (vi) other than to any Competitor, subject to an agreement containing provisions substantially the same as those of this Section 9.13(b), to (x) any assignee of or Participant in, or any prospective assignee of or Participant in, any of its rights or obligations under this Agreement; provided that, (a) such Person would be permitted to be an assignee or participant pursuant to the terms hereof and such Person is not a Competitor or (y) any actual or prospective counterparty (or its advisors) to any swap or derivative transaction relating to the Borrower and its obligations, (vii) with the written consent of the Borrower, (viii) to the extent such Information (x) becomes publicly available other than as a result of a breach of this Section 9.13(b) or (y) becomes available to the Administrative Agent, any Lender, any Issuing Bank or any of their respective Affiliates on a nonconfidential basis from a source other than the Borrower and is not actually known by it to be 197 Revolving Credit and Term Loan Agreement


 
in breach of any other Person’s confidentiality obligations to the Borrower or (ix) on a confidential basis to (x) any rating agency in connection with rating the Borrower or its Subsidiaries or the credit facility provided hereunder, (y) the CUSIP Service Bureau or any similar agency in connection with the issuance and monitoring of CUSIP numbers with respect to the credit facility provided hereunder or (z) market data collectors. For purposes of this Section 9.13(b), “Information” means all information received from or on behalf of the Borrower or any of its Subsidiaries relating to the Borrower or any of its Subsidiaries or any of their respective businesses or any Portfolio Investment, other than any such information that is available to the Administrative Agent, any Lender, any Swingline Lender or any Issuing Bank on a nonconfidential basis prior to disclosure by the Borrower or any of its Subsidiaries; provided that, in the case of Information received from the Borrower or any of its Subsidiaries after the Effective Date, such Information shall be deemed confidential at the time unless clearly identified as nonconfidential. Any Person required to maintain the confidentiality of Information as provided in this Section 9.13(b) shall be considered to have complied with its obligation to do so if such Person has exercised the same degree of care to maintain the confidentiality of such Information as such Person would accord to its own confidential information. SECTION 9.14. PATRIOT Act. Each Lender hereby notifies the Borrower that pursuant to the requirements of the PATRIOT Act, it is required to obtain, verify and record information that identifies the Borrower, each other Obligor and each beneficiary of a Letter of Credit, which information includes the name and address of the Borrower, each other Obligor and other information that will allow such Lender to identify the Borrower, each other Obligor and each beneficiary of a Letter of Credit in accordance with the PATRIOT Act. Interest Rate Limitation. Notwithstanding anything to the contrary contained in any Loan Document, the interest paid or agreed to be paid under the Loan Documents shall not exceed the maximum rate of non-usurious interest permitted by applicable law (the “Maximum Rate”). If Administrative Agent or any Lender shall receive interest in an amount that exceeds the Maximum Rate, the excess interest shall be applied to the principal of the Loans or, if it exceeds such unpaid principal, refunded to the Borrower. In determining whether the interest contracted for, charged, or received by the Administrative Agent or a Lender exceeds the Maximum Rate, such Person may, to the extent permitted by applicable law, (a) characterize any payment that is not principal as an expense, fee, or premium rather than interest, (b) exclude voluntary prepayments and the effects thereof, and (c) amortize, prorate, allocate, and spread in equal or unequal parts the total amount of interest throughout the contemplated term of the obligations hereunder. SECTION 9.16. Acknowledgement and Consent to Bail-In of EEA Financial Institutions. Solely to the extent any Lender that is an Affected Financial Institution is a party to this Agreement and notwithstanding anything to the contrary in any Loan Document or in any other agreement, arrangement or understanding among any such parties, each party hereto acknowledges that any liability of any Affected Financial Institution arising under any Loan Document, to the extent such liability is unsecured, may be subject to the Write-Down and Conversion Powers of the applicable Resolution Authority and agrees and consents to, and acknowledges and agrees to be bound by:the application of any Write-Down and Conversion 198 Revolving Credit and Term Loan Agreement


 
Powers by the applicable Resolution Authority to any such liabilities arising hereunder which may be payable to it by any Lender that is an Affected Financial Institution; and (b) the effects of any Bail-In Action on any such liability, including, if applicable: (i) a reduction in full or in part or cancellation of any such liability; (ii) a conversion of all, or a portion of, such liability into shares or other instruments of ownership in such Affected Financial Institution, its parent undertaking, or a bridge institution that may be issued to it or otherwise conferred on it, and that such shares or other instruments of ownership will be accepted by it in lieu of any rights with respect to any such liability under this Agreement or any other Loan Document; or (iii) the variation of the terms of such liability in connection with the exercise of the Write-Down and Conversion Powers of the applicable Resolution Authority. SECTION 9.17. Certain ERISA Matters. (a) Each Lender (x) represents and warrants, as of the later of the date such Person became a Lender party hereto and the Effective Date, to, and (y) covenants, from such date to the date such Person ceases being a Lender party hereto, for the benefit of, the Administrative Agent, the Lead Arranger, and their respective Affiliates, and not, for the avoidance of doubt, to or for the benefit of the Borrower or any other Obligor, that at least one of the following is and will be true: (i) such Lender is not using “plan assets” (within the meaning of 29 CFR § 2510.3-101, as modified by Section 3(42) of ERISA) of one or more Benefit Plans in connection with the Loans, the Letters of Credit or the Commitments, (ii) the transaction exemption set forth in one or more PTEs, such as PTE 84-14 (a class exemption for certain transactions determined by independent qualified professional asset managers), PTE 95-60 (a class exemption for certain transactions involving insurance company general accounts), PTE 90-1 (a class exemption for certain transactions involving insurance company pooled separate accounts), PTE 91-38 (a class exemption for certain transactions involving bank collective investment funds) or PTE 96-23 (a class exemption for certain transactions determined by in-house asset managers), is applicable with respect to such Lender’s entrance into, participation in, administration of and performance of the Loans, the Letters of Credit, the Commitments and this Agreement, (iii) (A) such Lender is an investment fund managed by a “Qualified Professional Asset Manager” (within the meaning of Part VI of PTE 84-14), (B) such Qualified Professional Asset Manager made the investment decision on behalf of such Lender to enter into, participate in, administer and perform the 199 Revolving Credit and Term Loan Agreement


 
Loans, the Letters of Credit, the Commitments and this Agreement, (C) the entrance into, participation in, administration of and performance of the Loans, the Letters of Credit, the Commitments and this Agreement satisfies the requirements of sub-sections (b) through (g) of Part I of PTE 84-14 and (D) to the best knowledge of such Lender, the requirements of subsection (a) of Part I of PTE 84-14 are satisfied with respect to such Lender’s entrance into, participation in, administration of and performance of the Loans, the Letters of Credit, the Commitments and this Agreement, or (iv) such other representation, warranty and covenant as may be agreed in writing between the Administrative Agent, in its sole discretion, and such Lender with respect to the Loan Documents. (b) In addition, unless subclause (i) in the immediately preceding clause (a) is true with respect to a Lender or such Lender has not provided another representation, warranty and covenant as provided in subclause (iv) in the immediately preceding clause (a), such Lender further (x) represents and warrants, as of the later of the date such Person became a Lender party hereto and the Effective Date, to, and (y) covenants, from such date to the date such Person ceases being a Lender party hereto, for the benefit of, the Administrative Agent, the Lead Arranger, and their respective Affiliates, and not, for the avoidance of doubt, to or for the benefit of the Borrower or any other Obligor, that: (i) none of the Administrative Agent, the Lead Arranger, or any of their respective Affiliates is a fiduciary with respect to the assets of such Lender involved in such Lender’s entrance into, participation in, administration of and performance of the Loans, the Commitments and this Agreement (including in connection with the reservation or exercise of any rights by the Administrative Agent under this Agreement, any other Loan Document or any documents related to hereto or thereto); (ii) the Person making the investment decision on behalf of such Lender with respect to the entrance into, participation in, administration of and performance of the Loans, the Letters of Credit, the Commitments and this Agreement is independent (within the meaning of 29 CFR § 2510.3-21); (iii) the Person making the investment decision on behalf of such Lender with respect to the entrance into, participation in, administration of and performance of the Loans, the Letters of Credit, the Commitments and this Agreement is capable of evaluating investment risks independently, both in general and with regard to particular transactions and investment strategies (including in respect of the Secured Obligations (as defined in the Guarantee and Security Agreement)); (iv) the Person making the investment decision on behalf of such Lender with respect to the entrance into, participation in, administration of and performance of the Loans, the Letters of Credit, the Commitments and this Agreement is a fiduciary under ERISA or the Code, or both, with respect to the 200 Revolving Credit and Term Loan Agreement


 
Loans, the Letters of Credit, the Commitments and this Agreement and is responsible for exercising independent judgment in evaluating the transactions hereunder, and (v) no fee or other compensation is being paid directly to the Administrative Agent, the Lead Arranger or any their respective Affiliates for investment advice (as opposed to other services) in connection with the Loans, the Letters of Credit, the Commitments or this Agreement. (c) The Administrative Agent and the Lead Arranger hereby inform the Lenders that each such Person is not undertaking to provide impartial investment advice, or to give advice in a fiduciary capacity, in connection with the transactions contemplated hereby, and that such Person has a financial interest in the transactions contemplated hereby in that such Person or an Affiliate thereof (i) may receive interest or other payments with respect to the Loans, the Letters of Credit, the Commitments and this Agreement, (ii) may recognize a gain if it extended the Loans, the Letters of Credit or the Commitments for an amount less than the amount being paid for an interest in the Loans, the Letters of Credit or the Commitments by such Lender or (iii) may receive fees or other payments in connection with the transactions contemplated hereby, the other Loan Documents or otherwise, including structuring fees, commitment fees, arrangement fees, facility fees, upfront fees, underwriting fees, ticking fees, agency fees, administrative agent or collateral agent fees, utilization fees, minimum usage fees, letter of credit fees, fronting fees, deal-away or alternate transaction fees, amendment fees, processing fees, term out premiums, banker’s acceptance fees, breakage or other early termination fees or fees similar to the foregoing. SECTION 9.18. Acknowledgement Regarding Any Supported QFCs. To the extent that the Loan Documents provide support, through a guarantee or otherwise, for Hedging Agreements or any other agreement or instrument that is a QFC (such support, “QFC Credit Support”, and each such QFC, a “Supported QFC”), the parties hereto acknowledge and agree as follows with respect to the resolution power of the Federal Deposit Insurance Corporation under the Federal Deposit Insurance Act and Title II of the Dodd-Frank Wall Street Reform and Consumer Protection Act (together with the regulations promulgated thereunder, the “U.S. Special Resolution Regimes”) in respect of such Supported QFC and QFC Credit Support (with the provisions below applicable notwithstanding that the Loan Documents and any Supported QFC may in fact be stated to be governed by the laws of the State of New York and/or of the United States or any other state of the United States):In the event a Covered Entity that is party to a Supported QFC (each, a “Covered Party”) becomes subject to a proceeding under a U.S. Special Resolution Regime, the transfer of such Supported QFC and the benefit of such QFC Credit Support (and any interest and obligation in or under such Supported QFC and such QFC Credit Support, and any rights in property securing such Supported QFC or such QFC Credit Support) from such Covered Party will be effective to the same extent as the transfer would be effective under the U.S. Special Resolution Regime if the Supported QFC and such QFC Credit Support (and any such interest, obligation and rights in property) were governed by the laws of the United States or a state of the United States. In the event a Covered Party or a BHC Act Affiliate of a Covered Party becomes subject to a proceeding under a U.S. Special Resolution Regime, Default Rights under the Loan Documents that might otherwise apply to such Supported QFC or any QFC Credit Support that may be exercised against such Covered Party are permitted 201 Revolving Credit and Term Loan Agreement


 
to be exercised to no greater extent than such Default Rights could be exercised under the U.S. Special Resolution Regime if the Supported QFC and the Loan Documents were governed by the laws of the United States or a state of the United States. Without limitation of the foregoing, it is understood and agreed that rights and remedies of the parties hereto with respect to a Defaulting Lender shall in no event affect the rights of any Covered Party with respect to a Supported QFC or any QFC Credit Support. (b) As used in this Section 9.18, the following terms have the following meanings: (i) “BHC Act Affiliate” of a party means an “affiliate” (as such term is defined under, and interpreted in accordance with, 12 U.S.C. 1841(k)) of such party. (ii) “Covered Entity” means any of the following: (A) a “covered entity” as that term is defined in, and interpreted in accordance with, 12 C.F.R. § 252.82(b); (B) a “covered bank” as that term is defined in, and interpreted in accordance with, 12 C.F.R. § 47.3(b); or (C) a “covered FSI” as that term is defined in, and interpreted in accordance with, 12 C.F.R. § 382.2(b). (iii) “Default Right” has the meaning assigned to that term in, and shall be interpreted in accordance with, 12 C.F.R. §§ 252.81, 47.2 or 382.1, as applicable. (iv) “QFC” has the meaning assigned to the term “qualified financial contract” in, and shall be interpreted in accordance with, 12 U.S.C. 5390(c)(8)(D). SECTION 9.19. Termination. Promptly following the later of the termination of the Commitments and the date on which all Secured Obligations (other than unasserted contingent indemnities and similar obligations that survive the termination thereof) have been paid in full in cash and the Termination Date, the Administrative Agent shall direct the Collateral Agent to, on behalf of the Administrative Agent, the Collateral Agent and the Lenders, deliver to the Borrower such termination statements and releases and other documents necessary or appropriate to evidence the release of each Obligor from this Agreement, the other Loan Documents to which such Obligor is a party and each of the documents securing the Secured Obligations as the Borrower may reasonably request, all at the sole cost and expense of the Borrower. 202 Revolving Credit and Term Loan Agreement


 
[Signature Pages Intentionally Omittedsignature pages intentionally omitted] 203 Revolving Credit and Term Loan Agreement


 
DB1/ 150016066.9 Annex B Schedule 1.01(a) Revolving Credit Commitments REVOLVING CREDIT COMMITMENTS (as of the Effective Date) Lender Multicurrency Revolving Credit Commitment Dollar Revolving Credit Commitment Total Revolving Credit Commitment Sumitomo Mitsui Banking Corporation $50,000,000.00 - $50,000,000.00 Wells Fargo Bank, N.A. $50,000,000.00 - $50,000,000.00 Bank of America, N.A. $35,000,000.00 - $35,000,000.00 Apple Bank for Savings - $25,000,000.00 $25,000,000.00 Morgan Stanley Bank, N.A. $25,000,000.00 - $25,000,000.00 Total Revolving Credit Commitments: $160,000,000.00 $25,000,000.00 $185,000,000.00 REVOLVING CREDIT COMMITMENTS (as of the Amendment No. 1 Effective Date) Lender Multicurrency Revolving Credit Commitment Dollar Revolving Credit Commitment Total Revolving Credit Commitment Sumitomo Mitsui Banking Corporation $50,000,000.00 - $50,000,000.00 Wells Fargo Bank, N.A. $75,000,000.00 - $75,000,000.00 Bank of America, N.A. $35,000,000.00 - $35,000,000.00 Apple Bank (f/k/a Apple Bank for Savings) - $40,000,000.00 $40,000,000.00 Morgan Stanley Bank, N.A. $25,000,000.00 - $25,000,000.00 Natixis, New York Branch $25,000,000.00 - $25,000,000.00 Total Revolving Credit Commitments: $210,000,000.00 $40,000,000.00 $250,000,000.00


 
DB1/ 150016066.9 REVOLVING CREDIT COMMITMENTS (as of the Amendment No. 2 Effective Date) Lender Multicurrency Revolving Credit Commitment Dollar Revolving Credit Commitment Total Revolving Credit Commitment Sumitomo Mitsui Banking Corporation $50,000,000.00 - $50,000,000.00 Wells Fargo Bank, N.A. $75,000,000.00 - $75,000,000.00 Bank of America, N.A. $35,000,000.00 - $35,000,000.00 Apple Bank (f/k/a Apple Bank for Savings) - $40,000,000.00 $40,000,000.00 Morgan Stanley Bank, N.A. $25,000,000.00 - $25,000,000.00 Natixis, New York Branch $25,000,000.00 - $25,000,000.00 The Bank of New York Mellon $25,000,000.00 - $25,000,000.00 U.S. Bank National Association $25,000,000.00 - $25,000,000.00 Total Revolving Credit Commitments: $260,000,000.00 $40,000,000.00 $300,000,000.00


 
DB1/ 150016066.9 Initial Term Loan Commitments INITIAL TERM LOAN COMMITMENTS (as of the Amendment No. 2 Effective Date) Lender Initial Term Loan Commitment Sumitomo Mitsui Banking Corporation $25,000,000.00 Wells Fargo Bank, N.A. - Bank of America, N.A. - Apple Bank (f/k/a Apple Bank for Savings) - Morgan Stanley Bank, N.A. - Natixis, New York Branch - The Bank of New York Mellon - Total Term Loan Commitments: $25,000,000.00


 
DB1/ 151419587.1 SCHEDULE 3.11 Material Agreements and Liens Part A – Material Agreements None. Part B – Liens 1. MD Lien granted in favor of SUMITOMO MITSUI BANKING CORPORATION against NUVEEN CHURCHILL DIRECT LENDING CORP. (UCC-1 #231019- 1547000). 2. MD Lien granted in favor of U.S. BANK TRUST COMPANY, NATIONAL ASSOCIATION, AS TRUSTEE FOR THE BENEFIT OF THE SECURED PARTIES against NUVEEN CHURCHILL DIRECT LENDING CORP. (UCC-1 #231207- 0928001). 3. MD Lien granted in favor of U.S. BANK TRUST COMPANY, NATIONAL ASSOCIATION, AS TRUSTEE FOR THE BENEFIT OF THE SECURED PARTIES against NUVEEN CHURCHILL DIRECT LENDING CORP. (UCC-1 #240315- 1447002). 4. MD Lien granted in favor of CHURCHILL NCDLC CLO-I, LLC against NUVEEN CHURCHILL DIRECT LENDING CORP. (UCC-1 #220524-1325000).


 
DB1/ 151419587.1 SCHEDULE 3.12(a) Subsidiaries Name of Subsidiary Jurisdiction of Organization Record Owner % Owned of Total Outstanding Churchill NCDLC CLO-I, LLC Delaware Nuveen Churchill Direct Lending Corp. 100% Churchill NCDLC CLO- II, LLC Delaware Nuveen Churchill Direct Lending Corp. 100% Churchill NCDLC CLO- III, LLC Delaware Nuveen Churchill Direct Lending Corp. 100% Nuveen Churchill BDC SPV IV, LLC Delaware Nuveen Churchill Direct Lending Corp. 100% Nuveen Churchill BDC SPV V, LLC Delaware Nuveen Churchill Direct Lending Corp. 100% NCDL Equity Holdings LLC Delaware Nuveen Churchill Direct Lending Corp. 100%


 
DB1/ 151419587.1 SCHEDULE 3.12(b) Investments 1. Schedule 3.12(a) is incorporated herein by reference. 2. Schedule 2.08 of the Guarantee and Security Agreement is incorporated herein by reference.


 
DB1/ 150016066.9 Annex C Exhibits (see attached)


 
DB1/ 150937787.6 EXHIBIT A FORM OF ASSIGNMENT AND ASSUMPTION This Assignment and Assumption (the “Assignment and Assumption”) is dated as of the effective date set forth below (the “Effective Date”) and is entered into by and between [Insert name of Assignor] (the “Assignor”) and [Insert name of Assignee] (the “Assignee”). Capitalized terms used but not defined herein shall have the meanings given to them in the Credit Agreement identified below (as amended, restated, amended and restated, supplemented or otherwise modified from time to time, the “Credit Agreement”), receipt of a copy of which is hereby acknowledged by the Assignee. The Standard Terms and Conditions for Assignment and Assumption set forth in Annex I attached hereto are hereby agreed to and incorporated herein by reference and made a part of this Assignment and Assumption as if set forth herein in full. For an agreed consideration, the Assignor hereby irrevocably sells and assigns to the Assignee, and the Assignee hereby irrevocably purchases and assumes from the Assignor, subject to and in accordance with the Standard Terms and Conditions for Assignment and Assumption and the Credit Agreement, as of the Effective Date inserted by the Administrative Agent as contemplated below: (i) all of the Assignor’s rights and obligations in its capacity as a Lender under the Credit Agreement and any other documents or instruments delivered pursuant thereto to the extent related to the amount and percentage interest identified below of all of such outstanding rights and obligations of the Assignor under the respective facilities identified below (including any letters of credit and guarantees included in such facilities) and (ii) to the extent permitted to be assigned under applicable law, all claims, suits, causes of action and any other right of the Assignor (in its capacity as a Lender) against any Person, whether known or unknown, arising under or in connection with the Credit Agreement, any other documents or instruments delivered pursuant thereto or the loan transactions governed thereby or in any way based on or related to any of the foregoing, including contract claims, tort claims, malpractice claims, statutory claims and all other claims at law or in equity related to the rights and obligations sold and assigned pursuant to clause (i) above (the rights and obligations sold and assigned pursuant to clauses (i) and (ii) above being referred to herein collectively as the “Assigned Interest”). Such sale and assignment is without recourse to the Assignor and, except as expressly provided in this Assignment and Assumption, without representation or warranty by the Assignor. 1. Assignor: 2. Assignee: [and is an Affiliate of [identify Lender]1] 3. Borrower: NUVEEN CHURCHILL DIRECT LENDING CORP., a Maryland corporation 4. Administrative Agent: SUMITOMO MITSUI BANKING CORPORATION, as the administrative agent under the Credit Agreement. 5. Credit Agreement: The Senior Secured Revolving Credit and Term Loan Agreement, dated as of June 23, 2023 (as amended, restated, supplemented or otherwise modified from time to time), among the Borrower, the Lenders and Issuing Banks from time to 1 Select as applicable.


 
DB1/ 150937787.6 2 time party thereto and Sumitomo Mitsui Banking Corporation, as the Administrative Agent. 6. Assigned Interest: Class of Commitments/Loans Assigned2 Aggregate Amount of Commitments/Loans for all Lenders Amount of Commitments/ Loans Assigned Percentage Assigned of Commitments/Loans3 $ $ % $ $ % $ $ % Effective Date: , 20__ [TO BE INSERTED BY THE ADMINISTRATIVE AGENT AND WHICH SHALL BE THE EFFECTIVE DATE OF RECORDATION OF TRANSFER IN THE REGISTER THEREFOR.] The terms set forth in this Assignment and Assumption are hereby agreed to: ASSIGNOR [NAME OF ASSIGNOR] By: Title: ASSIGNEE [NAME OF ASSIGNEE] By: Title: 2 Fill in the appropriate terminology for the types of facilities under the Credit Agreement that are being assigned under this Assignment (e.g. “Revolving Credit Commitment” “Dollar Commitment”, “Multicurrency Commitment”, “Revolving Credit Commitment” “Initial Term Loan Commitment”, “Incremental Term Loan Commitment”, etc.). 3 Set forth, to at least 9 decimals, as a percentage of the Commitments/Loans of all Lenders thereunder.


 
DB1/ 150937787.6 3 [Consented to and]4 Accepted: SUMITOMO MITSUI BANKING CORPORATION, as Administrative Agent By: Name: Title: [SUMITOMO MITSUI BANKING CORPORATION, as Issuing Bank By: Name: Title:]5 [Consented to: NUVEEN CHURCHILL DIRECT LENDING CORP. By: Name: Title:]6 4 To be added only if the consent of the Administrative Agent is required by the terms of the Credit Agreement. 5 To be added only if the consent of the Issuing Banks is required by the terms of the Credit Agreement. 6 To be added only if the consent of the Borrower is required by the terms of the Credit Agreement.


 
DB1/ 150937787.6 4 ANNEX I STANDARD TERMS AND CONDITIONS FOR ASSIGNMENT AND ASSUMPTION Representations and Warranties.  Assignor. The Assignor (a) represents and warrants that (i) it is the legal and beneficial owner of the Assigned Interest, (ii) the Assigned Interest is free and clear of any lien, encumbrance or other adverse claim and (iii) it has full power and authority, and has taken all action necessary, to execute and deliver this Assignment and Assumption and to consummate the transactions contemplated hereby; and (b) assumes no responsibility with respect to (i) any statements, warranties or representations made by any Person other than the Assignor in or in connection with the Credit Agreement or any other Loan Document, (ii) the execution, legality, validity, enforceability, genuineness, sufficiency or value of the Loan Documents or any collateral thereunder, (iii) the financial condition of the Borrower, any of its Subsidiaries or Affiliates or any other Person obligated in respect of any Loan Document or (iv) the performance or observance by the Borrower, any of its Subsidiaries or Affiliates or any other Person of any of their respective obligations under any Loan Document.  Assignee. The Assignee (a) represents and warrants that (i) it has full power and authority, and has taken all action necessary, to execute and deliver this Assignment and Assumption and to consummate the transactions contemplated hereby and to become a Lender under the Credit Agreement, (ii) it satisfies the requirements, if any, specified in the Credit Agreement that are required to be satisfied by it in order to acquire the Assigned Interest and become a Lender, (iii) from and after the Effective Date, it shall be bound by the provisions of the Credit Agreement as a Lender thereunder as if originally named as a Lender therein and, to the extent of the Assigned Interest, shall have the obligations of a Lender thereunder, (iv) it has received a copy of the Credit Agreement, together with copies of the most recent financial statements delivered pursuant to Section 5.01 thereof, as applicable, and such other documents and information as it has deemed appropriate to make its own credit analysis and decision to enter into this Assignment and Assumption and to purchase the Assigned Interest on the basis of which it has made such analysis and decision independently and without reliance on the Administrative Agent or any other Lender, (v) if it is a Foreign Lender, attached to the Assignment and Assumption is any documentation required to be delivered by it pursuant to the terms of the Credit Agreement, duly completed and executed by the Assignee, and (vi) if this Assignment and Assumption is with respect to Multicurrency Commitments and/or Multicurrency Loans, it is able to fund and receive payments in the Agreed Foreign Currencies for which Loans may be made as of the Effective Date without the need to obtain any authorization referred to in clause (b) of the definition of “Agreed Foreign Currency” in the Credit Agreement and (vii) it is not a Defaulting Lender or a Competitor; and (b) agrees that (i) it will, independently and without reliance on the Administrative Agent, the Assignor or any other Lender, and based on such documents and information as it shall deem appropriate at the time, continue to make its own credit decisions in taking or not taking action under the Loan Documents, and (ii) it


 
DB1/ 150937787.6 5 will perform in accordance with their terms all of the obligations which by the terms of the Loan Documents are required to be performed by it as a Lender. Payments. From and after the Effective Date, the Administrative Agent shall make all payments in respect of the Assigned Interest (including payments of principal, interest, fees and other amounts) to the Assignor for amounts which have accrued up to but excluding the Effective Date and to the Assignee for amounts which have accrued from and after the Effective Date. General Provisions. This Assignment and Assumption shall be binding upon, and inure to the benefit of, the parties hereto and their respective successors and assigns permitted under the Credit Agreement. This Assignment and Assumption may be executed in any number of counterparts, which together shall constitute one instrument. Delivery of an executed counterpart of a signature page of this Assignment and Assumption by telecopy, email or other electronic method of transmission shall be effective as delivery of a manually executed counterpart of this Assignment and Assumption. This Assignment and Assumption shall be governed by, and construed in accordance with, the law of the State of New York.


 
DB1/ 150937787.6 6 EXHIBIT B FORM OF BORROWING BASE CERTIFICATE Monthly accounting period ended ______________, 20__ Reference is made to that certain Senior Secured Revolving Credit and Term Loan Agreement, dated as of June 23, 2023 (as amended, restated, amended and restated, supplemented or otherwise modified from time to time, the “Credit Agreement”), by and among NUVEEN CHURCHILL DIRECT LENDING CORP., a Maryland corporation (the “Borrower”), the Subsidiary Guarantors party thereto, the financial institutions from time to time party thereto as Lenders and Issuing Banks, and SUMITOMO MITSUI BANKING CORPORATION, as the Administrative Agent. Capitalized terms used herein without definition are so used as defined in the Credit Agreement. The contents of this certificate are confidential and subject to Section 9.13 of the Credit Agreement. Pursuant to Section of the Credit Agreement, the undersigned, the [___________] of the Borrower, and as such a Financial Officer of the Borrower, hereby certifies, represents and warrants on behalf of the Borrower, in the undersigned’s capacity as a Financial Officer of the Borrower and not in the undersigned’s individual capacity, that (a) (i) attached hereto as Annex 1A is a complete and correct list as of the end of the monthly accounting period referenced above of all Portfolio Investments included in the Collateral and (ii) attached hereto as Annex 1B is a true and correct calculation of the Borrowing Base as of the end of such monthly accounting period determined in accordance with the requirements of the Credit Agreement, and (b) without limiting the generality of the foregoing, all Portfolio Investments included in the calculation of the Borrowing Base herein have been Delivered (as defined in the Guarantee and Security Agreement) to the Collateral Agent. [Remainder of page intentionally left blank]


 
[Signature Page to Borrowing Base Certificate] DB1/ 150937787.6 IN WITNESS WHEREOF, the undersigned has caused this certificate to be duly executed as of the _________ day of ______________, 20__ NUVEEN CHURCHILL DIRECT LENDING CORP. By: Name: Title:


 
DB1/ 150937787.6 Annex 1 A. List of Portfolio Investments included in the Collateral (see attached) B. Calculation of Borrowing Base (see attached)


 
DB1/ 150937787.6 EXHIBIT C FORM OF BORROWING REQUEST Date:___________, _____ To: Sumitomo Mitsui Banking Corporation, as Administrative Agent Ladies and Gentlemen: Reference is made to that certain Senior Secured Revolving Credit and Term Loan Agreement, dated as of June 23, 2023 (as amended, restated, amended and restated, extended, supplemented or otherwise modified in writing from time to time, the “Credit Agreement”), among NUVEEN CHURCHILL DIRECT LENDING CORP., a Maryland corporation (the “Borrower”), the financial institutions from time to time party thereto as Lenders and Issuing Banks, and SUMITOMO MITSUI BANKING CORPORATION, as the Administrative Agent. Capitalized terms used herein without definition are so used as defined in the Credit Agreement. The Borrower hereby requests a Borrowing of Loans: 1. On ____ (a Business Day). 2. In the amount of _______. 3. Comprised of . [Class and Type of Borrowing requested] 4. In the following Currency: . 5. For Term Benchmark Borrowings: with an Interest Period of [one][three][six] month[s]. 6. [To the following account: ][As set forth on Exhibit A hereto.]7 [Remainder of Page Intentionally Left Blank] 7 NTD: Select as appropriate.


 
DB1/ 150937787.6 NUVEEN CHURCHILL DIRECT LENDING CORP. By: Name: Title:


 
DB1/ 150937787.6 EXHIBIT D FORM OF COMMITMENT INCREASE SUPPLEMENT _________, 20__ Sumitomo Mitsui Banking Corporation, as Administrative Agent 1 North Lexington Avenue White Plains, NY 10601 Attention: Melvin Laxton II Phone: 914-872-5881 Email: Melvin_Laxton@smbcgroup.com Re: NUVEEN CHURCHILL DIRECT LENDING CORP., a Maryland corporation (the “Company”) Ladies and Gentlemen: We refer to (a) that certain Senior Secured Revolving Credit and Term Loan Agreement, dated as of June 23, 2023 (as amended, restated, supplemented, amended and restated, or otherwise modified from time to time, the “Credit Agreement”; capitalized terms used in this Response Letter (as defined below) and not otherwise defined have the meanings for such terms set forth in the Credit Agreement), by and among the Company, the Lenders and Issuing Banks from time to time party thereto and Sumitomo Mitsui Banking Corporation, as Administrative Agent (in such capacity, the “Administrative Agent”); and (b) the Notice of Commitment Increase Request, dated as of _______, 20__, provided by the Company to the Administrative Agent (the “Notice”). [Pursuant to the Notice and Section 2.08(e) of the Credit Agreement, we deliver this response (this “Response Letter”) to confirm that each of the Company and [Assuming Revolving Lender] (the “Assuming Revolving Lender”) agrees that, effective upon the satisfaction of the conditions set forth in Sections 2.08(e)(i) and (ii) of the Credit Agreement (the “Revolving Credit Commitment Increase Date”), the Assuming Revolving Lender will (and does hereby) become a “Revolving Lender” under and for all purposes of the Credit Agreement with a [Dollar/Multicurrency] Commitment equal to $[______]. Without limiting the foregoing, the Assuming Revolving Lender hereby agrees to be bound by and comply with all of the terms and provisions of the Credit Agreement applicable to it as a “Revolving Lender” thereunder and that it will perform in accordance with its terms all of the obligations which by the terms of the Credit Agreement are required to be performed by it as a Revolving Lender. The Assuming Revolving Lender represents and warrants that it has full power and authority, and has taken all action necessary, to execute and deliver this Response Letter and to consummate the transactions contemplated hereby and to become a Lender under the Credit Agreement.]1 [Pursuant to the Notice and Section 2.08(e) of the Credit Agreement, we deliver this response (this “Response Letter”) to confirm that each of the Company and [Increasing Revolving Lender] (the “Increasing Revolving Lender”) agrees that, effective upon the satisfaction of the conditions set forth in Sections 2.08(e)(i) and (ii) of the Credit Agreement, the [Dollar/Multicurrency] Commitment of the Increasing Revolving Lender under the Credit Agreement shall be increased from $[______] 1 To be inserted for Assuming Revolving Lenders


 
to $[_______] as of the date hereof. The Increasing Revolving Lender represents and warrants that it has full power and authority, and has taken all action necessary, to execute and deliver this Response Letter and to consummate the transactions contemplated hereby including, without limitation, the increase of the Increasing Revolving Lender’s [Dollar/Multicurrency] Commitment from $[______] to $[______].]2 [Pursuant to the Notice and Section 2.08(f) of the Credit Agreement, we deliver this response (this “Response Letter”) to confirm that each of the Company and [Assuming Term Loan Lender] (the “Assuming Term Loan Lender”) agrees that, effective upon the satisfaction of the conditions set forth in Sections 2.08(f)(i) and (ii) of the Credit Agreement (the “Incremental Term Loan Commitment Increase Date”), the Assuming Term Loan Lender will (and does hereby) become a “Term Loan Lender” under and for all purposes of the Credit Agreement with an Incremental Term Loan Commitment equal to $[______]. Without limiting the foregoing, the Assuming Term Loan Lender hereby agrees to be bound by and comply with all of the terms and provisions of the Credit Agreement applicable to it as a “Term Loan Lender” thereunder and that it will perform in accordance with its terms all of the obligations which by the terms of the Credit Agreement are required to be performed by it as a Term Loan Lender. The Assuming Term Loan Lender represents and warrants that it has full power and authority, and has taken all action necessary, to execute and deliver this Response Letter and to consummate the transactions contemplated hereby and to become a Lender under the Credit Agreement.]3 [Pursuant to the Notice and Section 2.08(f) of the Credit Agreement, we deliver this response (this “Response Letter”) to confirm that each of the Company and [Increasing Term Loan Lender] (the “Increasing Term Loan Lender”) agrees that, effective upon the satisfaction of the conditions set forth in Sections 2.08(f)(i) and (ii) of the Credit Agreement, the Incremental Term Loan Commitment of the Increasing Term Loan Lender under the Credit Agreement shall be increased from $[______] to $[_______] as of the date hereof. The Increasing Term Loan Lender represents and warrants that it has full power and authority, and has taken all action necessary, to execute and deliver this Response Letter and to consummate the transactions contemplated hereby including, without limitation, the increase of the Increasing Term Loan Lender’s Incremental Term Loan Commitment from $[______] to $[______].]4 This Response Letter shall be binding upon, and inure to the benefit of, the parties hereto and their respective successors and permitted assigns. This Response Letter may be executed in any number of counterparts, which together shall constitute one instrument. Delivery of an executed counterpart of a signature page of this Response Letter by telecopy, email, or other electronic method of transmission (e.g. PDF) shall be effective as delivery of a manually executed counterpart of this Response Letter. This Response Letter shall be governed by, and construed in accordance with, the laws of the State of New York. The parties hereto hereby agree that this Response Letter is a Loan Document. [Remainder of Page Intentionally Left Blank] 2 To be inserted for Increasing Revolving Lenders 3 To be inserted for Assuming Term Loan Lenders 4 To be inserted for Increasing Term Loan Lenders.


 
Very truly yours, [ASSUMING LENDER], as Assuming Lender By: Name: Title: [INCREASING LENDER], as Increasing Lender By: Name: Title: NUVEEN CHURCHILL DIRECT LENDING CORP. By: Name: Title: ACKNOWLEDGED, ACCEPTED CONSENTED AND AGREED: SUMITOMO MITSUI BANKING CORPORATION, as Administrative Agent By: Name: Title:


 
EXHIBIT E-1 FORM OF REVOLVING PROMISSORY NOTE $[ ] New York, New York as of _________, 202__ FOR VALUE RECEIVED, NUVEEN CHURCHILL DIRECT LENDING CORP., a Maryland corporation (the “Obligor”), DOES HEREBY PROMISE TO PAY to [INSERT NAME OF REVOLVING LENDER] (the “Revolving Lender”) in lawful money of the United States of America in immediately available funds, the principal amount of [______] DOLLARS ($[______]), or the aggregate unpaid principal amount of all Revolving Loans (as defined in the Credit Agreement referred to below) made by the Revolving Lender to the Obligor pursuant to the Credit Agreement, whichever is less, on such date or dates as are required by the Credit Agreement, and to pay interest on the unpaid principal amount from time to time outstanding hereunder, in like money, at such office and at such times as are set forth in the Credit Agreement. All payments of principal and interest shall be made to the Administrative Agent for the account of the Revolving Lender in Dollars in immediately available funds at the office of the Administrative Agent In accordance with the terms of the Credit Agreement. The Obligor and any and all sureties and endorsers of this Revolving Promissory Note (this “Note”) and all other parties now or hereafter liable hereon severally waive grace, demand, presentment for payment, protest, notice of any kind (including, but not limited to, notice of dishonor, notice of protest, notice of intention to accelerate or notice of acceleration) and diligence in collecting and bringing suit against any party hereto and agree to the extent permitted by applicable law (i) to all extensions and partial payments, with or without notice, before or after maturity, (ii) to any substitution, exchange or release of any security now or hereafter given for this Note, (iii) to the release of any party primarily or secondarily liable hereon, and (iv) that it will not be necessary for any holder of this Note, in order to enforce payment of this Note, to first institute or exhaust such holder’s remedies against the Obligor or any other party liable hereon or against any security for this Note. The nonexercise by the holder of any of its rights hereunder in any particular instance shall not constitute a waiver thereof in that or any subsequent instance. The Revolving Lender may, but is not obligated to, set forth on the last page hereof such information as is designated on the last page hereof; provided, however, that any error in or omission of such information shall not impair the Lender’s rights hereunder. This Note is one of the promissory notes referred to in that certain Senior Secured Revolving Credit and Term Loan Agreement dated as of June 23, 2023 (as the same may be amended, supplemented or otherwise modified, renewed, restated or replaced from time to time, the “Credit Agreement”; capitalized terms used herein without definition are so used as defined in the Credit Agreement), among the Obligor, as Borrower, the Revolving Lender, and the other lenders from time to time party thereto, the issuing banks from time to time party thereto and Sumitomo Mitsui Banking Corporation, as Administrative Agent, is entitled to the benefits of, and is secured by the security interests granted in, the Credit Agreement and the other security documents referred to and described therein, and may be prepaid in whole or in part subject to the terms and conditions provided therein, which the Credit Agreement, among other things, contains provisions for optional and mandatory prepayment and for acceleration of the maturity hereof upon the occurrence of certain events, all as provided therein.


 
THIS NOTE SHALL BE CONSTRUED IN ACCORDANCE WITH, AND GOVERNED BY, THE LAWS OF THE STATE OF NEW YORK WHICH ARE APPLICABLE TO CONTRACTS MADE AND TO BE PERFORMED WHOLLY WITHIN THE STATE OF NEW YORK. [Signature Page Follows]


 
IN WITNESS WHEREOF, the Obligor has executed this Note as of the date first written above. NUVEEN CHURCHILL DIRECT LENDING CORP. By: Name: Title:


 
[LAST PAGE OF NOTE] Date Amount of Advance Payments Principal Interest Unpaid Principal Balance of Note Name of Person Making Note


 
EXHIBIT E-2 FORM OF TERM LOAN PROMISSORY NOTE $[ ] New York, New York as of _________, 202__ FOR VALUE RECEIVED, NUVEEN CHURCHILL DIRECT LENDING CORP., a Maryland corporation (the “Obligor”), DOES HEREBY PROMISE TO PAY to [INSERT NAME OF TERM LOAN LENDER] (the “Term Loan Lender”) in lawful money of the United States of America in immediately available funds, the principal amount of [______] DOLLARS ($[______]), or the aggregate unpaid principal amount of all Term Loans (as defined in the Credit Agreement referred to below) made by the Term Loan Lender to the Obligor pursuant to the Credit Agreement, whichever is less, on such date or dates as are required by the Credit Agreement, and to pay interest on the unpaid principal amount from time to time outstanding hereunder, in like money, at such office and at such times as are set forth in the Credit Agreement. All payments of principal and interest shall be made to the Administrative Agent for the account of the Term Loan Lender in Dollars in immediately available funds at the office of the Administrative Agent in accordance with the terms of the Credit Agreement. The Obligor and any and all sureties and endorsers of this Term Loan Promissory Note (this “Note”) and all other parties now or hereafter liable hereon severally waive grace, demand, presentment for payment, protest, notice of any kind (including, but not limited to, notice of dishonor, notice of protest, notice of intention to accelerate or notice of acceleration) and diligence in collecting and bringing suit against any party hereto and agree to the extent permitted by applicable law (i) to all extensions and partial payments, with or without notice, before or after maturity, (ii) to any substitution, exchange or release of any security now or hereafter given for this Note, (iii) to the release of any party primarily or secondarily liable hereon, and (iv) that it will not be necessary for any holder of this Note, in order to enforce payment of this Note, to first institute or exhaust such holder’s remedies against the Obligor or any other party liable hereon or against any security for this Note. The nonexercise by the holder of any of its rights hereunder in any particular instance shall not constitute a waiver thereof in that or any subsequent instance. The Term Loan Lender may, but is not obligated to, set forth on the last page hereof such information as is designated on the last page hereof; provided, however, that any error in or omission of such information shall not impair the Lender’s rights hereunder. This Note is one of the promissory notes referred to in that certain Senior Secured Revolving Credit and Term Loan Agreement dated as of June 23, 2023 (as the same may be amended, supplemented or otherwise modified, renewed, restated or replaced from time to time, the “Credit Agreement”; capitalized terms used herein without definition are so used as defined in the Credit Agreement), among the Obligor, as Borrower, the Term Loan Lender, and the other lenders from time to time party thereto, the issuing banks from time to time party thereto and Sumitomo Mitsui Banking Corporation, as Administrative Agent, is entitled to the benefits of, and is secured by the security interests granted in, the Credit Agreement and the other security documents referred to and described therein, and may be prepaid in whole or in part subject to the terms and conditions provided therein, which the Credit Agreement, among other things, contains provisions for optional and mandatory prepayment and for acceleration of the maturity hereof upon the occurrence of certain events, all as provided therein.


 
THIS NOTE SHALL BE CONSTRUED IN ACCORDANCE WITH, AND GOVERNED BY, THE LAWS OF THE STATE OF NEW YORK WHICH ARE APPLICABLE TO CONTRACTS MADE AND TO BE PERFORMED WHOLLY WITHIN THE STATE OF NEW YORK. [Signature Page Follows]


 
IN WITNESS WHEREOF, the Obligor has executed this Note as of the date first written above. NUVEEN CHURCHILL DIRECT LENDING CORP. By: Name: Title:


 
EXHIBIT F FORM OF LENDER NDA (see attached)


 
430 Park Avenue, 14th Floor New York, NY 10022 [ ], 2024 [RECIPIENT ADDRESS INFO] [RECIPIENT] (together with its affiliates, “[NAME]” or “you”) has requested to be provided with information from NUVEEN CHURCHILL DIRECT LENDING CORP., a Maryland corporation (“NCDLC”) and its affiliates (including NCDL Equity Holdings LLC) (collectively, the “Disclosing Party”) from time to time in connection with your consideration and evaluation of one or more proposed transactions involving financial products sponsored or advised by NCDLC (the “Purpose”). As a condition to furnishing such information to you, the Disclosing Party requires that you agree, as set forth below, to treat any information furnished by the Disclosing Party or its agents, advisors or affiliates (such information being collectively referred to herein as the "Evaluation Material") to you or your directors, officers, employees or agents and each of their respective representatives, agents and advisors (collectively, your "Representatives") confidential in accordance with the terms of this agreement (this “Agreement”). The term "Evaluation Material" does not include any information that (i) at the time of disclosure or thereafter is available to the public other than as a result of a breach of this Agreement by you or your Representatives, (ii) is already in the possession of, or becomes available to, you or your Representatives on a non-confidential basis from a source other than Disclosing Party, provided that, to your knowledge such source is not bound by an obligation of confidentiality to Disclosing Party or any person or entity to whom financing has been or will be provided, or (iii) has been independently developed by you or your Representatives without violation of the agreements contained in this letter agreement. You hereby agree that the Evaluation Material will be used by you solely for internal evaluation purposes and will be kept confidential by you in accordance with policies adopted by you in good faith to protect confidential information; provided, however, that any of such information may be disclosed to your Representatives (it being agreed that such Representatives will be made aware of the confidential nature of such information and shall treat such information confidentially, and that you will be responsible for any disclosures made by your Representatives). The parties hereto agree that, unless and until a definitive agreement with respect to the Purpose has been executed, neither party will be under any legal obligation of any kind whatsoever with respect to any actual or proposed commercial transaction, except for the matters specifically agreed to in this Agreement. Delivery of the Evaluation Materials to you is not intended to be a recommendation or investment advice, does not constitute a solicitation to buy or sell securities, and is not provided in a fiduciary capacity. You acknowledge that the information provided does not take into account the specific objectives or circumstances of any particular investor, or suggest


 
any specific course of action, and that you should independently evaluate the risks associated with the related products or services. If you are requested to make a disclosure of any Evaluation Material or the fact that you are having or have had discussions with the Disclosing Party regarding the Purpose or that you have received Evaluation Material (a “Disclosure”) in connection with any legal or administrative proceeding or pursuant to the request of a regulatory body or self-regulatory organization, then you will notify the Disclosing Party promptly (unless such Disclosure relates to routine regulatory filings or unless such notification is prohibited by law) of the request so that, if possible, the Disclosing Party may seek, at its own expense, an appropriate protective order or other remedy or waive your compliance with this Agreement. You will cooperate with the Disclosing Party on a reasonable basis at the Disclosing Party’s expense in its efforts to obtain a protective order or other remedy, but if a protective order or other remedy is not obtained within the required time period, you may make such Disclosure without liability to the Disclosing Party if you are nevertheless required to do so. Additionally, nothing contained herein shall preclude the disclosure of the Evaluation Material, but only to the extent necessary, in connection with any proceedings which may arise between the parties hereto relating to this Agreement. At the written request of the Disclosing Party, you and your Representatives will promptly return to the Disclosing Party all written Evaluation Material and any other written material containing or reflecting any information in the Evaluation Material and will not retain any copies, extracts, or other reproductions, in whole or in part, of the Evaluation Material except as otherwise required by law or as mandated by prudent corporate policies, provided that information in electronic form which is difficult to extract shall not be required to be returned but shall continue to be treated in accordance with the provisions of this Agreement. All documents, memoranda, notes, and other writings whatsoever prepared by you or your Representatives based on the information in the Evaluation Material may be retained by you, provided you preserve the confidentiality of the Evaluation Material in accordance with this Agreement. You hereby acknowledge and agree (on behalf of yourself and your Representatives) that the Evaluation Material may (now or in the future) include material non-public information pertaining to issuers of securities whose assets are managed by Disclosing Party, and that applicable securities laws may prohibit any person who has received from an issuer any such material non-public information from trading in securities of such issuer or from communicating such information to any other person under circumstances in which it is reasonably foreseeable that such person is likely to purchase or sell such securities. You hereby agree that you and your Representatives shall comply with all applicable securities laws while in possession of material non-public information pertaining to any such issuer. The agreements set forth herein may be modified or waived only by a separate writing between the parties hereto and shall terminate on the earlier of (i) the consummation of a transaction in respect of the Purpose, for which the related definitive documentation contains confidentiality provisions substantially similar hereto, and (ii) two (2) years from the date hereof. Because an award of money damages may be inadequate for a breach of this Agreement, you agree that, in the event of any breach this Agreement, the Disclosing Party will be entitled to


 
seek equitable relief, including injunctive relief and specific performance. Such remedies will be deemed to be non-exclusive and in addition to all other remedies available at law or equity. This Agreement shall be governed by, and construed in accordance with, the laws of the State of New York without giving effect to the principles of conflict of law thereof. The parties hereto mutually agree that any proceeding arising out of the matters contemplated by this Agreement may be brought in any State or Federal court located in the Borough of Manhattan. In the event that any provision or portion of this Agreement is determined to be invalid or unenforceable, in whole or in part, the remaining provisions of this letter agreement shall be unaffected thereby and shall remain in full force and effect to the fullest extent permitted by applicable law. This Agreement contains the entire agreement between us with respect to the Evaluation Material and supersedes any and all prior agreements or understandings. This Agreement may be signed in one or more separate counterparts, each of which shall be an original and all of which taken together shall constitute the same instrument. Delivery of any executed counterpart of this Agreement by facsimile or electronically shall constitute effective delivery thereof. If you are in agreement with the foregoing, please so indicate by signing and returning one copy of this Agreement, which will constitute our agreement with respect to the matters set forth herein. [Signatures Appear on Following Page]


 
IN WITNESS WHEREOF, the parties hereto have caused this Agreement to be executed as of the date first set forth above. NUVEEN CHURCHILL DIRECT LENDING CORP. __________________________________________ By: Authorized Signatory Agreed and Accepted: [RECIPIENT] ____________________________________ By: Authorized Signatory